Multimode HMSIW-Based Bandpass Filter with Improved Selectivity for Fifth-Generation (5G) RF Front-Ends †
Abstract
1. Introduction
2. Full-Mode SIW and Half-Mode SIW Cavity Resonator Analysis
3. HMSIW Wideband Bandpass Filter Design
3.1. Step 1: Wideband Filter Design with No Transmission Zero (TZ)
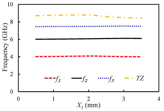
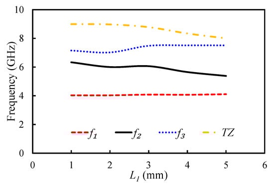
3.2. Step 2: Wideband Filter Design with One TZ
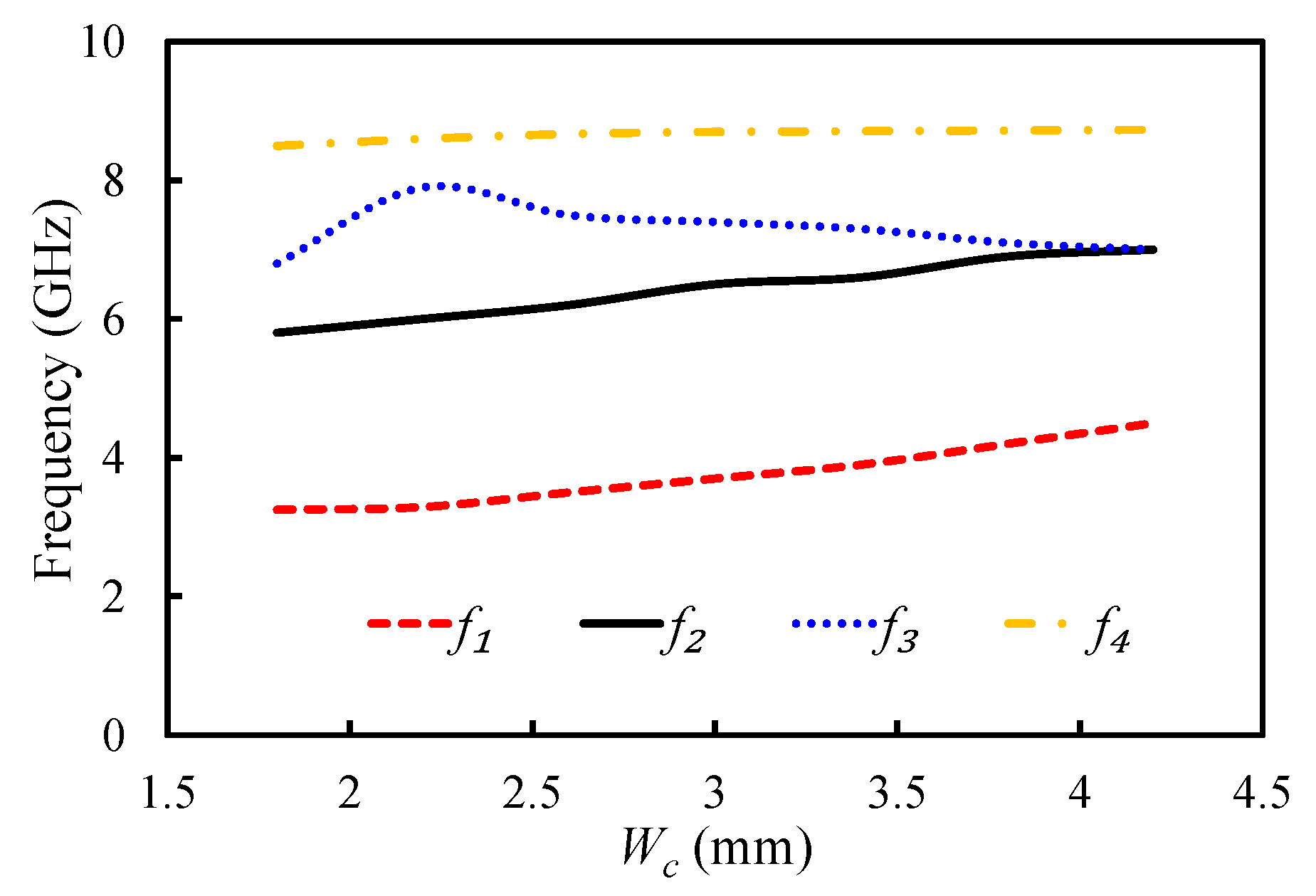
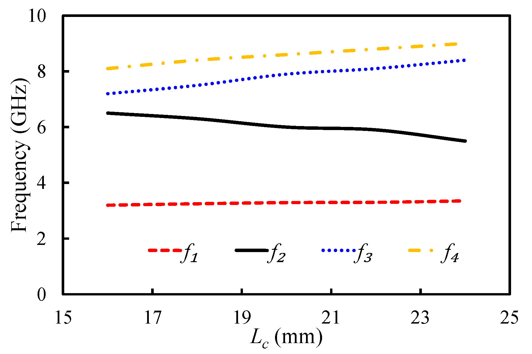
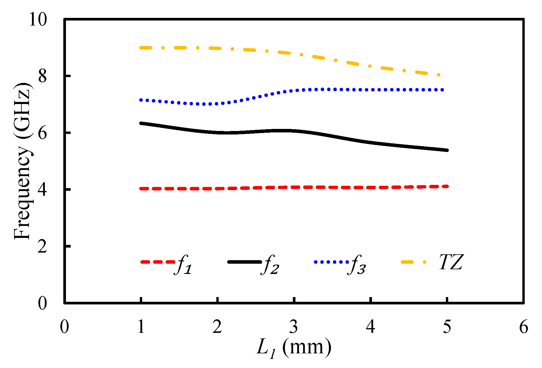
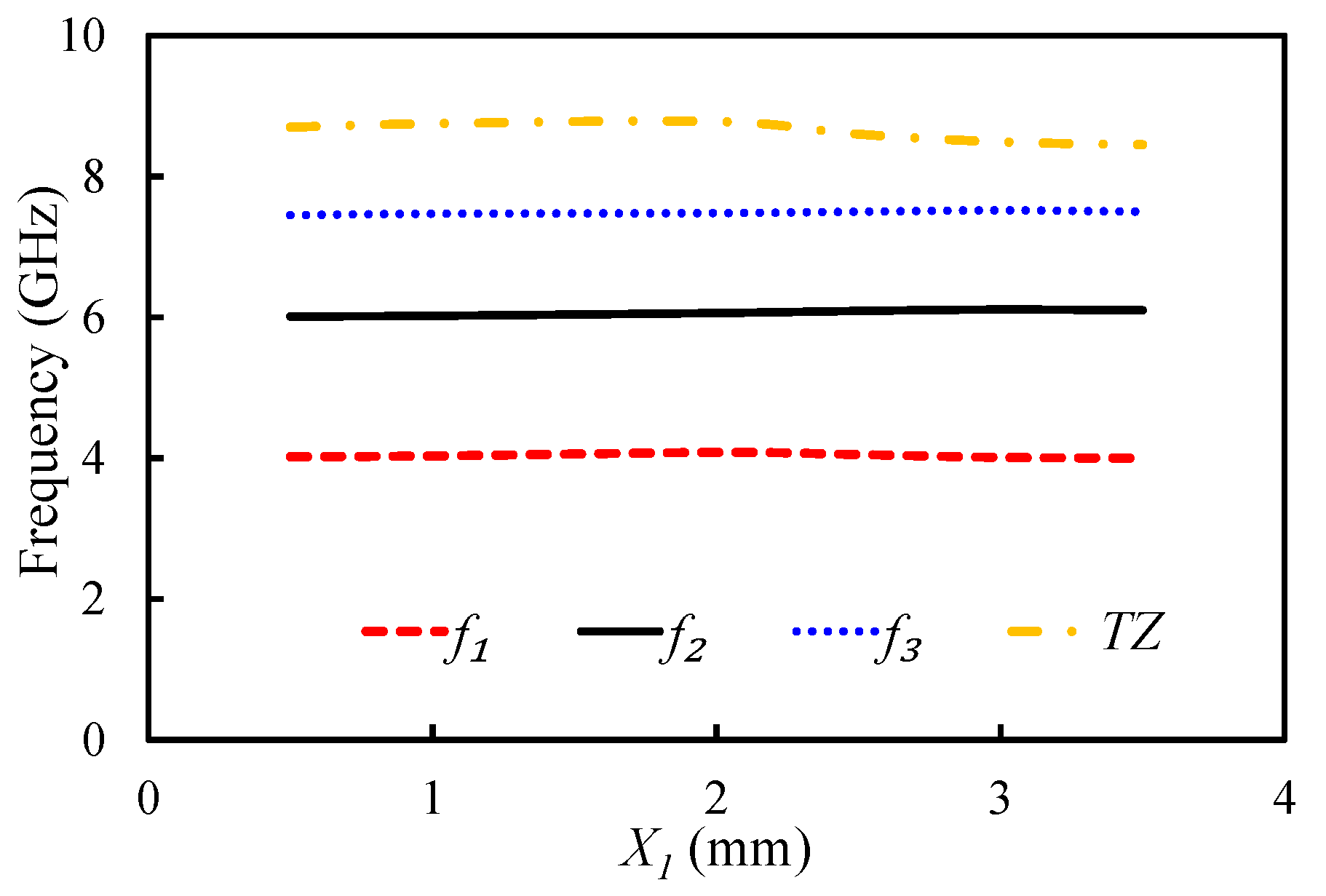
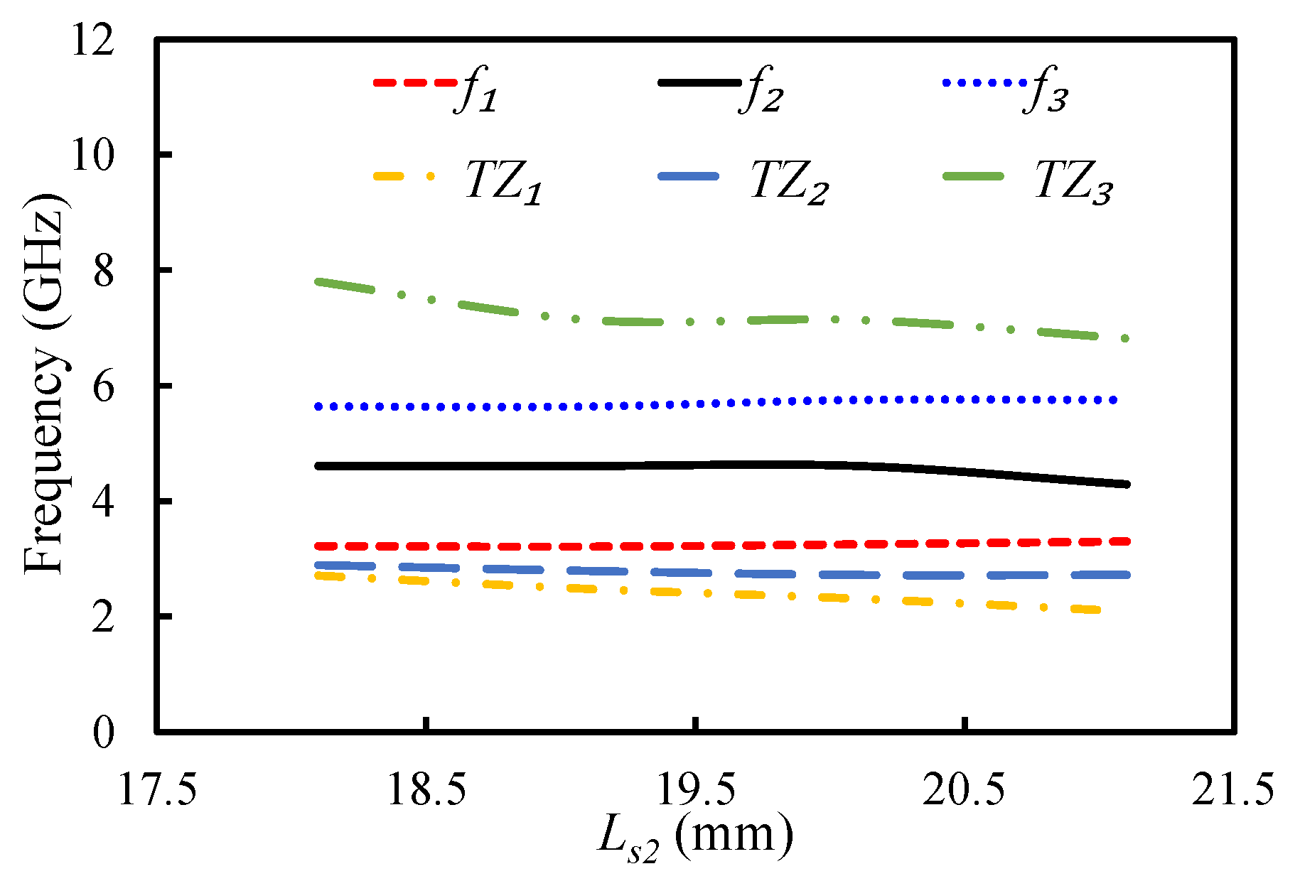
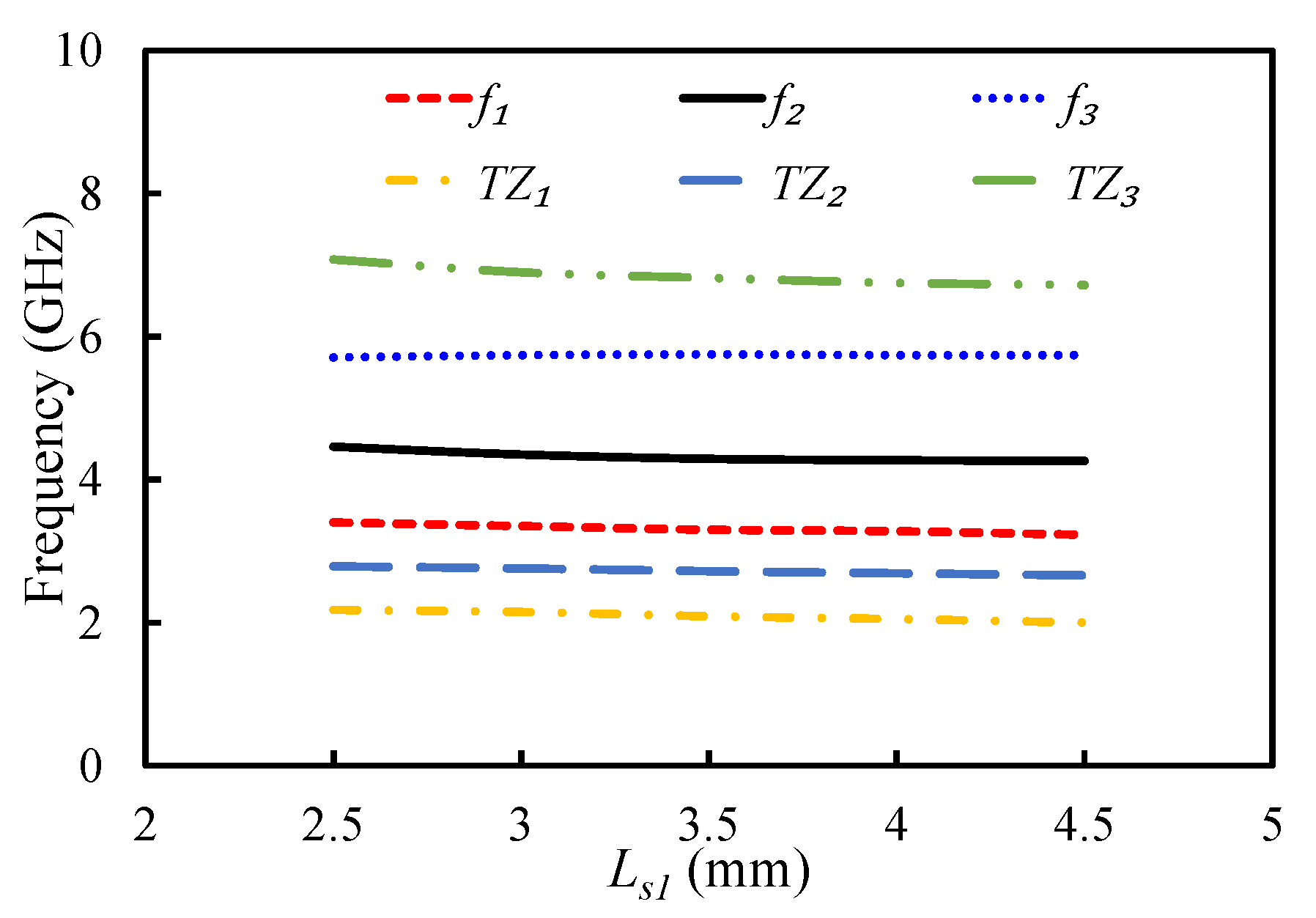
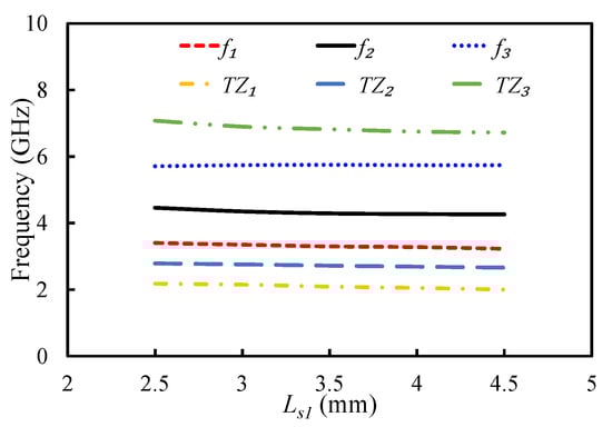
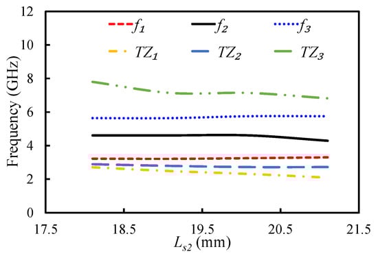
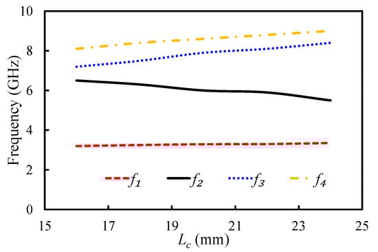
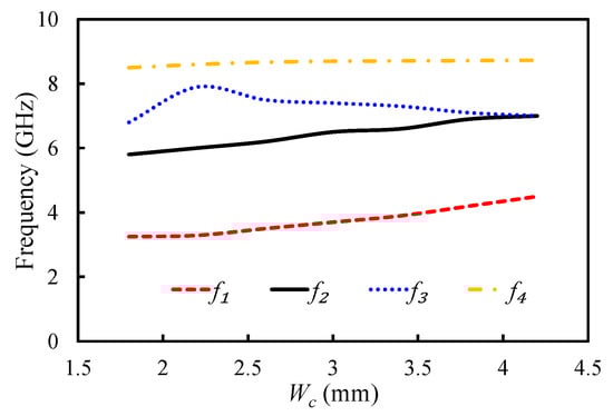
3.3. Proposed Filter: Wideband Filter with Enhanced Selectivity
4. Results and Discussion
- Select the dimensions of the cavity, based on the design specifications of the filter, using the following equation:
- Select the radius of the vias and gap between them as suggested by [22]. The suggested guidelines are d/a ≥ 0.5 and d/ ≤ 0.1 (where is the wavelength at the center frequency, d is the diameter of the vias, and a is the gap between the vias).
- Symmetrically cut the circular SIW cavity resonator into two portions. Each part is the HMSIW cavity resonator.
- Adjust the dimensions of the open-ended slot ( and ) to position the resonant modes of the cavity.
- Design a U-shaped slot in the center of the cavity resonator to generate a TZ on the higher-frequency side of the passband. The following equation can be used to estimate the dimensions of the slot:
- Adjust the dimensions of the slot (, and ) and position of the slot () to control the location of the TZ. Moreover, these parameters are also vital for positioning the resonant modes.
- To further improve the selectivity, add L-shaped open-circuited stubs to generate the TZs on the lower-frequency side of the passband.
- Adjust the dimensions of the L-shaped open-circuited stubs (, and ) to control the location of the resonant modes and TZs.
- Optimize the overall filter parameters to get the desired results.
5. Conclusions
Author Contributions
Funding
Acknowledgments
Conflicts of Interest
References
- Iqbal, A.; Tiang, J.J.; Kwang Lee, C.; Muhammad, S. Wideband Half Mode Substrate Integrated Waveguide (HMSIW) Bandpass Filter. In Proceedings of the 2020 17th International Conference on Electrical Engineering/Electronics, Computer, Telecommunications and Information Technology (ECTI-CON), Phuket, Thailand, 24–27 June 2020; pp. 710–712. [Google Scholar] [CrossRef]
- Feng, W.; Gao, X.; Che, W.; Yang, W.; Xue, Q. High selectivity wideband balanced filters with multiple transmission zeros. IEEE Trans. Circuits Syst. II Express Briefs 2015, 64, 1182–1186. [Google Scholar] [CrossRef]
- Iqbal, A.; Tiang, J.J.; Lee, C.K.; Mallat, N.K.; Wong, S.W. Dual-band half mode substrate integrated waveguide filter with independently tunable bands. IEEE Trans. Circuits Syst. II Express Briefs 2019, 67, 285–289. [Google Scholar] [CrossRef]
- Iqbal, A.; Tiang, J.J.; Lee, C.K.; Lee, B.M. Tunable Substrate Integrated Waveguide Diplexer with High Isolation and Wide Stopband. IEEE Microw. Wirel. Components Lett. 2019, 29, 456–458. [Google Scholar] [CrossRef]
- Iqbal, A.; Ahmad, A.W.; Smida, A.; Mallat, N.K. Tunable SIW Bandpass Filters with Improved Upper Stopband Performance. IEEE Trans. Circuits Syst. II Express Briefs 2020, 67, 1194–1198. [Google Scholar] [CrossRef]
- Máximo-Gutiérrez, C.; Hinojosa, J.; Alvarez-Melcon, A. Design of wide band-pass substrate integrated waveguide (SIW) filters based on stepped impedances. AEU-Int. J. Electron. Commun. 2019, 100, 1–8. [Google Scholar] [CrossRef]
- Lugo, C.; Papapolymerou, J. Planar Realization of a Triple-Mode Bandpass Filter Using a Multilayer Configuration. IEEE Trans. Microw. Theory Tech. 2007, 55, 296–301. [Google Scholar] [CrossRef]
- Jia, D.; Feng, Q.; Xiang, Q.; Wu, K. Multilayer substrate integrated waveguide (SIW) filters with higher-order mode suppression. IEEE Microw. Wirel. Compon. Lett. 2016, 26, 678–680. [Google Scholar] [CrossRef]
- Zhang, Z.C.; Liu, H.W.; Wong, S.W. Compact wideband bandpass filter based on double-T-shaped stub loaded resonator and loading technique for zero-voltage point. Int. J. RF Microw. Comput. Aided Eng. 2018, 28, e21197. [Google Scholar] [CrossRef]
- Chen, R.S.; Wong, S.W.; Zhu, L.; Chu, Q.X. Wideband bandpass filter using U-slotted substrate integrated waveguide (SIW) cavities. IEEE Microw. Wirel. Compon. Lett. 2014, 25, 1–3. [Google Scholar] [CrossRef]
- Jin, C.; Shen, Z. Compact triple-mode filter based on quarter-mode substrate integrated waveguide. IEEE Trans. Microw. Theory Tech. 2013, 62, 37–45. [Google Scholar] [CrossRef]
- Wong, S.W.; Wang, K.; Chen, Z.N.; Chu, Q.X. Design of millimeter-wave bandpass filter using electric coupling of substrate integrated waveguide (SIW). IEEE Microw. Wirel. Compon. Lett. 2013, 24, 26–28. [Google Scholar] [CrossRef]
- Zhu, X.C.; Hong, W.; Wu, K.; Tang, H.J.; Hao, Z.C.; Chen, J.X.; Chu, P. Design and implementation of a triple-mode planar filter. IEEE Microw. Wirel. Compon. Lett. 2013, 23, 243–245. [Google Scholar] [CrossRef]
- Srisathit, K.; Worapishet, A.; Surakampontorn, W. Design of Triple-Mode Ring Resonator for Wideband Microstrip Bandpass Filters. IEEE Trans. Microw. Theory Tech. 2010, 58, 2867–2877. [Google Scholar] [CrossRef]
- Liu, J.; Ding, W.; Chen, J.; Zhang, A. New ultra-wideband filter with sharp notched band using defected ground structure. Prog. Electromagn. Res. 2019, 83, 99–105. [Google Scholar] [CrossRef]
- Ji, X.C.; Ji, W.S.; Feng, L.Y.; Tong, Y.Y.; Zhang, Z.Y. Design of a novel multi-layer wideband bandpass filter with a notched band. Prog. Electromagn. Res. 2019, 82, 9–16. [Google Scholar] [CrossRef]
- Yeo, K.S. Wideband Grounded Coplanar Waveguide Bandpass Filter with Novel Coupling Structures. In Proceedings of the 2019 IEEE Asia-Pacific Microwave Conference (APMC), Singapore, 10–13 December 2019; pp. 1038–1040. [Google Scholar]
- Hou, Z.; Liu, C.; Zhang, B.; Song, R.; Wu, Z.; Zhang, J.; He, D. Dual-/Tri-Wideband Bandpass Filter with High Selectivity and Adjustable Passband for 5G Mid-Band Mobile Communications. Electronics 2020, 9, 205. [Google Scholar] [CrossRef]
- Zhang, P.; Liu, L.; Chen, D.; Weng, M.H.; Yang, R.Y. Application of a Stub-Loaded Square Ring Resonator for Wideband Bandpass Filter Design. Electronics 2020, 9, 176. [Google Scholar] [CrossRef]
- Liang, G.Z.; Chen, F.C. A compact dual-wideband bandpass filter based on open-/short-circuited stubs. IEEE Access 2020, 8, 20488–20492. [Google Scholar] [CrossRef]
- Pozar, D.M. Microwave Engineering; John Wiley & Sons: Hoboken, NJ, USA, 2011. [Google Scholar]
- Xu, F.; Wu, K. Guided-wave and leakage characteristics of substrate integrated waveguide. IEEE Trans. Microw. Theory Tech. 2005, 53, 66–73. [Google Scholar]
- Muller, A.A.; Sanabria-Codesal, E.; Moldoveanu, A.; Asavei, V.; Lucyszyn, S. Extended capabilities of the 3-D smith chart with group delay and resonator quality factor. IEEE Trans. Microw. Theory Tech. 2016, 65, 10–19. [Google Scholar] [CrossRef]






















| Ref. | Size () | FBW (%) | (GHz) | IL (dB) | TZs |
|---|---|---|---|---|---|
| This Work | 0.69 × 1.03 | 69.31 | 4.67 | 0.9 | 3 |
| [6] | 0.22 × 1.2 | 29 | 3.45 | 1.5 | 0 |
| [7] | Not Given | 10.34 | 5.8 | 1.1 | 3 |
| [9] | ≈0.58 × 0.91 | 69.1 | 4.5 | 1.4 | 2 |
| [10] | 0.63 × 1.25 | 42 | 8.5 | 1.1 | 3 |
| [11] | Not Given | 38 | 5.2 | 0.74 | 2 |
| [14] | 1.48 × 0.39 | 27.2 | 1 | 1.62 | 4 |
Publisher’s Note: MDPI stays neutral with regard to jurisdictional claims in published maps and institutional affiliations. |
© 2020 by the authors. Licensee MDPI, Basel, Switzerland. This article is an open access article distributed under the terms and conditions of the Creative Commons Attribution (CC BY) license (http://creativecommons.org/licenses/by/4.0/).
Share and Cite
Iqbal, A.; Jiat Tiang, J.; Kin Wong, S.; Alibakhshikenari, M.; Falcone, F.; Limiti, E. Multimode HMSIW-Based Bandpass Filter with Improved Selectivity for Fifth-Generation (5G) RF Front-Ends. Sensors 2020, 20, 7320. https://doi.org/10.3390/s20247320
Iqbal A, Jiat Tiang J, Kin Wong S, Alibakhshikenari M, Falcone F, Limiti E. Multimode HMSIW-Based Bandpass Filter with Improved Selectivity for Fifth-Generation (5G) RF Front-Ends. Sensors. 2020; 20(24):7320. https://doi.org/10.3390/s20247320
Chicago/Turabian StyleIqbal, Amjad, Jun Jiat Tiang, Sew Kin Wong, Mohammad Alibakhshikenari, Francisco Falcone, and Ernesto Limiti. 2020. "Multimode HMSIW-Based Bandpass Filter with Improved Selectivity for Fifth-Generation (5G) RF Front-Ends" Sensors 20, no. 24: 7320. https://doi.org/10.3390/s20247320
APA StyleIqbal, A., Jiat Tiang, J., Kin Wong, S., Alibakhshikenari, M., Falcone, F., & Limiti, E. (2020). Multimode HMSIW-Based Bandpass Filter with Improved Selectivity for Fifth-Generation (5G) RF Front-Ends. Sensors, 20(24), 7320. https://doi.org/10.3390/s20247320

