Autonomous Addition of Agents to an Existing Group Using Genetic Algorithm
Abstract
1. Introduction
- Autonomous agent addition to an existing group of agents is a new idea and has not been reported in the literature (to the best of authors’ knowledge). It is an important operation when an ongoing mission demands more agents. The idea helps to build a distributed architecture which is appropriate for BVLOS operations. The agents can operate independently if more agents are required to join the group. There is no need to depend on remote pilots.
- The existing communication topology is not modified. This is important because the existing agents remain connected during the flight. Therefore, network stability is assured. The minimum additional consensus control is required. This is necessary to ensure a minimum number of new connections should be established. In addition, the MASs can operate for a longer duration, which is beneficial for a mission.
- A bio-inspired optimization technique is used to solve the problem which is new in this context. A new crossover and mutation variety is proposed.
2. Problem Description
3. Preliminaries
3.1. Consensus of Agents
3.2. Graph Theory
3.3. Distributed Nonlinear Dynamic Inversion (DNDI) Controller for Consensus of MASs
4. Solution Method: Two-Dimensional Genetic Algorithm (2D-GA)
4.1. Two-Dimensional Chromosome Representation
4.2. Population Generation
| Algorithm 1 Initial Population Generation. |
for to do for to do for to do random number if then else end if if then end if end for end for for to N do for to do random number if then else end if end for end for end for |
4.3. Crossover
| Algorithm 2. |
Generate random integer Generate random integer and |
4.4. Mutation
| Algorithm 3. |
random integer random integer ifthen Swap and rows of a chromosome end if |
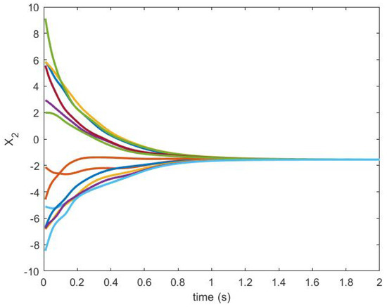
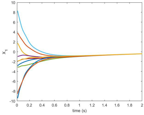
5. Results
5.1. Part I: Existing Topology
5.2. Part II: Agent Addition, No Change in Existing Topology
6. Conclusions
Author Contributions
Funding
Conflicts of Interest
References
- Liu, X.; Ji, Z.; Hou, T.; Yu, H. Decentralized stabilizability and formation control of multi-agent systems with antagonistic interactions. ISA Trans. 2019, 89, 58–66. [Google Scholar] [CrossRef] [PubMed]
- Nguyen, T.; La, H.M.; Le, T.D.; Jafari, M. Formation control and obstacle avoidance of multiple rectangular agents with limited communication ranges. IEEE Trans. Control. Netw. Syst. 2016, 4, 680–691. [Google Scholar] [CrossRef]
- Cao, J.; Chen, G.; Li, P. Global synchronization in an array of delayed neural networks with hybrid coupling. IEEE Trans. Syst. Man Cybern. Part B 2008, 38, 488–498. [Google Scholar]
- Yu, W.; Cao, J.; Chen, G.; Lu, J.; Han, J.; Wei, W. Local synchronization of a complex network model. IEEE Trans. Syst. Man Cybern. Part B 2008, 39, 230–241. [Google Scholar]
- Wen, G.; Yu, Y.; Peng, Z.; Rahmani, A. Consensus tracking for second-order nonlinear multi-agent systems with switching topologies and a time-varying reference state. Int. J. Control 2016, 89, 2096–2106. [Google Scholar] [CrossRef]
- Wen, G.; Duan, Z.; Chen, G.; Yu, W. Consensus tracking of multi-agent systems with Lipschitz-type node dynamics and switching topologies. IEEE Trans. Circ. Syst. I Regul. Pap. 2013, 61, 499–511. [Google Scholar] [CrossRef]
- Kim, J.M.; Park, J.B.; Choi, Y.H. Leaderless and leader-following consensus for heterogeneous multi-agent systems with random link failures. IET Control Theory Appl. 2014, 8, 51–60. [Google Scholar] [CrossRef]
- Liu, W.; Zhou, S.; Qi, Y.; Wu, X. Leaderless consensus of multi-agent systems with Lipschitz nonlinear dynamics and switching topologies. Neurocomputing 2016, 173, 1322–1329. [Google Scholar] [CrossRef]
- Wang, A. Event-based consensus control for single-integrator networks with communication time delays. Neurocomputing 2016, 173, 1715–1719. [Google Scholar] [CrossRef]
- Zhan, J.; Li, X. Asynchronous consensus of multiple double-integrator agents with arbitrary sampling intervals and communication delays. IEEE Trans. Circ. Syst. I Regul. Pap. 2015, 62, 2301–2311. [Google Scholar] [CrossRef]
- Xu, X.; Liu, L.; Feng, G. Consensus of single integrator multi-agent systems with unbounded transmission delays. J. Syst. Sci. Complex. 2019, 32, 778–788. [Google Scholar] [CrossRef]
- Cheng, L.; Hou, Z.G.; Tan, M. A mean square consensus protocol for linear multi-agent systems with communication noises and fixed topologies. IEEE Trans. Autom. Control 2013, 59, 261–267. [Google Scholar] [CrossRef]
- Wang, Y.; Cheng, L.; Hou, Z.G.; Tan, M.; Zhou, C.; Wang, M. Consensus seeking in a network of discrete-time linear agents with communication noises. Int. J. Syst. Sci. 2015, 46, 1874–1888. [Google Scholar] [CrossRef]
- Morita, R.; Wada, T.; Masubuchi, I.; Asai, T.; Fujisaki, Y. Multiagent consensus with noisy communication: Stopping rules based on network graphs. IEEE Trans. Control. Netw. Syst. 2015, 3, 358–365. [Google Scholar] [CrossRef]
- Liu, J.; Ming, P.; Li, S. Consensus gain conditions of stochastic multi-agent system with communication noise. Int. J. Control Autom. Syst. 2016, 14, 1223–1230. [Google Scholar] [CrossRef]
- Cao, Y.; Ren, W. Optimal linear-consensus algorithms: An LQR perspective. IEEE Trans. Syst. Man Cybern. Part B 2009, 40, 819–830. [Google Scholar]
- Ma, J.; Zheng, Y.; Wang, L. LQR-based optimal topology of leader-following consensus. Int. J. Robust Nonlinear Control 2015, 25, 3404–3421. [Google Scholar] [CrossRef]
- Ma, J.; Zheng, Y.; Wu, B.; Wang, L. Equilibrium topology of multi-agent systems with two leaders: A zero-sum game perspective. Automatica 2016, 73, 200–206. [Google Scholar] [CrossRef]
- Wang, H.; Ma, J. Optimal topology for consensus of heterogeneous multi-agent systems. Neurocomputing 2016, 177, 594–599. [Google Scholar] [CrossRef]
- Mondal, S.; Tsourdos, A. Optimal Topology for Consensus using Genetic Algorithm. Neurocomputing 2020, 404, 41–49. [Google Scholar] [CrossRef]
- Holland, J.H. Adaptation in Natural and Artificial Systems: An Introductory Analysis with Applications to Biology, Control, and Artificial Intelligence; MIT Press: Cambridge, MA, USA, 1992. [Google Scholar]
- Filipič, B.; Juričić, D. An interactive genetic algorithm for controller parameter optimization. In Artificial Neural Nets and Genetic Algorithms; Springer, Vienna: Berlin/Heidelberg, Germany, 1993; pp. 458–462. [Google Scholar]
- Grefenstette, J.J. Optimization of control parameters for genetic algorithms. IEEE Trans. Syst. Man Cybern. 1986, 16, 122–128. [Google Scholar] [CrossRef]
- Goldberg, D.E.; Holland, J.H. Genetic Algorithms and Machine Learning; Machine Learning 3; Kluwer Academic Publishers: Dordrecht, The Netherlands, 1988; pp. 95–99. [Google Scholar]
- Niculescu, S.P. Artificial neural networks and genetic algorithms in QSAR. J. Mol. Struct. 2003, 622, 71–83. [Google Scholar] [CrossRef]
- Karr, C.L. Design of an adaptive fuzzy logic controller using genetic algorithm. In Proceedings of the 4th International Conference on Genetic Algorithms, San Diego, CA, USA, 13–16 July 1991; pp. 450–457. [Google Scholar]
- Oh, S.K.; Pedrycz, W.; Park, H.S. Hybrid identification in fuzzy-neural networks. Fuzzy Sets Syst. 2003, 138, 399–426. [Google Scholar] [CrossRef]
- Shi, X.C.; Xie, C.L.; Wang, Y.H. Nuclear power plant fault diagnosis based on genetic-RBF neural network. J. Mar. Sci. Appl. 2006, 5, 57–62. [Google Scholar] [CrossRef]
- Hao, K.; Zhao, J.; Yu, K.; Li, C.; Wang, C. Path Planning of Mobile Robots Based on a Multi-Population Migration Genetic Algorithm. Sensors 2020, 20, 5873. [Google Scholar] [CrossRef] [PubMed]
- Najm, A.A.; Ibraheem, I.K.; Azar, A.T.; Humaidi, A.J. Genetic Optimization-Based Consensus Control of Multi-Agent 6-DoF UAV System. Sensors 2020, 20, 3576. [Google Scholar] [CrossRef]
- Phua, P.K.H.; Ming, D.; Lin, W. Neural network with genetically evolved algorithms for stocks prediction. Asia Pac. J. Oper. Res. 2001, 18, 103. [Google Scholar]
- Tsai, M.W.; Hong, T.P.; Lin, W.T. A two-dimensional genetic algorithm and its application to aircraft scheduling problem. Math. Probl. Eng. 2015. [Google Scholar] [CrossRef]
- Jain, S.; Gea, H.C. Two-dimensional packing problems using genetic algorithms. Eng. Comput. 1998, 14, 206–213. [Google Scholar] [CrossRef]
- De Jong, K.A.; Spears, W.M. A formal analysis of the role of multi-point crossover in genetic algorithms. Ann. Math. Artif. Intell. 1992, 5, 1–26. [Google Scholar] [CrossRef]
- Syswerda, G. Uniform crossover in genetic algorithms. In Proceedings of the Third International Conference on Genetic Algorithms; Morgan Kaufmann Publishers: San Francisco, CA, USA, 1989; pp. 2–9. [Google Scholar]
- Booker, L.B.; Goldberg, D.E.; Holland, J.H. Classifier systems and genetic algorithms. Artif. Intell. 1989, 40, 235–282. [Google Scholar] [CrossRef]
- Umbarkar, A.; Sheth, P. Crossover operators in genetic algorithms: A review. ICTACT J. Soft Comput. 2015, 6, 1083–1092. [Google Scholar]




























Publisher’s Note: MDPI stays neutral with regard to jurisdictional claims in published maps and institutional affiliations. |
© 2020 by the authors. Licensee MDPI, Basel, Switzerland. This article is an open access article distributed under the terms and conditions of the Creative Commons Attribution (CC BY) license (http://creativecommons.org/licenses/by/4.0/).
Share and Cite
Mondal, S.; Tsourdos, A. Autonomous Addition of Agents to an Existing Group Using Genetic Algorithm. Sensors 2020, 20, 6953. https://doi.org/10.3390/s20236953
Mondal S, Tsourdos A. Autonomous Addition of Agents to an Existing Group Using Genetic Algorithm. Sensors. 2020; 20(23):6953. https://doi.org/10.3390/s20236953
Chicago/Turabian StyleMondal, Sabyasachi, and Antonios Tsourdos. 2020. "Autonomous Addition of Agents to an Existing Group Using Genetic Algorithm" Sensors 20, no. 23: 6953. https://doi.org/10.3390/s20236953
APA StyleMondal, S., & Tsourdos, A. (2020). Autonomous Addition of Agents to an Existing Group Using Genetic Algorithm. Sensors, 20(23), 6953. https://doi.org/10.3390/s20236953

