Experimental Comparison of IR-UWB Radar and FMCW Radar for Vital Signs
Abstract
1. Introduction
2. IR-UWB and FMCW Principle
2.1. IR-UWB Radar
- Due to the short impulse in the time-domain, the received signal has a large bandwidth. A bandpass filter is used over each row of the raw ADC data matrix , resulting in time-domain matrix , where denotes the fast-time samples in the range direction, and denotes the index of received frames in the slow-time dimension.
- In order to extract the human body signal from the raw data signal with background noise and stationary clutter, the recursive filter [20] is one of the MTI algorithms used for this situation. The MTI filter generates the clutter-suppressed signal by subtracting the estimated clutter from the received raw data signal.where represents the estimated clutter signal at the n-th slow time. is the gain factor one can control in the filter response. If the gain factor is set to be high, the amplitude of the subject is high in the clutter removal signal, but it takes more time to remove the clutter components.
- The range bin of the human body is determined for each row of by finding the maximum variance point within a slow-time slide window, and values for each frame are saved as . is the vital signs extracted from the raw data and consists of respiration and heart beat.
- Fast fourier transform (FFT) spectral analysis is applied to for respiration rate and heartbeat rate.
2.2. FMCW Radar
- Inverse fast fourier transform (IFFT) is performed over each row of the raw ADC data matrix . The result is the time-domain matrix , where denotes the fast-time samples in the range direction, and denotes the index of received frames in the slow-time dimension.
- The unwrapped the phase information of the vital signal is extracted, and the unwrapped phase signal is denoted as .where and are the imaginary and real parts of the vital signal . The phase of the subject in the slow-time index is calculated by using , and the phase is wrapped in . According to the movement of the subject, the phase can go beyond the limit of . The phase unwrapping procedure is described in [28].
- FFT spectral analysis was applied to for respiration rate and heartbeat rate.
3. Experimental Setup
4. Experimental Results
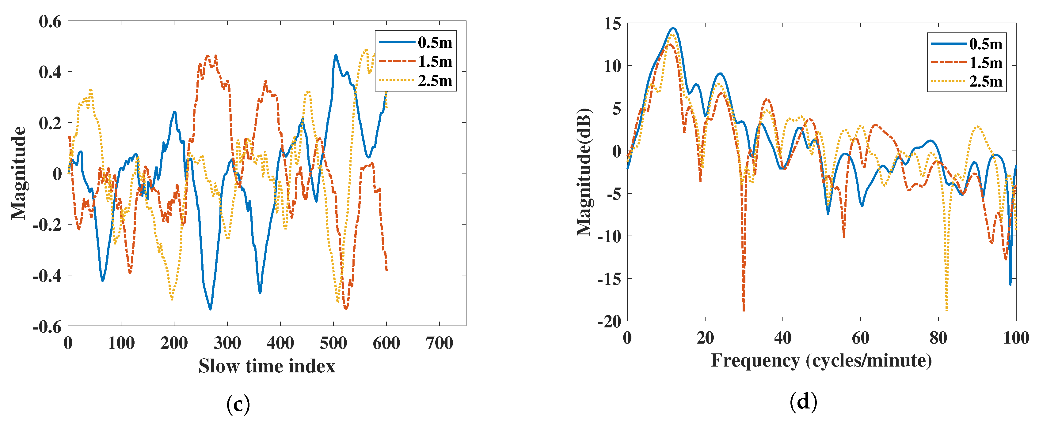
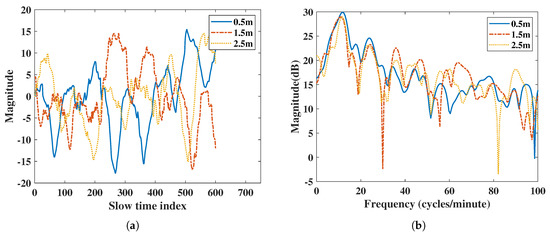
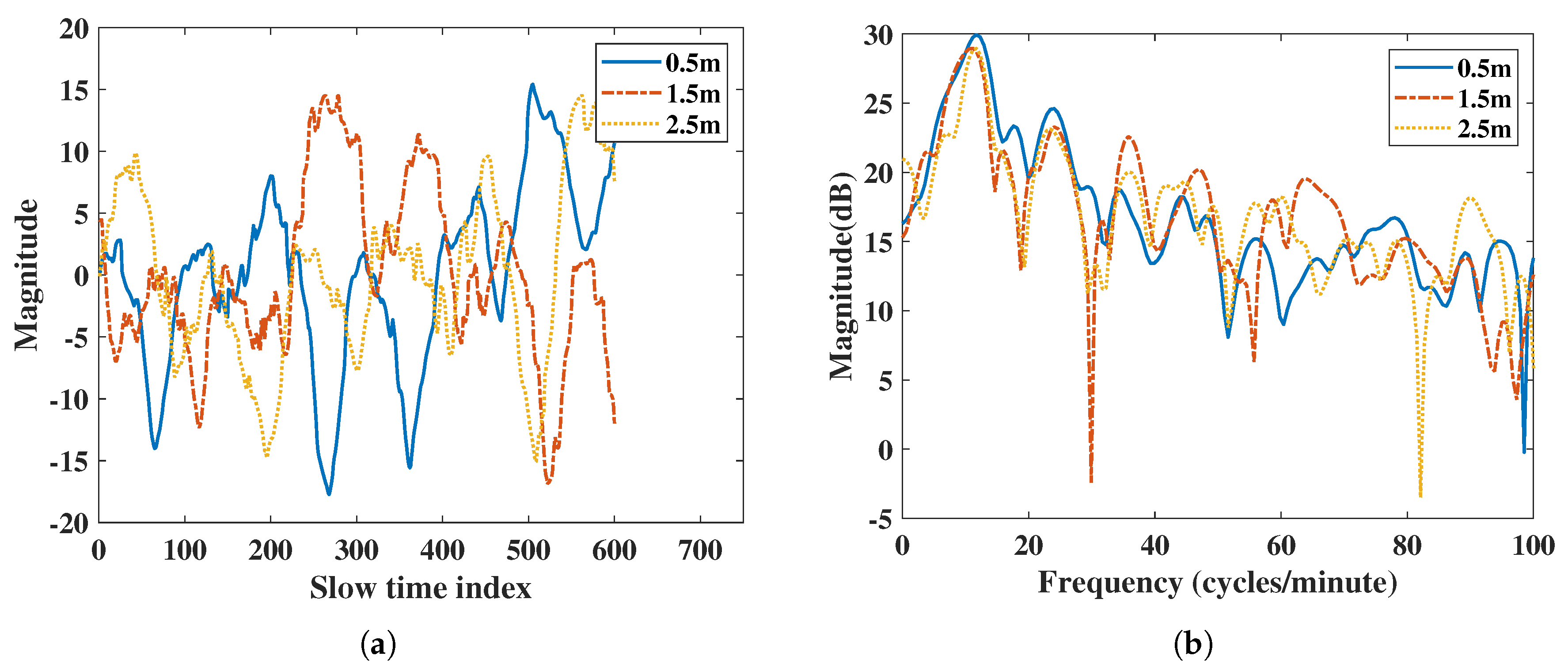
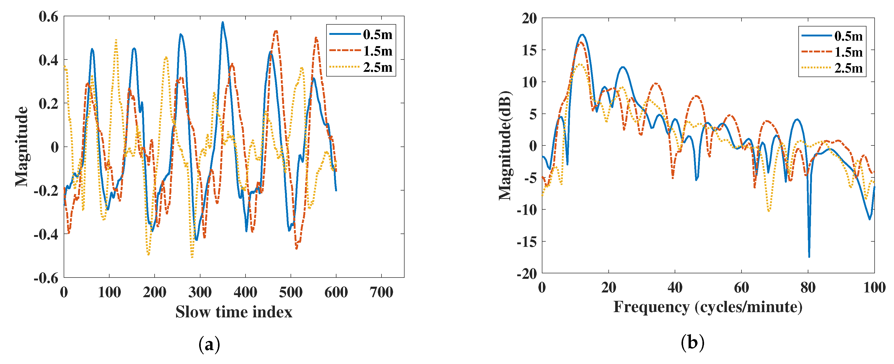
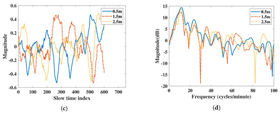
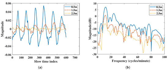
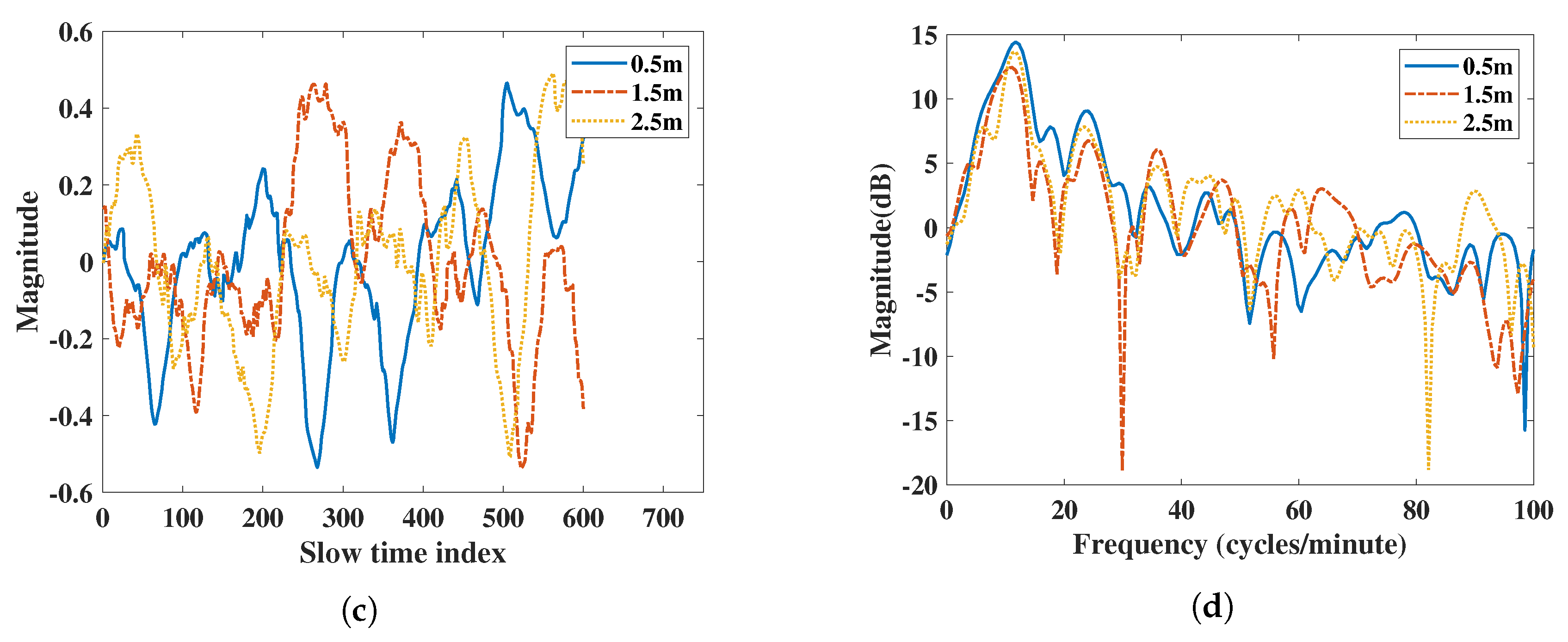
4.1. Distance-Based Comparison
4.2. Carotid Pulse Detection Comparison
4.3. Harmonic Comparison
4.4. Obstacle Penetration Comparison
4.5. Orientation-Based Comparison
4.6. Anti-Interference Comparison
4.7. Heavy Clutter Measurement Comparison
5. Discussion
6. Conclusions
Author Contributions
Funding
Conflicts of Interest
References
- Kumar, M.; Veeraraghavan, A.; Sabharwal, A. DistancePPG: Robust Non-Contact Vital Signs Monitoring Using a Camera. Biomed. Opt. Express 2015, 6, 1565–1588. [Google Scholar] [CrossRef] [PubMed]
- Verkruysse, W.; Svaasand, L.O.; Nelson, J.S. Remote Plethysmographic Imaging Using Ambient Light. Opt. Express 2008, 16, 21434–21445. [Google Scholar] [PubMed]
- Khan, F.; Ghaffar, A.; Khan, N.; Cho, S.H. An Overview of Signal Processing Techniques for Remote Health Monitoring Using Impulse Radio UWB Transceiver. Sensors 2020, 20, 2479. [Google Scholar] [CrossRef]
- Leem, S.K.; Khan, F.; Cho, S.H. Vital Sign Monitoring and Mobile Phone Usage Detection Using IR-UWB Radar for Intended Use in Car Crash Prevention. Sensors 2017, 17, 1240. [Google Scholar] [CrossRef]
- Kim, J.D.; Lee, W.H.; Lee, Y.; Lee, H.J.; Cha, T.; Kim, S.H.; Song, K.M.; Lim, Y.H.; Cho, S.H.; Cho, S.H.; et al. Non-Contact Respiration Monitoring Using Impulse Radio Ultrawideband Radar in Neonates. R. Soc. Open Sci. 2019, 6, 190149. [Google Scholar] [CrossRef]
- Lee, H.; Kim, B.H.; Park, J.K.; Yook, J.G. A Novel Vital-Sign Sensing Algorithm for Multiple Subjects Based on 24-GHz FMCW Doppler Radar. Remote Sens. 2019, 11, 1237. [Google Scholar] [CrossRef]
- He, M.; Nian, Y.; Gong, Y. Novel Signal Processing Method for Vital Sign Monitoring Using FMCW Radar. Biomed. Signal Process. Control 2017, 33, 335–345. [Google Scholar] [CrossRef]
- Schleicher, B.; Nasr, I.; Trasser, A.; Schumacher, H. IR-UWB Radar Demonstrator for Ultra-Fine Movement Detection and Vital-Sign Monitoring. IEEE Trans. Microw. Theory Tech. 2013, 61, 2076–2085. [Google Scholar] [CrossRef]
- Liang, X.; Deng, J.; Zhang, H.; Gulliver, T.A. Ultra-Wideband Impulse Radar Through-Wall Detection of Vital Signs. Sci. Rep. 2018, 8, 13367. [Google Scholar] [CrossRef]
- Liang, X.; Lv, T.; Zhang, H.; Gao, Y.; Fang, G. Through-Wall Human Being Detection Using UWB Impulse Radar. EURASIP J. Wirel. Commun. Netw. 2018, 2018, 46. [Google Scholar] [CrossRef]
- Alizadeh, M.; Abedi, H.; Shaker, G. Low-Cost Low-Power in-Vehicle Occupant Detection with Mm-Wave FMCW Radar. In Proceedings of the 2019 IEEE SENSORS, Montreal, QC, Canada, 27–30 October 2019; pp. 1–4. [Google Scholar] [CrossRef]
- Lin, J.J.; Li, Y.P.; Hsu, W.C.; Lee, T.S. Design of an FMCW Radar Baseband Signal Processing System for Automotive Application. SpringerPlus 2016, 5, 42. [Google Scholar] [CrossRef] [PubMed]
- Uysal, F. Phase-Coded FMCW Automotive Radar: System Design and Interference Mitigation. IEEE Trans. Veh. Technol. 2020, 69, 270–281. [Google Scholar] [CrossRef]
- Vovnoboy, J.; Levinger, R.; Mazor, N.; Elad, D. A Dual-Loop Synthesizer With Fast Frequency Modulation Ability for 77/79 GHz FMCW Automotive Radar Applications. IEEE J. Solid State Circuits 2018, 53, 1328–1337. [Google Scholar] [CrossRef]
- Yang, X.; Yin, W.; Li, L.; Zhang, L. Dense People Counting Using IR-UWB Radar With a Hybrid Feature Extraction Method. IEEE Geosci. Remote Sens. Lett. 2019, 16, 30–34. [Google Scholar] [CrossRef]
- Liang, X.; Zhang, H.; Ye, S.; Fang, G.; Aaron Gulliver, T. Improved Denoising Method for Through-Wall Vital Sign Detection Using UWB Impulse Radar. Digit. Signal Process. 2018, 74, 72–93. [Google Scholar] [CrossRef]
- Rana, S.P.; Dey, M.; Ghavami, M.; Dudley, S. Signature Inspired Home Environments Monitoring System Using IR-UWB Technology. Sensors 2019, 19, 385. [Google Scholar] [CrossRef]
- Lazaro, A.; Girbau, D.; Villarino, R. Analysis of Vital Signs Monitoring Using an Ir-uwb Radar. Prog. Electromagn. Res. 2010, 100, 265–284. [Google Scholar] [CrossRef]
- Wang, P.; Zhang, Y.; Ma, Y.; Liang, F.; An, Q.; Xue, H.; Yu, X.; Lv, H.; Wang, J. Method for Distinguishing Humans and Animals in Vital Signs Monitoring Using IR-UWB Radar. Int. J. Environ. Res. Public Health 2019, 16, 4462. [Google Scholar] [CrossRef]
- Lazaro, A.; Girbau, D.; Villarino, R. Techniques for Clutter Suppression in the Presence of Body Movements during the Detection of Respiratory Activity through UWB Radars. Sensors 2014, 14, 2595–2618. [Google Scholar] [CrossRef]
- Sacco, G.; Piuzzi, E.; Pittella, E.; Pisa, S. An FMCW Radar for Localization and Vital Signs Measurement for Different Chest Orientations. Sensors 2020, 20, 3489. [Google Scholar] [CrossRef]
- Ahmad, A.; Roh, J.C.; Wang, D.; Dubey, A. Vital Signs Monitoring of Multiple People Using a FMCW Millimeter-Wave Sensor. In Proceedings of the 2018 IEEE Radar Conference (RadarConf18), Oklahoma City, OK, USA, 23–27 April 2018; pp. 1450–1455. [Google Scholar] [CrossRef]
- Lees, M. Digital Beamforming Calibration for FMCW Radar. IEEE Trans. Aerosp. Electron. Syst. 1989, 25, 281–284. [Google Scholar] [CrossRef]
- Fuchs, J.; Ward, K.; Tulin, M.; York, R. Simple Techniques to Correct for VCO Nonlinearities in Short Range FMCW Radars. In Proceedings of the 1996 IEEE MTT-S International Microwave Symposium Digest, San Francisco, CA, USA, 17–21 June 1996; Volume 2, pp. 1175–1178. [Google Scholar] [CrossRef]
- Orth, A.; Kwiatkowski, P.; Pohl, N. A Novel Approach for a MIMO FMCW Radar System with Frequency Steered Antennas for 3D Target Localization. In Proceedings of the 2019 16th European Radar Conference (EuRAD), Paris, France, 2–4 October 2019; pp. 37–40. [Google Scholar]
- Ren, L.; Kong, L.; Foroughian, F.; Wang, H.; Theilmann, P.; Fathy, A.E. Comparison Study of Noncontact Vital Signs Detection Using a Doppler Stepped-Frequency Continuous-Wave Radar and Camera-Based Imaging Photoplethysmography. IEEE Trans. Microw. Theory Tech. 2017, 65, 3519–3529. [Google Scholar] [CrossRef]
- Richards, M.A.; Scheer, J.A.; Holm, W.A. (Eds.) Principles of Modern Radar. Vol.1: Basic Principles, 1st ed.; SciTech Publ.: Raleigh, NC, USA, 2015. [Google Scholar]
- Alizadeh, M.; Shaker, G.; Almeida, J.C.M.D.; Morita, P.P.; Safavi-Naeini, S. Remote Monitoring of Human Vital Signs Using Mm-Wave FMCW Radar. IEEE Access 2019, 7, 54958–54968. [Google Scholar] [CrossRef]
- Mérelle, V.; Gaugue, A.; Louis, G.; Ménard, M. UWB Pulse Radar for Micro-Motion Detection. In Proceedings of the 2016 8th International Conference on Ultrawideband and Ultrashort Impulse Signals (UWBUSIS), Odessa, Ukraine, 5–11 September 2016; pp. 152–155. [Google Scholar] [CrossRef]
- Shi, K.; Schellenberger, S.; Steigleder, T.; Michler, F.; Lurz, F.; Weigel, R.; Koelpin, A. Contactless Carotid Pulse Measurement Using Continuous Wave Radar. In Proceedings of the 2018 Asia-Pacific Microwave Conference (APMC), Kyoto, Japan, 6–9 November 2018; pp. 569–571. [Google Scholar] [CrossRef]
- Park, J.Y.; Lee, Y.; Choi, Y.W.; Heo, R.; Park, H.K.; Cho, S.H.; Cho, S.H.; Lim, Y.H. Preclinical Evaluation of a Noncontact Simultaneous Monitoring Method for Respiration and Carotid Pulsation Using Impulse-Radio Ultra-Wideband Radar. Sci. Rep. 2019, 9, 11892. [Google Scholar] [CrossRef] [PubMed]
- Ritchie, M.; Ash, M.; Chen, Q.; Chetty, K. Through Wall Radar Classification of Human Micro-Doppler Using Singular Value Decomposition Analysis. Sensors 2016, 16, 1401. [Google Scholar] [CrossRef]
- Gunasekara, A.K.I.U.W. Contactless Estimation of Breathing Rate Using UWB Radar. Ph.D. Thesis, Université d’Ottawa/University of Ottawa, Ottawa, ON, Canada, 2017. [Google Scholar] [CrossRef]
- Gu, C. Short-Range Noncontact Sensors for Healthcare and Other Emerging Applications: A Review. Sensors 2016, 16, 1169. [Google Scholar] [CrossRef]
- Li, C.; Peng, Z.; Huang, T.Y.; Fan, T.; Wang, F.K.; Horng, T.S.; Muñoz-Ferreras, J.M.; Gómez-García, R.; Ran, L.; Lin, J. A Review on Recent Progress of Portable Short-Range Noncontact Microwave Radar Systems. IEEE Trans. Microw. Theory Tech. 2017, 65, 1692–1706. [Google Scholar] [CrossRef]
- Pisa, S.; Pittella, E.; Piuzzi, E. A Survey of Radar Systems for Medical Applications. IEEE Aerosp. Electron. Syst. Mag. 2016, 31, 64–81. [Google Scholar] [CrossRef]
- De Groote, A.; Wantier, M.; Cheron, G.; Estenne, M.; Paiva, M. Chest Wall Motion during Tidal Breathing. J. Appl. Physiol. 1997, 83, 1531–1537. [Google Scholar] [CrossRef]
- Petrović, V.L.; Janković, M.M.; Lupšić, A.V.; Mihajlović, V.R.; Popović-Božović, J.S. High-Accuracy Real-Time Monitoring of Heart Rate Variability Using 24 GHz Continuous-Wave Doppler Radar. IEEE Access 2019, 7, 74721–74733. [Google Scholar] [CrossRef]
- Goppelt, M.; Blöcher, H.L.; Menzel, W. Analytical Investigation of Mutual Interference between Automotive FMCW Radar Sensors. In Proceedings of the 2011 German Microwave Conference, Darmstadt, Germany, 14–16 March 2011; pp. 1–4. [Google Scholar]
- Aydogdu, C.; Garcia, N.; Hammarstrand, L.; Wymeersch, H. Radar Communications for Combating Mutual Interference of FMCW Radars. In Proceedings of the 2019 IEEE Radar Conference (RadarConf), Boston, MA, USA, 22–26 April 2019; pp. 1–6. [Google Scholar] [CrossRef]
- Nathanson, F.E.; O’Reilly, P.J.; Cohen, M.N. Radar Design Principles: Signal Processing and the Environment; Scitech Publ.: Raleigh, NC, USA, 2004. [Google Scholar]


















| IR-UWB System Parameters | Value |
|---|---|
| IR-UWB chipset | Novelda X4 |
| Center frequency | 8.7 GHz |
| Bandwidth (−10 dB) | 1.5 GHz |
| ADC sampling rate | 23.328 GHz |
| Peak pulse output power | 6.3 dBm |
| Pulse repetition frequency | 40.5 MHz |
| Slow-time sampling frequency | 20 FPS |
| FMCW System Parameters | Value |
|---|---|
| FMCW chipset | TI IWR6843ISK |
| Starting frequency | 60 GHz |
| Sweep bandwidth | 1.5 GHz |
| ADC sampling rate | 5.5 MHz |
| Transmitter output power | 12 dBm |
| Chirp slope | 32.251 MHz/us |
| Slow-time sampling frequency | 20 FPS |
| Indoor Open Space | Heavy Clutter | Double Brick | ||||||||
|---|---|---|---|---|---|---|---|---|---|---|
| Mean () | Std () | (dB) | Mean () | Std () | (dB) | Mean () | Std () | (dB) | ||
| IR-UWB | Noise | 0.0031 | 0.0017 | 21.0 | 0.0061 | 0.0029 | 18.48 | 0.0029 | 0.0018 | 21.50 |
| Target | 0.39 | 0.19 | 0.43 | 0.20 | 0.41 | 0.18 | ||||
| FMCW | Noise | 0.0046 | 0.0024 | 18.0 | 0.0062 | 0.0036 | 17.26 | 0.067 | 0.034 | 10.56 |
| Target | 0.29 | 0.17 | 0.33 | 0.16 | 0.33 | 0.20 | ||||
| 0.5 m | 1.5 m | 2.5 m | ||||||||
|---|---|---|---|---|---|---|---|---|---|---|
| Value | Ratio (%) | SNR (dB) | Value | Ratio (%) | SNR (dB) | Value | Ratio (%) | SNR (dB) | ||
| RR | IR-UWB | 11.73 | 97.6 | 7.34 | 11.73 | 100.1 | 5.44 | 11.14 | 97.5 | 4.4 |
| FMCW | 12.32 | 102.5 | 6.8 | 11.14 | 95.1 | 6.75 | 11.73 | 102.6 | 6.1 | |
| Belt | 12.02 | 11.72 | 11.43 | |||||||
| HR | IR-UWB | 76.83 | 101.1 | −3.37 | 77.42 | 99.5 | −5.15 | 77.42 | 101.7 | −5.59 |
| FMCW | 76.83 | 101.1 | −5.47 | 79.77 | 102.5 | −6.1 | 77.42 | 101.7 | −6.88 | |
| ECG | 76.0 | 77.83 | 76.0 | |||||||
| HR | Ratio (%) | SNR (dB) | |
|---|---|---|---|
| IR-UWB | 70.38 | 99.8 | −2.80 |
| FMCW | 69.79 | 99.0 | −1.63 |
| ECG | 70.5 |
| RR | Ratio (%) | SNR (dB) | |
|---|---|---|---|
| IR-UWB | 14.66 | 98.1 | 11.01 |
| FMCW-RX1 | 14.66 | 98.1 | 7.43 |
| FMCW-SIMO (sum) | 14.66 | 98.1 | 7.70 |
| FMCW-SIMO (SNR) | 14.66 | 98.1 | 7.91 |
| Belt | 14.95 |
| HR | Ratio (%) | SNR (dB) | |
|---|---|---|---|
| IR-UWB | 71.55 | 98.9 | −3.74 |
| FMCW-RX1 | 70.38 | 97.9 | −5.18 |
| FMCW-SIMO (sum) | 70.79 | 98.1 | −3.80 |
| FMCW-SIMO (SNR) | 71.55 | 98.9 | −3.30 |
| ECG | 72.34 |
| Single Gypsum Board | Double Gypsum Board | Triple Gypsum Board | ||||||||
|---|---|---|---|---|---|---|---|---|---|---|
| Value | Ratio (%) | SNR (dB) | Value | Ratio (%) | SNR (dB) | Value | Ratio (%) | SNR (dB) | ||
| RR | IR-UWB | 13.49 | 100.1 | 8.17 | 12.32 | 100.1 | 10.5 | 12.32 | 107.8 | 7.48 |
| FMCW | 13.49 | 100.1 | 8.12 | 12.9 | 104.8 | 5.32 | 12.32 | 107.8 | 8.37 | |
| Belt | 13.48 | 12.31 | 11.43 | |||||||
| HR | IR-UWB | 75.66 | 99.6 | −0.78 | 76.83 | 99.9 | −5.45 | 77.42 | 97.2 | −3.96 |
| FMCW | 76.25 | 100.3 | −3.47 | 81.52 | 106.0 | −5.91 | 78.59 | 98.6 | −4.05 | |
| ECG | 76.0 | 76.91 | 79.66 | |||||||
| Single Brick | Double Brick | Triple Brick | ||||||||
|---|---|---|---|---|---|---|---|---|---|---|
| Value | Ratio (%) | SNR (dB) | Value | Ratio (%) | SNR (dB) | Value | Ratio (%) | SNR (dB) | ||
| RR | IR-UWB | 11.14 | 97.5 | 7.40 | 12.32 | 100.1 | 9.06 | 12.32 | 100.1 | 3.57 |
| FMCW | 11.14 | 97.5 | 4.83 | 11.73 | 95.3 | 7.46 | 11.73 | 95.3 | 2.44 | |
| Belt | 11.43 | 12.31 | 12.31 | |||||||
| HR | IR-UWB | 73.9 | 97.2 | −3.85 | 72.14 | 98.5 | −5.42 | 70.97 | 93.4 | −5.78 |
| FMCW | 74.49 | 98.0 | −3.70 | 69.79 | 95.3 | −5.18 | 70.38 | 92.6 | −7.26 | |
| ECG | 76.0 | 73.25 | 76.0 | |||||||
| RMSE | Front | Left (90) | Right (90) | Back | |
|---|---|---|---|---|---|
| RR | IR-UWB | 1.0 | 1.3 | 1.2 | 3.3 |
| FMCW | 1.1 | 1.5 | 1.7 | 3.1 | |
| HR | IR-UWB | 3.9 | 3.8 | 4.2 | 3.9 |
| FMCW | 3.8 | 4.0 | 4.4 | 4.17 | |
| FMCW | Without Interference | With Interference | ||||
|---|---|---|---|---|---|---|
| Value | Ratio (%) | SNR (dB) | Value | Ratio (%) | SNR (dB) | |
| RR | 12.32 | 97.8 | 8.21 | 12.32 | 97.8 | 6.27 |
| Belt | 12.6 | 12.6 | ||||
| HR | 79.77 | 100.1 | −5.07 | 90.91 | 104.5 | −4.87 |
| ECG | 79.66 | 86.99 | ||||
| IR-UWB | Without Interference | With Interference | ||||
|---|---|---|---|---|---|---|
| Value | Ratio (%) | SNR (dB) | Value | Ratio (%) | SNR (dB) | |
| RR | 12.9 | 100 | 7.02 | 12.32 | 100.1 | 7.08 |
| Belt | 12.9 | 12.31 | ||||
| HR | 92.08 | 101.2 | −4.65 | 92.08 | 101.6 | −5.92 |
| ECG | 91 | 90.65 | ||||
| Value | Ratio (%) | SNR (dB) | ||
|---|---|---|---|---|
| RR | IR-UWB | 12.9 | 100 | 9.50 |
| FMCW | 12.9 | 100 | 6.74 | |
| Belt | 12.9 | |||
| HR | IR-UWB | 83.28 | 98.9 | −4.71 |
| FMCW | 83.28 | 98.9 | −6.21 | |
| ECG | 84.24 |
Publisher’s Note: MDPI stays neutral with regard to jurisdictional claims in published maps and institutional affiliations. |
© 2020 by the authors. Licensee MDPI, Basel, Switzerland. This article is an open access article distributed under the terms and conditions of the Creative Commons Attribution (CC BY) license (http://creativecommons.org/licenses/by/4.0/).
Share and Cite
Wang, D.; Yoo, S.; Cho, S.H. Experimental Comparison of IR-UWB Radar and FMCW Radar for Vital Signs. Sensors 2020, 20, 6695. https://doi.org/10.3390/s20226695
Wang D, Yoo S, Cho SH. Experimental Comparison of IR-UWB Radar and FMCW Radar for Vital Signs. Sensors. 2020; 20(22):6695. https://doi.org/10.3390/s20226695
Chicago/Turabian StyleWang, Dingyang, Sungwon Yoo, and Sung Ho Cho. 2020. "Experimental Comparison of IR-UWB Radar and FMCW Radar for Vital Signs" Sensors 20, no. 22: 6695. https://doi.org/10.3390/s20226695
APA StyleWang, D., Yoo, S., & Cho, S. H. (2020). Experimental Comparison of IR-UWB Radar and FMCW Radar for Vital Signs. Sensors, 20(22), 6695. https://doi.org/10.3390/s20226695

