Structural Crack Detection Using DPP-BOTDA and Crack-Induced Features of the Brillouin Gain Spectrum
Abstract
1. Introduction
2. Working Mechanism of DPP-BOTDA
2.1. Working Mechanism of DPP-BOTDA Based Distributed Strain and Temperature Sensing
2.2. Theoretical Model of Calculating Brillouin Gain of DPP-BOTDA
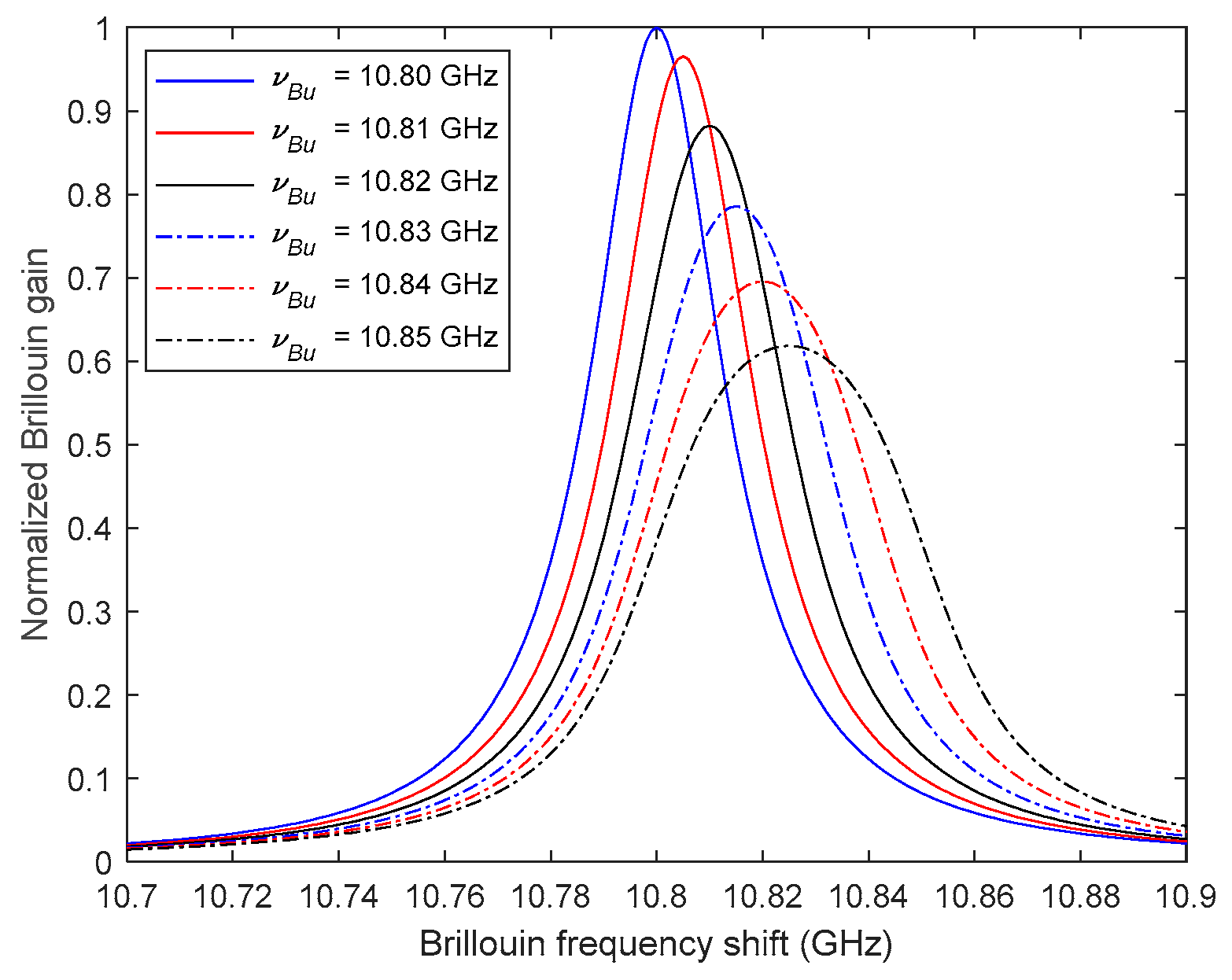
2.3. Simulation of BGS of Fiber with Non-Uniformly Distributed Strain
3. Detect Structural Cracks via DPP-BOTDA
3.1. Crack-Induced Strain in Optical Fiber
3.2. Simulation of Crack-Induced BGS Measured by DPP-BOTDA
3.3. Characteristics of Crack-induced BGS
3.4. Structural Crack Indicator
3.5. Prediction of Structural Crack Width Based on Characteristics of BGS
3.6. Discussion
4. Experimental Investigation
4.1. Experimental Setup
4.2. Experimental Results
4.3. Verification of Proposed Structural Crack Identification Method
5. Discussions About the Practical Application Issues of the Proposed Method
6. Conclusions
Author Contributions
Funding
Conflicts of Interest
References
- Zheng, Y.; Liu, K.; Wu, Z.; Gao, D.; Gorgin, R.; Ma, S.; Lei, Z. Lamb waves and electro-mechanical impedance based damage detection using a mobile PZT transducer set. Ultrasonics 2019, 92, 13–20. [Google Scholar] [CrossRef]
- Jinesh, N.; Shankar, K. Sub-Structural Parameter Identification Including Cracks of Beam Structure Using PZT Patch. Int. J. Comput. Methods Eng. Sci. Mech. 2019, 20, 115–129. [Google Scholar] [CrossRef]
- Hea, M.; Lib, J.; Zhang, Y.; Lia, W. Research on crack visualization method for dynamic detection of eddy current thermography. NDT E Int. 2020, 116, 102361. [Google Scholar] [CrossRef]
- Spencer, B.F., Jr.; Hoskereab, V.; Narazakia, Y. Advances in Computer Vision-Based Civil Infrastructure Inspection and Monitoring. Engineering 2019, 5, 199–222. [Google Scholar] [CrossRef]
- Parker, T.R.; Farhadiroushan, M.; Handerek, V.A.; Rogers, A.J. Temperature and strain dependence of the power level and frequency of spontaneous Brillouin scattering in optical fibers. Opt. Lett. 1997, 22, 787–789. [Google Scholar] [CrossRef] [PubMed]
- Bao, X.; Webb, D.J.; Jackson, D.A. 22-km distributed temperature sensor using Brillouin gain in an optical fiber. Opt. Lett. 1993, 18, 552–554. [Google Scholar] [CrossRef] [PubMed]
- Nikles, M.; Thevenaz, L.; Robert, P.A. Simple distributed fiber sensor based on Brillouin gain spectrum analysis. Opt. Lett. 1996, 21, 758–760. [Google Scholar] [CrossRef] [PubMed]
- Dong, Y.; Chen, L.; Bao, X. Extending the sensing range of Brillouin optical time-domain analysis combining frequency-division multiplexing and in-line EDFAs. J. Lightwave Technol. 2012, 30, 1161–1167. [Google Scholar] [CrossRef]
- Zhang, W.; Shi, B.; Zhang, Y.; Liu, J.; Zhu, Y. The strain field method for structural damage identification using Brillouin optical fiber sensing. Smart Mater. Struct. 2007, 16, 843–850. [Google Scholar] [CrossRef]
- Goldfeld, Y.; Klar, A. Damage Identification in Reinforced Concrete Beams Using Spatially Distributed Strain Measurements. J. Struct. Eng. 2013, 139, 1–11. [Google Scholar] [CrossRef]
- Feng, X.; Zhou, J.; Sun, C.; Zhang, X. Theoretical and Experimental Investigations into Crack Detection with BOTDR-Distributed Fiber Optic Sensors. J. Eng. Mech. 2013, 139, 1797–1807. [Google Scholar] [CrossRef]
- Deif, A.; Pérez, B.M.; Cousin, B.; Zhang, C.; Bao, X.; Li, W. Detection of cracks in a reinforced concrete beam using distributed Brillouin fibre sensors. Smart Mater Struct. 2010, 19, 055014. [Google Scholar] [CrossRef]
- Liu, Y.; Zhang, S.Y. Damage Localization of Beam Bridges Using Quasi-Static Strain Influence Lines Based on the BOTDA Technique. Sensors 2018, 18, 6. [Google Scholar] [CrossRef] [PubMed]
- Li, F.; Zhao, W.; Xu, H.; Wang, S.; Du, Y. A Highly Integrated BOTDA/XFG Sensor on a Single Fiber for Simultaneous Multi-Parameter Monitoring of Slopes. Sensors 2019, 19, 2132. [Google Scholar] [CrossRef]
- Kishida, K.; Li, C.H.; Nishiguchi, K. Pulse pre-pump method for cm-order spatial resolution of BOTDA. In Proceedings of the 17th International Conference on Optical Fibre Sensors, Bruges, Belgium, 23–27 May 2005. [Google Scholar]
- Meng, D.; Ansari, F. Interference and differentiation of the neighboring surface microcracks in distributed sensing with PPP-BOTDA. Appl. Opt. 2016, 55, 9782–9790. [Google Scholar] [CrossRef]
- Meng, D.; Ansari, F.; Feng, X. Detection and monitoring of surface micro-cracks by PPP-BOTDA. Appl. Opt. 2015, 54, 4972–4978. [Google Scholar] [CrossRef]
- Xu, J.; Dong, Y.; Li, H. Research on fatigue damage detection for wind turbine blade based on high-spatial-resolution DPP-BOTDA. In Sensors and Smart Structures Technologies for Civil, Mechanical, and Aerospace Systems 2014, Proceedings of the SPIE Smart Structures and Materials + Nondestructive Evaluation and Health Monitoring, San Diego, CA, USA, 10–13 March 2014; SPIE: San Diego, CA, USA, 2014. [Google Scholar]
- Dong, Y.; Zhang, H.; Chen, L.; Bao, X. 2 cm spatial-resolution and 2 km range Brillouin optical fiber sensor using a transient differential pulse pair. Appl. Opt. 2012, 51, 1229–1235. [Google Scholar] [CrossRef]
- Xue, J. High-Performance Distributed Fiber Optic Monitoring and Condition Assessment Methods for Infrastructure. Ph.D Thesis, School of Civil Engineering. Harbin Institute of Technology, Heilongjiang, China, 2019. [Google Scholar]
- Bao, X.; Dhliwayo, J.; Heron, N.; Webb, D.J.; Jackson, D.A. Experimental and theoretical studies on a distributed temperature sensor based on Brillouin scattering. J. Lightwave Technol. 1995, 13, 1340–1348. [Google Scholar] [CrossRef]
- Ansari, F.; Libo, Y. Mechanics of bond and interface shear transfer in optical fiber sensors. J. Eng. Mech. ASCE 1998, 124, 385–394. [Google Scholar] [CrossRef]
- Wan, K.T.; Leung, C.K.Y.; Olson, N.G. Investigation of the strain transfer for surface-attached optical fiber strain sensors. Smart Mater. Struct. 2008, 17, 035037. [Google Scholar] [CrossRef]
- Hurvich, C.M.; Tsai, C.L. Regression and time series model selection in small samples. Biometrika 1989, 76, 297–307. [Google Scholar] [CrossRef]


























| Model Type | (mm) | AICc |
|---|---|---|
| Linear model | 0.0027 | −28.5 |
| Quadratic model | 0.0006 | −31.5 |
| Crack No. | Load Level (kN) | ||||||||
|---|---|---|---|---|---|---|---|---|---|
| 40 | 80 | 120 | 160 | 200 | 240 | 260 | 280 | 290 | |
| 1 | 0.06 | 0.1 | 0.13 | 0.14 | 0.16 | 0.17 | 0.23 | 0.27 | 0.21 |
| 2 | 0.02 | 0.05 | 0.08 | 0.10 | 0.12 | 0.14 | 0.15 | 0.18 | 0.13 |
| 3 | 0.04 | 0.07 | 0.1 | 0.11 | 0.15 | 0.16 | 0.18 | 0.2 | 0.16 |
| 4 | 0.02 | 0.04 | 0.04 | 0.05 | 0.06 | 0.05 | 0.06 | 0.06 | 0.07 |
| 5 | 0.03 | 0.07 | 0.08 | 0.12 | 0.14 | 0.16 | 0.16 | 0.53 | 0.82 |
| 6 | 0.03 | 0.07 | 0.11 | 0.14 | 0.15 | 0.18 | 0.22 | 0.17 | 0.82 |
| 7 | 0.02 | 0.05 | 0.06 | 0.07 | 0.05 | 0.05 | 0.05 | 0.07 | 0.09 |
| 8 | 0.03 | 0.06 | 0.07 | 0.10 | 0.10 | 0.13 | 0.12 | 0.11 | 0.11 |
| 9 | 0.02 | 0.05 | 0.08 | 0.09 | 0.13 | 0.18 | 0.20 | 0.25 | 0.24 |
| 10 | 0.02 | 0.05 | 0.07 | 0.08 | 0.07 | 0.10 | 0.10 | 0.08 | 0.11 |
| 11 | 0.02 | 0.06 | 0.07 | 0.08 | 0.11 | 0.13 | 0.13 | 0.15 | 0.13 |
| 12 | 0.03 | 0.07 | 0.09 | 0.12 | 0.13 | 0.16 | 0.18 | 0.21 | 0.18 |
| 13 | 0.02 | 0.05 | 0.05 | 0.07 | 0.08 | 0.07 | 0.1 | 0.07 | 0.1 |
| 14 | 0.02 | 0.05 | 0.07 | 0.08 | 0.1 | 0.13 | 0.14 | 0.16 | 0.17 |
| 15 | 0.01 | 0.03 | 0.07 | 0.08 | 0.08 | 0.09 | 0.11 | 0.13 | 0.17 |
| 16 | 0.03 | 0.07 | 0.07 | 0.10 | 0.10 | 0.10 | 0.13 | 0.15 | 0.13 |
| 17 | 0.01 | 0.02 | 0.07 | 0.07 | 0.05 | 0.05 | 0.07 | 0.08 | 0.05 |
| 18 | 0.02 | 0.05 | 0.08 | 0.12 | 0.11 | 0.14 | 0.16 | 0.21 | 0.18 |
Publisher’s Note: MDPI stays neutral with regard to jurisdictional claims in published maps and institutional affiliations. |
© 2020 by the authors. Licensee MDPI, Basel, Switzerland. This article is an open access article distributed under the terms and conditions of the Creative Commons Attribution (CC BY) license (http://creativecommons.org/licenses/by/4.0/).
Share and Cite
Zhang, D.; Yang, Y.; Xu, J.; Ni, L.; Li, H. Structural Crack Detection Using DPP-BOTDA and Crack-Induced Features of the Brillouin Gain Spectrum. Sensors 2020, 20, 6947. https://doi.org/10.3390/s20236947
Zhang D, Yang Y, Xu J, Ni L, Li H. Structural Crack Detection Using DPP-BOTDA and Crack-Induced Features of the Brillouin Gain Spectrum. Sensors. 2020; 20(23):6947. https://doi.org/10.3390/s20236947
Chicago/Turabian StyleZhang, Dongyu, Yang Yang, Jinlong Xu, Li Ni, and Hui Li. 2020. "Structural Crack Detection Using DPP-BOTDA and Crack-Induced Features of the Brillouin Gain Spectrum" Sensors 20, no. 23: 6947. https://doi.org/10.3390/s20236947
APA StyleZhang, D., Yang, Y., Xu, J., Ni, L., & Li, H. (2020). Structural Crack Detection Using DPP-BOTDA and Crack-Induced Features of the Brillouin Gain Spectrum. Sensors, 20(23), 6947. https://doi.org/10.3390/s20236947

