Expansion-Induced Crack Propagation in Rocks Monitored by Using Piezoelectric Transducers
Abstract
1. Introduction
2. Materials and Methods
2.1. Expansion Materials
2.2. Heating System
2.3. Process of Expansion-Induced Fracturing
2.4. Rock Specimens
2.5. Elastic Wave Measurement System
3. Results and Discussion
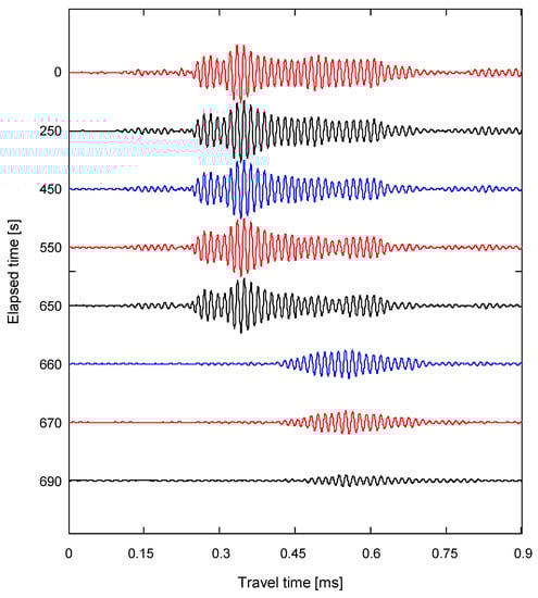
3.1. Elastic Wave Monitoring
3.2. Elapsed Time to Rock Fracture
4. Conclusions
Author Contributions
Funding
Acknowledgments
Conflicts of Interest
References
- Park, D.; Jeon, B.; Jeon, S. A numerical study on the screening of blast-induced waves for reducing ground vibration. Rock Mech. Rock Eng. 2009, 42, 449–473. [Google Scholar] [CrossRef]
- Jeng, F.S.; Huang, T.H.; Hilmersson, S. New development of waterjet technology for tunnel excavation purposes. In Tunnelling and Underground Space Technology. Underground Space for Sustainable Urban Development, Proceedings of the 30th ITA-AITES World Tunnel Congress, Singapore, 22–27 May 2004; Elsevier: Amsterdam, The Netherlands, 2004; Volume XIX. [Google Scholar]
- Song, K.I.; Oh, T.M.; Cho, G.C. Precutting of tunnel perimeter for reducing blasting-induced vibration and damaged zone—Numerical analysis. KSCE J. Civ. Eng. 2014, 18, 1165–1175. [Google Scholar] [CrossRef]
- Kim, J.G.; Song, J.J. Abrasive water jet cutting methods for reducing blast-induced ground vibration in tunnel excavation. Int. J. Rock Mech. Min. Sci. 2015, 75, 147–158. [Google Scholar] [CrossRef]
- Gustafsson, N. Wire Cutting as a Complement to Drill and Blast in Vibration Sensitive Environments. Master’s Thesis, Chalmers University of Technology, Goteborg, Sweden, 2011. [Google Scholar]
- Lee, J.S.; Ahn, S.K.; Sagong, M. Attenuation of blast vibration in tunneling using a pre-cut discontinuity. Tunn. Undergr. Space Technol. 2016, 52, 30–37. [Google Scholar] [CrossRef]
- Lee, J.H.; Ahn, S.K.; Lee, K.C.; Bang, C.S.; Cho, J.H.; Sagong, M. Wire saw cutting model development and performance investigation for vibration reduced tunnel excavation. Tunn. Undergr. Space Technol. 2017, 63, 144–153. [Google Scholar] [CrossRef]
- Hiller, D. The prediction and mitigation of vibration impacts of tunneling. In Proceedings of the Acoustics—Breaking New Ground 2011, Gold Coast, Australia, 2–4 November 2011; pp. 2–3. [Google Scholar]
- Jana, S. Non-explosive expanding agent–an aid for reducing environmental pollution in mines. Indian Min. Eng. J. 1991, 1, 31–35. [Google Scholar]
- Arshadnejad, S.; Goshtasbi, K.; Aghazadeh, J. A model to determine hole spacing in the rock fracture process by non-explosive expansion material. Int. J. Miner. Metall. Mater. 2011, 18, 509–514. [Google Scholar] [CrossRef]
- Arshadnejad, S.; Goshtasbi, K.; Aghazadeh, J. Stress concentration analysis between two neighboring circular holes under internal pressure of a non-explosive expansion material. Earth Sci. 2009, 30, 259–270. [Google Scholar]
- Ahn, C.H.; Hu, J.W. Investigation of key parameters of rock cracking using the expansion of vermiculite materia. Materials 2015, 8, 6950–6961. [Google Scholar] [CrossRef]
- Walker, G.F. Vermiculites and Some Related Mixed-Layer Minerals. In X-ray Identification and Crystal Structures of Clay Minerals; Brindley, G.W., Ed.; Mineralogical Society: London, UK, 1951; pp. 199–223. [Google Scholar]
- Hillier, S.; Marwa, E.M.M.; Rice, C.M. On the mechanism of exfoliation of ‘Vermiculite’. Clay Miner. 2013, 48, 563–582. [Google Scholar] [CrossRef]
- Ahn, C.H.; Hu, J.W. Experimental field tests and finite element analyses for rock cracking using the expansion of vermiculite materials. Adv. Mater. Sci. Eng. 2016, 2016, 1–11. [Google Scholar] [CrossRef]
- Schubnel, A.; Nishizawa, O.; Masuda, K.; Lei, X.J.; Xue, Z.; Guéguen, Y. Velocity Measurements and Crack Density Determination during Wet Triaxial Experiments on Oshima and Toki Granites. In Thermo-Hydro-Mechanical Coupling in Fractured Rock; Birkhäuser: Basel, Switzerland, 2003; pp. 869–887. [Google Scholar]
- Byun, J.H.; Lee, J.S.; Park, K.; Yoon, H.K. Prediction of crack density in porous-cracked rocks from elastic wave velocities. J. Appl. Geophys. 2015, 115, 110–119. [Google Scholar] [CrossRef]
- Byun, Y.H.; Han, W.; Tutumluer, E.; Lee, J.S. Elastic wave characterization of controlled low-strength material using embedded piezoelectric transducers. Constr. Build. Mater. 2016, 127, 210–219. [Google Scholar] [CrossRef]
- Byun, Y.H.; Tutumluer, E. Bender elements successfully quantified stiffness enhancement provided by geogrid–aggregate interlock. Transp. Res. Rec. 2017, 2656, 31–39. [Google Scholar] [CrossRef]
- Byun, Y.H.; Tutumluer, E.; Feng, B.; Kim, J.H.; Wayne, M.H. Horizontal stiffness evaluation of geogrid-stabilized aggregate using shear wave transducers. Geotext. Geomembr. 2019, 47, 177–186. [Google Scholar] [CrossRef]
- Lee, I.M.; Truong, Q.H.; Kim, D.H.; Lee, J.S. Discontinuity detection ahead of a tunnel face utilizing ultrasonic reflection: Laboratory scale application. Tunn. Undergr. Space Technol. 2009, 24, 155–163. [Google Scholar] [CrossRef]
- Schubnel, A.; Benson, P.M.; Thompson, B.D.; Hazzard, J.F.; Young, R.P. Quantifying Damage, Saturation and Anisotropy in Cracked Rocks by Inverting Elastic Wave Velocities. In Rock Damage and Fluid Transport: Part I.; Birkhäuser: Basel, Switzerland, 2006; pp. 947–973. [Google Scholar]
- Walsh, J.B. The effect of cracks on the compressibility of rock. J. Geophys. Res. 1965, 70, 381–389. [Google Scholar] [CrossRef]
- O’Connell, R.J.; Budiansky, B. Seismic velocities in dry and saturated cracked solids. J. Geophys. Res. 1974, 79, 5412–5426. [Google Scholar] [CrossRef]
- Feng, J.; Liu, M.; Fu, L.; Zhang, K.; Xie, Z.; Shi, D.; Ma, X. Enhancement and mechanism of vermiculite thermal expansion modified by sodium ions. RSC Adv. 2020, 10, 7635–7642. [Google Scholar] [CrossRef]
- Lee, J.S.; Santamarina, J.C. P-wave reflection imaging. Geotech. Test. J. 2005, 28, 197–206. [Google Scholar]
- Nasseri, M.H.B.; Schubnel, A.; Young, R.P. Coupled evolutions of fracture toughness and elastic wave velocities at high crack density in thermally treated Westerly granite. Int. J. Rock Mech. Min. Sci. 2007, 44, 601–616. [Google Scholar] [CrossRef]











Publisher’s Note: MDPI stays neutral with regard to jurisdictional claims in published maps and institutional affiliations. |
© 2020 by the authors. Licensee MDPI, Basel, Switzerland. This article is an open access article distributed under the terms and conditions of the Creative Commons Attribution (CC BY) license (http://creativecommons.org/licenses/by/4.0/).
Share and Cite
Ahn, C.-H.; Kim, D.-J.; Byun, Y.-H. Expansion-Induced Crack Propagation in Rocks Monitored by Using Piezoelectric Transducers. Sensors 2020, 20, 6054. https://doi.org/10.3390/s20216054
Ahn C-H, Kim D-J, Byun Y-H. Expansion-Induced Crack Propagation in Rocks Monitored by Using Piezoelectric Transducers. Sensors. 2020; 20(21):6054. https://doi.org/10.3390/s20216054
Chicago/Turabian StyleAhn, Chi-Hyung, Dong-Ju Kim, and Yong-Hoon Byun. 2020. "Expansion-Induced Crack Propagation in Rocks Monitored by Using Piezoelectric Transducers" Sensors 20, no. 21: 6054. https://doi.org/10.3390/s20216054
APA StyleAhn, C.-H., Kim, D.-J., & Byun, Y.-H. (2020). Expansion-Induced Crack Propagation in Rocks Monitored by Using Piezoelectric Transducers. Sensors, 20(21), 6054. https://doi.org/10.3390/s20216054

