Developing a CNT-SPE Sensing Platform Based on Green Synthesized AuNPs, Using Sargassum sp.
Abstract
1. Introduction
2. Materials and Methods
2.1. Algae
2.2. Chemicals
2.3. Preparation of the Sargassum sp. Extract
2.4. Green Synthesis of Gold Nanoparticles (AuNPs)
2.5. Characterization of AuNPs
2.6. Electrochemical Measurements
3. Results and Discussion
3.1. Characterization of Gold Nanoparticles
3.2. Working Electrode Activation Analysis
3.3. Glucose Sensor Platform Based on AuNPs + CNT-SPE Assembling
3.4. Glucose Detection Analysis
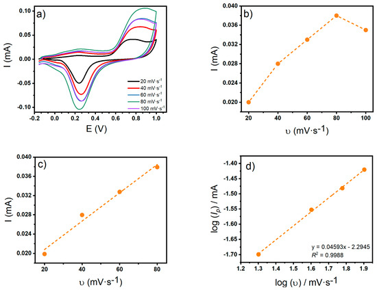
3.5. Effect of Scan Rate on Glucose Detection Analysis
3.6. Stability, Repeatability, Reproducibility, and Application of the Platform
4. Conclusions
- It is the first report of green synthesized AuNPs to be used in combination with screen-printed electrodes for analyte sensing, in this case, glucose.
- The green synthesis of AuNPs using the phenolic compounds and polysaccharides obtained from Sargassum sp. extract was successful since from UV-Vis surface plasmon from gold is observed and from XRD, gold is the only crystalline phase present, with a crystallite size 13.80 nm. The nanoparticles obtained have an average size of 80–100 nm and an excellent stability in a wide range of pH (from 5 to 12).
- The carbon nanotube-screen printed electrode activated and modified with AuNPs electrochemical sensor obtained (CNT-SPE/A/AuNPs), is an efficient device able to detect small concentrations of glucose (50 μM). This is lower than the response obtained by electrochemical sensors modified without any enzyme employment [45,46], making it a competitive option.
- This sensor is a sensitive, reliable, low-cost platform to measure glucose, since it uses small sample volumes, offering mid-term stability, repeatability, and reproducibility. In both cases low LOD and LOQ were detected.
- The inherent miniaturization of the electrochemical system is easier because of the synthesis method of AuNPs used (green synthesis from Sargassum sp.) This creates a synergic effect that gives an analytical method for the detection of glucose in an ecofriendly way. At the same time, it increases sensitivity and specificity due to the presence of gold nanoparticles, which were easily anchored by placing 20 μL on the surface of the working electrode in the screen-printed electrodes.
- For a better understanding of the process involved in the electrochemical performance of the developed sensor, selectivity, interference with other food additives and contaminants, simultaneous detection of hydrogen peroxide, and LOD are areas for further study.
Author Contributions
Funding
Acknowledgments
Conflicts of Interest
References
- Laurent, S.; Forge, D.; Port, M.; Roch, A.; Robic, C.; Vander Elst, L.; Muller, R.N. Magnetic Iron Oxide Nanoparticles: Synthesis, Stabilization, Vectorization, Physicochemical Characterizations, and Biological Applications. Chem. Rev. 2008, 108, 2064–2110. [Google Scholar] [CrossRef] [PubMed]
- Dreaden, E.C.; Alkilany, A.M.; Huang, X.; Murphy, C.J.; El-Sayed, M.A. The golden age: Gold nanoparticles for biomedicine. Chem. Soc. Rev. 2012, 41, 2740–2779. [Google Scholar] [CrossRef] [PubMed]
- Elahi, N.; Kamali, M.; Baghersad, M.H. Recent biomedical applications of gold nanoparticles: A review. Talanta 2018, 184, 537–556. [Google Scholar] [CrossRef] [PubMed]
- Sharma, D.; Lee, J.; Seo, J.; Shin, H.J.S. Development of a sensitive electrochemical enzymatic reaction-based cholesterol biosensor using nano-sized carbon interdigitated electrodes decorated with gold nanoparticles. Sensors 2017, 17, 2128. [Google Scholar] [CrossRef] [PubMed]
- Bottari, D.; Pigani, L.; Zanardi, C.; Terzi, F.; Paţurcă, S.V.; Grigorescu, S.D.; Matei, C.; Lete, C.; Lupu, S.J.C. Electrochemical Sensing of Caffeic Acid Using Gold Nanoparticles Embedded in Poly (3, 4-ethylenedioxythiophene) Layer by Sinusoidal Voltage Procedure. Chemosensors 2019, 7, 65. [Google Scholar] [CrossRef]
- Cho, I.-H.; Kim, D.H.; Park, S. Electrochemical biosensors: Perspective on functional nanomaterials for on-site analysis. Biomater. Res. 2020, 24, 6. [Google Scholar] [CrossRef] [PubMed]
- Ripp, S.; Henry, T.B. Biotechnology and Nanotechnology Risk Assessment: Minding and Managing the Potential Threats around Us; ACS Publications: Washington, DC, USA, 2011. [Google Scholar]
- Zhuang, J.; Gentry, R.W. Environmental Application and Risks of Nanotechnology: A Balanced View. In Biotechnology and Nanotechnology Risk Assessment: Minding and Managing the Potential Threats around Us; American Chemical Society: Washington, DC, USA, 2011; Volume 1079, pp. 41–67. [Google Scholar]
- Golobič, M.; Jemec, A.; Drobne, D.; Romih, T.; Kasemets, K.; Kahru, A. Upon Exposure to Cu Nanoparticles, Accumulation of Copper in the Isopod Porcellio scaber Is Due to the Dissolved Cu Ions Inside the Digestive Tract. Environ. Sci. Technol. 2012, 46, 12112–12119. [Google Scholar] [CrossRef]
- Jain, A.; Anitha, R.; Rajeshkumar, S.J.R.J. Technology, Anti inflammatory activity of Silver nanoparticles synthesised using Cumin oil. Res. J. Pharm. Technol. 2019, 12, 2790–2793. [Google Scholar] [CrossRef]
- Santhosh, S.; Chandrasekar, M.; Kaviarasan, L.; Deepak, P.; Silambarasan, T.; Gayathri, B.; Natarajan, D.J.R.J. Technology, Chemical Composition, Antibacterial, Anti-oxidant and Cytotoxic properties of Green Synthesized Silver Nanoparticles from Annona muricata L. (Annonaceae). Res. J. Pharm. Technol. 2020, 13, 33–39. [Google Scholar] [CrossRef]
- Sarli, S.; Ghasemi, N. Optimization of biosynthesized Zn nanoparticles by poisonous Taxus baccata leaves extract and evaluation of their effect on the bacterias and MCF-7 cancer cells. J. Eurasian Chem. Commun. 2020, 2, 302–318. [Google Scholar]
- Zhang, R.; Zhang, X.; Tang, Y.; Mao, J. Composition, isolation, purification and biological activities of Sargassum fusiforme polysaccharides: A review. Carbohydr. Polym. 2020, 228, 115381. [Google Scholar] [CrossRef] [PubMed]
- van Tussenbroek, B.I.; Hernández Arana, H.A.; Rodríguez-Martínez, R.E.; Espinoza-Avalos, J.; Canizales-Flores, H.M.; González-Godoy, C.E.; Barba-Santos, M.G.; Vega-Zepeda, A.; Collado-Vides, L. Severe impacts of brown tides caused by Sargassum spp. on near-shore Caribbean seagrass communities. Mar. Pollut. Bull. 2017, 122, 272–281. [Google Scholar] [CrossRef] [PubMed]
- Molina, G.A.; González-Fuentes, F.; Loske, A.M.; Fernández, F.; Estevez, M. Shock wave-assisted extraction of phenolic acids and flavonoids from Eysenhardtia polystachya heartwood: A novel method and its comparison with conventional methodologies. Ultrason. Sonchem. 2020, 61, 104809. [Google Scholar] [CrossRef] [PubMed]
- Hanjabam, M.D.; Kumar, A.; Tejpal, C.S.; Krishnamoorthy, E.; Kishore, P.; Ashok Kumar, K. Isolation of crude fucoidan from Sargassum wightii using conventional and ultra-sonication extraction methods. Bioact. Carbohydr. Diet. Fibre 2019, 20, 100200. [Google Scholar] [CrossRef]
- Molina, G.A.; Esparza, R.; López-Miranda, J.L.; Hernández-Martínez, A.R.; España-Sánchez, B.L.; Elizalde-Peña, E.A.; Estevez, M. Green synthesis of Ag nanoflowers using Kalanchoe Daigremontiana extract for enhanced photocatalytic and antibacterial activities. Colloids Surf. B Biointerfaces 2019, 180, 141–149. [Google Scholar] [CrossRef]
- López-Miranda, J.L.; Cervantes-Chávez, J.A.; Hernández-Martínez, A.R.; Pérez, R.; Esparza, R.; Estévez-González, M. Study on the photocatalytic and antibacterial properties of silver nanoparticles synthesized by a green approach. Mater. Res. Express 2019, 6, 65066. [Google Scholar] [CrossRef]
- Vergara-Castañeda, H.; Granados-Segura, L.O.; Luna-Bárcenas, G.; McClements, D.J.; Herrera-Hernández, M.G.; Arjona, N.; Hernández-Martínez, A.R.; Estevez, M.; Pool, H. Gold nanoparticles bioreduced by natural extracts of arantho (Kalanchoe daigremontiana) for biological purposes: Physicochemical, antioxidant and antiproliferative evaluations. Mater. Res. Express 2019, 6, 55010. [Google Scholar] [CrossRef]
- Ruíz-Baltazar, Á.d.J.; Reyes-López, S.Y.; Mondragón-Sánchez, M.d.L.; Estevez, M.; Hernández-Martinez, A.R.; Pérez, R. Biosynthesis of Ag nanoparticles using Cynara cardunculus leaf extract: Evaluation of their antibacterial and electrochemical activity. Results Phys. 2018, 11, 1142–1149. [Google Scholar] [CrossRef]
- Santhoshkumar, J.; Rajeshkumar, S.; Venkat Kumar, S. Phyto-assisted synthesis, characterization and applications of gold nanoparticles—A review. Biochem. Biophys. Rep. 2017, 11, 46–57. [Google Scholar] [CrossRef]
- Manivasagan, P.; Venkatesan, J.; Sivakumar, K.; Kim, S.K. Actinobacteria mediated synthesis of nanoparticles and their biological properties: A review. Crit. Rev. Microbiol. 2016, 42, 209–221. [Google Scholar] [CrossRef]
- Seo, D.; Yoo, C.I.; Chung, I.S.; Park, S.M.; Ryu, S.; Song, H. Shape Adjustment between Multiply Twinned and Single-Crystalline Polyhedral Gold Nanocrystals: Decahedra, Icosahedra, and Truncated Tetrahedra. J. Phys. Chem. C 2008, 112, 2469–2475. [Google Scholar] [CrossRef]
- Yang, S.; Li, G.; Wang, D.; Qiao, Z.; Qu, L. Synthesis of nanoneedle-like copper oxide on N-doped reduced graphene oxide: A three-dimensional hybrid for nonenzymatic glucose sensor. Sens. Actuators B Chem. 2017, 238, 588–595. [Google Scholar] [CrossRef]
- Wang, J. Electrochemical glucose biosensors. Chem. Rev. 2008, 108, 814–825. [Google Scholar] [CrossRef] [PubMed]
- World Health Organization. Global Health Estimates: Deaths by Cause, Aage, Sex and Country; World Health Organization: Geneva, Switzerland, 2014. [Google Scholar]
- Chen, L.; Tse, W.H.; Chen, Y.; McDonald, M.W.; Melling, J.; Zhang, J. Nanostructured biosensor for detecting glucose in tear by applying fluorescence resonance energy transfer quenching mechanism. Biosens. Bioelectron. 2017, 91, 393–399. [Google Scholar] [CrossRef]
- Li, J.; Kuang, D.; Feng, Y.; Zhang, F.; Liu, M. Glucose biosensor based on glucose oxidase immobilized on a nanofilm composed of mesoporous hydroxyapatite, titanium dioxide, and modified with multi-walled carbon nanotubes. Microchim. Acta 2012, 176, 73–80. [Google Scholar] [CrossRef]
- Xing, Z.; Tian, J.; Asiri, A.M.; Qusti, A.H.; Al-Youbi, A.O.; Sun, X. Two-dimensional hybrid mesoporous Fe2O3–graphene nanostructures: A highly active and reusable peroxidase mimetic toward rapid, highly sensitive optical detection of glucose. Biosens. Bioelectron. 2014, 52, 452–457. [Google Scholar] [CrossRef]
- Yuan, H.; Ji, W.; Chu, S.; Qian, S.; Wang, F.; Masson, J.F.; Han, X.; Peng, W. Fiber-optic surface plasmon resonance glucose sensor enhanced with phenylboronic acid modified Au nanoparticles. Biosens. Bioelectron. 2018, 117, 637–643. [Google Scholar] [CrossRef]
- Lv, Y.; Zhang, Z.; Chen, F. Chemiluminescence microfluidic system sensor on a chip for determination of glucose in human serum with immobilized reagents. Talanta 2003, 59, 571–576. [Google Scholar] [CrossRef]
- Tran, D.N.; Balkus, K.J., Jr. Perspective of recent progress in immobilization of enzymes. ACS Catal. 2011, 1, 956–968. [Google Scholar] [CrossRef]
- Karthika, A.; Raja, V.R.; Karuppasamy, P.; Suganthi, A.; Rajarajan, M. Electrochemical behaviour and voltammetric determination of mercury (II) ion in cupric oxide/poly vinyl alcohol nanocomposite modified glassy carbon electrode. Microchem. J. 2019, 145, 737–744. [Google Scholar] [CrossRef]
- Krishnan, S.K.; Prokhorov, E.; Bahena, D.; Esparza, R.; Meyyappan, M. Chitosan-covered Pd@ Pt core–shell nanocubes for direct electron transfer in electrochemical enzymatic glucose biosensor. ACS Omega 2017, 2, 1896–1904. [Google Scholar] [CrossRef] [PubMed]
- Mustafa, F.; Andreescu, S.J.F. Chemical and biological sensors for food-quality monitoring and smart packaging. Foods 2018, 7, 168. [Google Scholar] [CrossRef]
- Raymundo-Pereira, P.A.; Gomes, N.O.; Machado, S.A.S.; Oliveira, O.N. Simultaneous, ultrasensitive detection of hydroquinone, paracetamol and estradiol for quality control of tap water with a simple electrochemical method. J. Electroanal. Chem. 2019, 848, 113319. [Google Scholar] [CrossRef]
- Chaisiwamongkhol, K.; Batchelor-McAuley, C.; Sokolov, S.V.; Holter, J.; Young, N.P.; Compton, R.G. Optimising carbon electrode materials for adsorptive stripping voltammetry. Appl. Mater. Today 2017, 7, 60–66. [Google Scholar] [CrossRef]
- Siboro, S.A.P.; Anugrah, D.S.B.; Ramesh, K.; Jeong, Y.T.; Gal, Y.S.; Lim, K.T. Fabrication of gold nanoparticles through a polymer-templating technique using thiol-functionalized block copolymer PEG-b-PSMT and its application for SERS enhancement. Mol. Cryst. Liq. Cryst. 2020, 704, 24–34. [Google Scholar] [CrossRef]
- Rakhi, M.; Gopal, B.B. Terminalia arjunabark extract mediated size controlled synthesis of polyshaped gold nanoparticles and its application in catalysis. Int. J. Res. Chem. Environ. 2012, 2, 338–344. [Google Scholar]
- Haiss, W.; Thanh, N.T.K.; Aveyard, J.; Fernig, D.G. Determination of Size and Concentration of Gold Nanoparticles from UV−Vis Spectra. Anal. Chem. 2007, 79, 4215–4221. [Google Scholar] [CrossRef]
- Singh, A.K.; Tiwari, R.; Singh, V.K.; Singh, P.; Khadim, S.R.; Singh, U.; Srivastava, V.; Hasan, S.; Asthana, R. Green synthesis of gold nanoparticles from Dunaliella salina, its characterization and in vitro anticancer activity on breast cancer cell line. J. Drug Deliv. Sci. Technol. 2019, 51, 164–176. [Google Scholar] [CrossRef]
- Satpathy, S.; Patra, A.; Ahirwar, B.; Hussain, M.D. Process optimization for green synthesis of gold nanoparticles mediated by extract of Hygrophila spinosa T. Anders and their biological applications. Phys. E Low Dimens. Syst. Nanostruct. 2019, 121, 113830. [Google Scholar] [CrossRef]
- Usman, A.I.; Aziz, A.A.; Noqta, O.A. Green sonochemical synthesis of gold nanoparticles using palm oil leaves extracts. Mater. Today Proc. 2019, 7, 803–807. [Google Scholar] [CrossRef]
- Desai, M.P.; Sangaokar, G.M.; Pawar, K.D. Kokum fruit mediated biogenic gold nanoparticles with photoluminescent, photocatalytic and antioxidant activities. Process. Biochem. 2018, 70, 188–197. [Google Scholar] [CrossRef]
- Choudhary, B.C.; Paul, D.; Gupta, T.; Tetgure, S.R.; Garole, V.J.; Borse, A.U.; Garole, D.J. Photocatalytic reduction of organic pollutant under visible light by green route synthesized gold nanoparticles. J. Environ. Sci. 2017, 55, 236–246. [Google Scholar] [CrossRef]
- Doebelin, N.; Kleeberg, R. Profex: A graphical user interface for the Rietveld refinement program BGMN. J. Appl. Cryst. 2015, 48, 1573–1580. [Google Scholar] [CrossRef] [PubMed]
- Dash, S.S.; Majumdar, R.; Sikder, A.K.; Bag, B.G.; Patra, B.K. Saraca indica bark extract mediated green synthesis of polyshaped gold nanoparticles and its application in catalytic reduction. Appl. Nanosci. 2014, 4, 485–490. [Google Scholar] [CrossRef]
- Khan, M.; Ahmad, F.; Koivisto, J.T.; Kellomäki, M. Green synthesis of controlled size gold and silver nanoparticles using antioxidant as capping and reducing agent. Colloid Interface Sci. Commun. 2020, 39, 100322. [Google Scholar] [CrossRef]
- Kumari, P.; Meena, A. Green synthesis of gold nanoparticles from Lawsoniainermis and its catalytic activities following the Langmuir-Hinshelwood mechanism. Colloids Surf. A Physicochem. Eng. Asp. 2020, 606, 125447. [Google Scholar] [CrossRef]
- De Souza, C.D.; Nogueira, B.R.; Rostelato, M.E.C. Review of the methodologies used in the synthesis gold nanoparticles by chemical reduction. J. Alloy. Compd. 2019, 798, 714–740. [Google Scholar] [CrossRef]
- Khan, T.; Ullah, N.; Khan, M.A.; Mashwani, Z.U.R.; Nadhman, A. Plant-based gold nanoparticles; a comprehensive review of the decade-long research on synthesis, mechanistic aspects and diverse applications. Adv. Colloid Interface Sci. 2019, 272, 102017. [Google Scholar] [CrossRef] [PubMed]
- Xie, S.; Choi, S.I.; Xia, X.; Xia, Y. Catalysis on faceted noble-metal nanocrystals: Both shape and size matter. Curr. Opin. Chem. Eng. 2013, 2, 142–150. [Google Scholar] [CrossRef]
- Xia, Y.; Xiong, Y.; Lim, B.; Skrabalak, S.E. Shape-Controlled Synthesis of Metal Nanocrystals: Simple Chemistry Meets Complex Physics? Angew. Chem. Int. Ed. 2009, 48, 60–103. [Google Scholar] [CrossRef]
- Brewer, S.H.; Glomm, W.R.; Johnson, M.C.; Knag, M.K.; Franzen, S.J.L. Probing BSA binding to citrate-coated gold nanoparticles and surfaces. Langmuir 2005, 21, 9303–9307. [Google Scholar] [CrossRef]
- Huang, C.-J.; Wang, L.C.; Liu, C.Y.; Chiang, A.S.; Chang, Y.C. Natural zwitterionic organosulfurs as surface ligands for antifouling and responsive properties. Biointerphases 2014, 9, 29010. [Google Scholar] [CrossRef]
- Gosser, D.K. Cyclic Voltammetry: Simulation and Analysis of Reaction Mechanisms; VCH: Vancouver, BC, Canada, 1993. [Google Scholar]
- Laviron, E. General expression of the linear potential sweep voltammogram in the case of diffusionless electrochemical systems. J. Electroanal. Chem. Interfacial Electrochem. 1979, 101, 19–28. [Google Scholar] [CrossRef]
- Bard, A.J.; Faulkner, L.R. Electrochemical Methods: Fundamentals and Applications, 2nd ed.; Wiley Textbooks: Hoboken, NJ, USA, 2000. [Google Scholar]
- Nayak, D.S.; Shetti, N.P. Voltammetric Response and Determination of an Anti-Inflammatory Drug at a Cationic Surfactant-Modified Glassy Carbon Electrode. J. Surfactants Deterg. 2016, 19, 1071–1079. [Google Scholar] [CrossRef]
- Thakur, N.S.; Mandal, N.; Banerjee, U.C. Esterase-Mediated Highly Fluorescent Gold Nanoclusters and Their Use in Ultrasensitive Detection of Mercury: Synthetic and Mechanistic Aspects. ACS Omega 2018, 3, 18553–18562. [Google Scholar] [CrossRef] [PubMed]
- Khosroshahi, Z.; Karimzadeh, F.; Kharaziha, M.; Allafchian, A. A non-enzymatic sensor based on three-dimensional graphene foam decorated with Cu-xCu2O nanoparticles for electrochemical detection of glucose and its application in human serum. Mater. Sci. Eng. C 2020, 108, 110216. [Google Scholar] [CrossRef]
- Scandurra, A.; Ruffino, F.; Sanzaro, S.; Grimaldi, M.G. Laser and thermal dewetting of gold layer onto graphene paper for non-enzymatic electrochemical detection of glucose and fructose. Sens. Actuators B Chem. 2019, 301, 127113. [Google Scholar] [CrossRef]
- Wang, J.; Gao, H.; Sun, F.; Xu, C. Nanoporous PtAu alloy as an electrochemical sensor for glucose and hydrogen peroxide. Sens. Actuators B Chem. 2014, 191, 612–618. [Google Scholar] [CrossRef]
- Raymundo-Pereira, P.A.; Shimizu, F.M.; Coelho, D.; Piazzeta, M.H.O.; Gobbi, A.L.; Machado, S.A.S.; Oliveira, O.N. A Nanostructured Bifunctional platform for Sensing of Glucose Biomarker in Artificial Saliva: Synergy in hybrid Pt/Au surfaces. Biosens. Bioelectron. 2016, 86, 369–376. [Google Scholar] [CrossRef]
- Gowthaman, N.S.K.; Abraham John, S.; Tominaga, M. Fast growth of Au-Pt bimetallic nanoparticles on SWCNTs: Composition dependent electrocatalytic activity towards glucose and hydrogen peroxide. J. Electroanal. Chem. 2017, 798, 24–33. [Google Scholar] [CrossRef]
- Zeng, X.; Zhang, Y.; Du, X.; Li, Y.; Tang, W. A highly sensitive glucose sensor based on a gold nanoparticles/polyaniline/multi-walled carbon nanotubes composite modified glassy carbon electrode. New J. Chem. 2018, 42, 11944–11953. [Google Scholar] [CrossRef]
- Cao, L.; Wang, P.; Chen, L.; Wu, Y.; Di, J. A photoelectrochemical glucose sensor based on gold nanoparticles as a mimic enzyme of glucose oxidase. RSC Adv. 2019, 9, 15307–15313. [Google Scholar] [CrossRef]

















| Working Electrode | Type of Cell | Advantage | Disadvantage | LOD |
|---|---|---|---|---|
| Cu-nanoflower decorated AuNPs-GO Nano Fibers [60] | Conventional 3-electrode cell. Ref 1: Ag/AgCl CE 2: Platinum | Promising electrochemical biosensor | Uses enzyme, electrospinning and requiring an organic solvent, which is harmful to health and environment | 0.018 μM |
| Three-dimensional graphene foam decorated with Cu-xCu2O nanoparticles [61] | Conventional 3-electrode cell: Ref 1: Calomel CE 2: Platinum foil | Inexpensive, feasible, and non-enzymatic | Mercury content in the reference electrode which makes it toxic | 16 μM |
| Gold layer onto graphene paper [62] | Conventional 3-electrode cell: Ref 1: Calomel CE 2: Platinum foil | High performance, stability, non-enzymatic | Require additional methods to modification such as furnace or laser Mercury content in the reference electrode which makes it toxic | Down to 2.5 μM |
| Nanoporous Pt-Au alloy [63] | Conventional 3-electrode cell: Ref 1: Mercury sulfate CE 2: Platinum foil | Enhanced electrocatalytic activity towards glucose oxidation and non-enzymatic Simultaneous detection of H2O2 | Highly specialized equipment to produce the Pt-Au alloy and additional preparation for an electrochemical ink Mercury content in the reference electrode which is highly toxic | 0.5 μM |
| Pt surface with nanostructures AuNPs with GOx 3 [64] | Conventional 3-electrode cell: Ref 1: Ag/AgCl CE 2: Platinum foil | Promising applicability for glucose detection in saliva Simultaneous detection of H2O2 | Highly specialized process which use chromium for AuNPs pattering on Pt Uses enzyme and thiol reactants (harmful) for GOx selective immobilization in AuNPs | 3.4 nM |
| Au-Pt bimetallic nanoparticles on SWCNT 4 [65] | Conventional 3-electrode cell The Ref and CE were not reported | In-situ synthesis of Au-Pt nanoparticles on working electrode Non-enzymatic sensor Simultaneous detection of H2O2 | Use of a catalytic ink based on highly toxic metals such as cobalt (II) molybdenum (II) Highly specialized equipment for synthesis of SWCNT Use of gold working electrode, which is expensive | 50 μM |
| PTFE 5/GOx/PANI 6/MWCNT 7 on glassy carbon electrode [66] | Conventional 3-electrode cell: Ref 1: Ag/AgCl CE 2: Platinum foil | High biocompatibility, selectivity, reproducibility, and stability Application for diabetes management: human serum | Uses enzyme, previous synthesis of various components used for the working electrode and sealant needed to maintain the layer-by-layer structure | 0.19 μM |
| Ternary layer of ITO/PbS/SiO2/AuNPs [67] | Conventional 3-electrode cell: Ref 1: Calomel CE 2: Platinum wire | Photoelectrochemical detection of glucose | Use of toxic reactants as lead (II) used for Pbs QD Mercury content in the reference electrode which makes it toxic Use of SiO2-NPs modified with thiols (harmful) Previous synthesis of various components used for the working electrode | 0.46 μM |
| G-AuNPs (present work) | CNT-SPE | It is a miniaturized system that only requires 50 μL of sample The system does not require mercury electrodes (calomel) Synthesis of AuNPs is simple and environmentally friendly No enzymes are used, and the modification is very simple | Its detection limit can be an area of opportunity | 50 μM |
Publisher’s Note: MDPI stays neutral with regard to jurisdictional claims in published maps and institutional affiliations. |
© 2020 by the authors. Licensee MDPI, Basel, Switzerland. This article is an open access article distributed under the terms and conditions of the Creative Commons Attribution (CC BY) license (http://creativecommons.org/licenses/by/4.0/).
Share and Cite
González-Fuentes, F.J.; Molina, G.A.; Silva, R.; López-Miranda, J.L.; Esparza, R.; Hernandez-Martinez, A.R.; Estevez, M. Developing a CNT-SPE Sensing Platform Based on Green Synthesized AuNPs, Using Sargassum sp. Sensors 2020, 20, 6108. https://doi.org/10.3390/s20216108
González-Fuentes FJ, Molina GA, Silva R, López-Miranda JL, Esparza R, Hernandez-Martinez AR, Estevez M. Developing a CNT-SPE Sensing Platform Based on Green Synthesized AuNPs, Using Sargassum sp. Sensors. 2020; 20(21):6108. https://doi.org/10.3390/s20216108
Chicago/Turabian StyleGonzález-Fuentes, Fanny J., Gustavo A. Molina, Rodolfo Silva, José Luis López-Miranda, Rodrigo Esparza, Angel R. Hernandez-Martinez, and Miriam Estevez. 2020. "Developing a CNT-SPE Sensing Platform Based on Green Synthesized AuNPs, Using Sargassum sp." Sensors 20, no. 21: 6108. https://doi.org/10.3390/s20216108
APA StyleGonzález-Fuentes, F. J., Molina, G. A., Silva, R., López-Miranda, J. L., Esparza, R., Hernandez-Martinez, A. R., & Estevez, M. (2020). Developing a CNT-SPE Sensing Platform Based on Green Synthesized AuNPs, Using Sargassum sp. Sensors, 20(21), 6108. https://doi.org/10.3390/s20216108

