Feasibility of Replacing the Range Doppler Equation of Spaceborne Synthetic Aperture Radar Considering Atmospheric Propagation Delay with a Rational Polynomial Coefficient Model
Abstract
1. Introduction
2. Models
2.1. Atmospheric Propagation Path Delay Equation
2.2. Spaceborne SAR RD Equation
2.3. RPC Model
3. RPC Model Fitting and Accuracy Verification Methods
- (1)
- Firstly, the input data sets, including the SAR image auxiliary file and DEM of the study area, were prepared;
- (2)
- Then, a virtual plane grid was built according to the image size, the elevation range of the coverage area was interpolated based on the DEM data and RD model, and layering processing was performed in the elevation direction to obtain a virtual space control grid. The number of layers was required to be greater than three to prevent the design matrix from becoming ill-conditioned [1]. Next, a virtual space check grid was constructed by interpolating between the centers of four adjacent virtual control points and the two adjacent elevation layers;
- (3)
- The atmospheric propagation delay values were corrected at all virtual grid points using two plans: one in which the atmospheric delay correction value at the point at the center of the scene and the average elevation of the coverage area were employed to correct the atmospheric propagation delay at all virtual points, and one in which the atmospheric delay correction value at each virtual grid point was used to correct its own atmospheric delay;
- (4)
- The RPC model was fitted separately using the original RD model, RD model modified using atmospheric delay correction plan 1, and RD model modified using atmospheric delay correction plan 2, and then the fitting accuracy was evaluated. A detailed flowchart of the RPC model fitting accuracy evaluation is shown in Figure 2.
- (5)
- The positioning accuracies of the abovementioned RPC models were evaluated based on the measured GCPs of the SAR image coverage area. To ensure the reliability of the verification accuracy, the root mean square error (RMSE) of multiple control points in one image was calculated using the equation in step 5, ∆X and ∆Y as an evaluation index of the geometric positioning accuracy of the RPC model.
4. Results and Discussion
4.1. Experimental Data
4.2. Experimental Results and Analysis
4.2.1. Impact of RPC Model Fitting Parameter
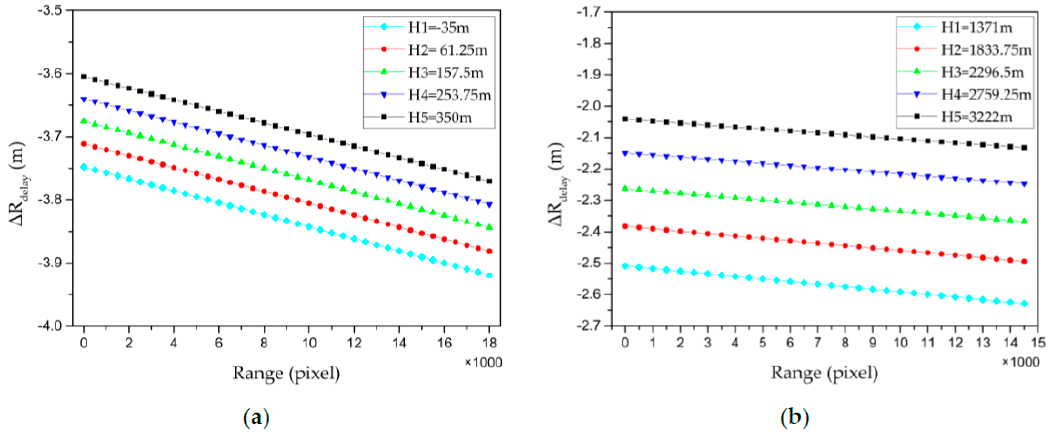
4.2.2. RPC Model Fitting Accuracy Evaluation
4.2.3. RPC Model Positioning Accuracy Verification
- (1)
- Firstly, for the RPC model fitted using the original RD model without atmospheric delay correction, positioning accuracy verification was conducted;
- (2)
- After correcting the systematic error in the slant range direction of the GF-3 SAR satellite, geometric positioning accuracy verification of the RPC model was performed. This systematic error was obtained by geometric calibration of the spaceborne SAR [23];
- (3)
- After correcting the systematic error in the slant range direction of the GF-3 SAR satellite and correcting the atmospheric propagation delay error using plan 1, geometric positioning accuracy verification of the RPC model was performed;
- (4)
- After correcting the systematic error in the slant range direction of the GF-3 SAR satellite and correcting the atmospheric propagation delay error using plan 2, geometric positioning accuracy verification of the RPC model was performed.
5. Conclusions
Author Contributions
Funding
Conflicts of Interest
References
- Tao, C.V.; Hu, Y. A comprehensive study of the rational function model for photogrammetric processing. Photogramm. Eng. Remote Sens. 2001, 67, 1347–1357. [Google Scholar]
- Toutin, T. Review article: Geometric processing of remote sensing images: Models, algorithms and methods. Int. J. Remote Sens. 2004, 25, 1893–1924. [Google Scholar] [CrossRef]
- Zhang, G.; Fei, W.B.; Li, Z.; Zhu, X.; Li, D. Evaluation of the RPC model for spaceborne SAR imagery. Photogramm. Eng. Remote Sens. 2010, 76, 727–733. [Google Scholar] [CrossRef]
- Eftekhari, A.; Saadatseresht, M.; Motagh, M. A study on rational function model generation for Terrasar-X imagery. Sensors. 2013, 13, 12030–12043. [Google Scholar] [CrossRef] [PubMed]
- Zhang, G.; Zhu, X.Y. A study of the RPC model of Terrasar-X and Cosmo-Skymed SAR imagery. Remote Sens. Spat. Inf. Sci. 2008, 37, 321–324. [Google Scholar]
- Wang, T.Y.; Zhang, G.; Yu, L.; Zhao, R.; Deng, M.; Xu, K. Multi-mode gf-3 satellite image geometric accuracy verification using the RPC model. Sensors 2017, 17, 2005. [Google Scholar] [CrossRef] [PubMed]
- Jiao, N.G.; Wang, F.; You, H.J.; Qiu, X.L.; Yang, M.D. Geo-positioning accuracy improvement of multi- mode gf-3 satellite SAR imagery based on error sources analysis. Sensors 2018, 18, 2333. [Google Scholar] [CrossRef]
- Zhao, R.S.; Jiang, Y.H.; Zhang, G.; Deng, M.J.; Yang, F. Geometric accuracy evaluation of YG-18 satellite imagery based on RFM. Photogramm. Rec. 2017, 32, 33–47. [Google Scholar] [CrossRef]
- Huang, Z.W.; He, S. A method for improving positioning accuracy of SAR imagery based on RFM. In Proceedings of the 4th International Conference on Digital Manufacturing & Automation, Qindao, China, 29–30 June 2013; pp. 43–46. [Google Scholar]
- Liu, X.F.; Liu, J.Y.; Hong, W. The analysis of the precision in spaceborne SAR image location. J. Remote Sens. 2006, 10, 76–81. [Google Scholar]
- Eineder, M.; Minet, C.; Steigenberger, P.; Cong, X.; Fritz, T. Imaging Geodesy—Toward Centimeter-Level Ranging Accuracy with TerraSAR-X. IEEE Trans. Geosci. Remote Sens. 2011, 49, 661–671. [Google Scholar] [CrossRef]
- Cong, X.; Balss, U.; Eineder, M.; Fritz, T. Imaging geodesy—Centimeter-Level ranging accuracy with TerraSAR-X: An Update. IEEE Geosci. Remote Sens. Lett. 2012, 9, 948–952. [Google Scholar] [CrossRef]
- Davis, J.L.; Herring, T.A.; Shapiro, I.I.; Rogers, A.E.E.; Elgered, G. Geodesy by radio interferometry: Effects of atmospheric modeling errors on estimates of baseline length. Radio Sci. 2016, 20, 1593–1607. [Google Scholar] [CrossRef]
- Puyssegur, B.; Michel, R.; Avouac, J.P. Tropospheric phase delay in interferometric synthetic aperture radar estimated from meteorological model and multispectral imagery. J. Geophys. Res. Solid Earth. 2007, 112, 12. [Google Scholar] [CrossRef]
- Smith, E.K.; Weintraub, S. The constants in the equation for atmospheric refractive index at radio frequencies. Proc. IRE 1953, 41, 1035–1037. [Google Scholar] [CrossRef]
- Solheim, F.S.; Vivekanandan, J.; Ware, R.H.; Rocken, C. Propagation delays induced in GPS signals by dry air, water vapor, hydrometeors, and other particulates. J. Geophys. Res. 1999, 104, 9663–9670. [Google Scholar] [CrossRef]
- Skone, S.; Cannon, M.E. Ionospheric effects on differential GPS applications during auroral substorm activity. ISPRS J. Photogramm. Remote Sens. 1999, 54, 279–288. [Google Scholar] [CrossRef]
- Curlander, J.C. Location of spaceborne SAR imagery. IEEE Trans. Geosci. Remote Sens. 1982, 3, 359–364. [Google Scholar] [CrossRef]
- Grodecki, J.; Dial, G. Block adjustment of high-resolution satellite images described by rational polynomials. Photogramm. Eng. Remote Sens. 2003, 69, 59–68. [Google Scholar] [CrossRef]
- Cavalie, O.; Doin, M.P.; Lasserre, C.; Briole, P. Ground motion measurement in the Lake Mead area, Nevada, by differential synthetic aperture radar interferometry time series analysis: Probing the lithosphere rheological structure. J. Geophys. Res. Solid Earth 2007, 112, B03403. [Google Scholar] [CrossRef]
- Onn, F.; Zebker, H.A. Correction for interferometric synthetic aperture radar atmospheric phase artifacts using time series of zenith wet delay observations from a GPS network. J. Geophys. Res. Solid Earth 2006, 111. [Google Scholar] [CrossRef]
- Huang, W.C. Research on Compensation for System Errors of Basic Satellite Products. Ph.D. Thesis, Wuhan University, Wuhan, China, October 2016. [Google Scholar]
- Zhao, R.S.; Zhang, G.; Deng, M.J.; Xu, K.; Guo, F.C. Geometric calibration and accuracy verification of the GF-3 satellite. Sensors 2017, 17, 1977. [Google Scholar] [CrossRef] [PubMed]
- Jehle, M.; Perler, D.; Small, D.; Schubert, A.; Meier, E. Estimation of Atmospheric Path Delays in TerraSAR-X Data using Models vs. Measurements. J. Sens. 2008, 8, 8479–8491. [Google Scholar] [CrossRef] [PubMed]








| Imaging Mode | ID of Image | Imaging Region | Imaging Date | Rr | Ra | Number of GCPs |
|---|---|---|---|---|---|---|
| SL (1 m resolution) | CD-3076 | Chengdou | 8 January 2017 | 0.5621 | 0.3126 | |
| DF-6954 | Dengfeng | 7 August 2018 | 0.5621 | 0.3125 | ||
| LZ-4905 | Lanzhou | 6 August 2018 | 0.5621 | 0.3443 | ||
| UFS (3 m resolution) | BC-1094 | Beichen | 18 September 2016 | 1.1242 | 1.7308 | |
| ZJ-8807 | Zhanjiang | 12 August 2017 | 1.1242 | 1.7327 | ||
| SH-4753 | Shanghai | 27 January 2017 | 1.1242 | 1.7292 | ||
| FSI (5 m resolution) | AP-6616 | Anping | 19 February 2017 | 2.2484 | 2.8110 | 12 |
| AP-4130 | Anping | 5 May 2017 | 1.1242 | 2.6183 | 6 | |
| ZJ-5851 | Zhanjiang | 25 January 2017 | 2.2484 | 2.8109 | ||
| XN-3579 | Xianning | 11 January 2017 | 2.2484 | 2.8139 | 6 | |
| NM-3601 | Neimeng | 11 January 2017 | 2.2484 | 2.8098 | 13 | |
| NM-2661 | Neimeng | 28 July 2017 | 1.1242 | 2.5915 | 10 | |
| ZY-7668 | Zhangye | 18 May 2019 | 2.2484 | 2.8252 | 5 | |
| FSII (10 m resolution) | CD-7465 | Chengdou | 3 October 2017 | 2.2484 | 4.7566 | |
| ZJ-5492 | Zhanjiang | 6 October 2017 | 2.2484 | 4.7710 | 8 | |
| ZY-0316 | Zhangye | 22 January 2019 | 2.2484 | 4.7576 | 7 |
| Topography | Image ID | Incidence Angle (°) | DEM (m) | ΔRdelay (m) | ||||
|---|---|---|---|---|---|---|---|---|
| Near-Range | Far-Range | Minimum | Maximum | Mean | Plan 1 | Plan 2 | ||
| Plains and mountains | SH-4753 | 45.699 | 47.142 | −30 | 36 | 0.00 | −3.611 | −3.678–−3.544 |
| AP-4130 | 26.182 | 29.657 | −28 | 65 | 11.66 | −2.825 | −2.825–−2.712 | |
| AP-6616 | 44.740 | 47.334 | −27 | 72 | 23.54 | −3.504 | −3.623–−3.399 | |
| BC-1094 | 19.759 | 22.199 | −29 | 81 | 13.68 | −2.813 | −2.852–−2.768 | |
| ZJ-8807 | 32.375 | 34.393 | −30 | 169 | 24.05 | −3.185 | −3.258–−3.071 | |
| ZJ-5851 | 46.510 | 48.971 | −35 | 350 | 23.03 | −3.795 | −3.919–3.587 | |
| XN-3579 | 44.777 | 47.362 | −21 | 641 | 111.59 | −3.393 | −3.771–3.281 | |
| CD-3076 | 26.160 | 27.019 | 426 | 975 | 695.23 | −2.522 | −2.613–−2.400 | |
| Plateau | ZJ-5492 | 31.291 | 38.155 | −33 | 1271 | 22.52 | −3.531 | −3.702–2.824 |
| DF-6954 | 28.717 | 29.698 | 312 | 1470 | 446.73 | −2.865 | −2.943–−2.477 | |
| NM-3601 | 44.746 | 47.334 | 976 | 1970 | 1052.78 | −3.028 | −3.516–−2.665 | |
| NM-2661 | 23.865 | 27.674 | 952 | 2214 | 990.42 | −2.561 | −2.617–2.136 | |
| ZY-7668 | 34.665 | 37.920 | 1371 | 3222 | 1498.87 | −2.536 | −2.636–2.041 | |
| ZY-0316 | 30.894 | 37.837 | 1300 | 4769 | 2092.58 | −2.28 | −2.569–−1.568 | |
| LZ-4905 | 41.035 | 41.745 | 1478 | 2150 | 1606.19 | −3.012 | −3.095–−2.780 | |
| CD-7465 | 31.294 | 37.718 | 390 | 4931 | 810.42 | −3.111 | −3.212–1.521 | |
| Topography | Image ID | Compensation Method | Control Point Error (Pixels) | Check Point Error (Pixels) | ||||||||||
|---|---|---|---|---|---|---|---|---|---|---|---|---|---|---|
| Sample | Line | 2-D | Sample | Line | 2-D | |||||||||
| Max. | RMSE | Max. | RMSE | Max. | RMSE | Max. | RMSE | Max. | RMSE | Max. | RMSE | |||
| Plains and Mountains | SH-4753 | Uncorrected/Plan 1 | 0.00041 | 0.00013 | 0.00013 | 0.00007 | 0.00041 | 0.00015 | 0.00029 | 0.00012 | 0.00015 | 0.00007 | 0.0003 | 0.00014 |
| Plan 2 | 0.00041 | 0.00013 | 0.00013 | 0.00007 | 0.00041 | 0.00015 | 0.00029 | 0.00012 | 0.00015 | 0.00007 | 0.0003 | 0.00014 | ||
| AP-4130 | Uncorrected/Plan 1 | 0.0122 | 0.00364 | 0.0032 | 0.0012 | 0.01245 | 0.00383 | 0.00933 | 0.00338 | 0.00219 | 0.00111 | 0.0095 | 0.00356 | |
| Plan 2 | 0.01243 | 0.00366 | 0.0032 | 0.0012 | 0.01268 | 0.00385 | 0.00944 | 0.0034 | 0.00219 | 0.00111 | 0.00961 | 0.00357 | ||
| AP-6616 | Uncorrected/Plan 1 | 0.00172 | 0.00059 | 0.00009 | 0.00004 | 0.00172 | 0.00059 | 0.00126 | 0.00055 | 0.00012 | 0.00005 | 0.00126 | 0.00055 | |
| Plan 2 | 0.00171 | 0.00059 | 0.00009 | 0.00004 | 0.00171 | 0.0006 | 0.00127 | 0.00055 | 0.00012 | 0.00005 | 0.00127 | 0.00055 | ||
| BC-1094 | Uncorrected/Plan 1 | 0.00074 | 0.00025 | 0.00012 | 0.00007 | 0.00075 | 0.00026 | 0.00053 | 0.00022 | 0.00016 | 0.00007 | 0.00055 | 0.00024 | |
| Plan 2 | 0.00073 | 0.00026 | 0.00012 | 0.00007 | 0.00074 | 0.00027 | 0.00053 | 0.00023 | 0.00016 | 0.00007 | 0.00055 | 0.00025 | ||
| ZJ-8807 | Uncorrected/Plan 1 | 0.00077 | 0.00024 | 0.0012 | 0.00047 | 0.00132 | 0.00052 | 0.00059 | 0.00022 | 0.00077 | 0.00043 | 0.00084 | 0.00048 | |
| Plan 2 | 0.00078 | 0.00024 | 0.0012 | 0.00047 | 0.00132 | 0.00052 | 0.00059 | 0.00022 | 0.00077 | 0.00043 | 0.00084 | 0.00048 | ||
| ZJ-5851 | Uncorrected/Plan 1 | 0.00276 | 0.0009 | 0.00164 | 0.00063 | 0.00318 | 0.0011 | 0.00203 | 0.00083 | 0.001 | 0.00058 | 0.00218 | 0.00102 | |
| Plan 2 | 0.00276 | 0.0009 | 0.00164 | 0.00063 | 0.00316 | 0.0011 | 0.00203 | 0.00083 | 0.001 | 0.00058 | 0.00218 | 0.00102 | ||
| XN-3579 | Uncorrected/Plan 1 | 0.00084 | 0.0002 | 0.00031 | 0.00007 | 0.00089 | 0.00021 | 0.00056 | 0.00018 | 0.0002 | 0.00007 | 0.00059 | 0.0002 | |
| Plan 2 | 0.00083 | 0.00019 | 0.00031 | 0.00007 | 0.00088 | 0.00021 | 0.00054 | 0.00018 | 0.0002 | 0.00007 | 0.00057 | 0.00019 | ||
| CD-3076 | Uncorrected/Plan 1 | 0.00015 | 0.00005 | 0.00066 | 0.00032 | 0.00066 | 0.00033 | 0.00012 | 0.00005 | 0.00093 | 0.00046 | 0.00093 | 0.00046 | |
| Plan 2 | 0.00015 | 0.00005 | 0.00066 | 0.00032 | 0.00066 | 0.00033 | 0.00012 | 0.00005 | 0.00093 | 0.00046 | 0.00093 | 0.00046 | ||
| Plateau | ZJ-5492 | Uncorrected/Plan 1 | 0.00839 | 0.00207 | 0.00058 | 0.00014 | 0.00839 | 0.00207 | 0.00658 | 0.00192 | 0.00044 | 0.00013 | 0.00658 | 0.00193 |
| Plan 2 | 0.00843 | 0.00209 | 0.00058 | 0.00014 | 0.00843 | 0.00209 | 0.0066 | 0.00194 | 0.00044 | 0.00013 | 0.0066 | 0.00194 | ||
| DF-6954 | Uncorrected/Plan 1 | 0.00134 | 0.00046 | 0.00079 | 0.00039 | 0.00146 | 0.00061 | 0.00112 | 0.00044 | 0.00119 | 0.00043 | 0.00158 | 0.00061 | |
| Plan 2 | 0.00134 | 0.00047 | 0.00079 | 0.00039 | 0.00147 | 0.00061 | 0.00112 | 0.00044 | 0.00119 | 0.00043 | 0.00158 | 0.00062 | ||
| NM-3601 | Uncorrected/Plan 1 | 0.00072 | 0.00018 | 0.00026 | 0.00011 | 0.00074 | 0.00021 | 0.00054 | 0.00017 | 0.00024 | 0.0001 | 0.00055 | 0.0002 | |
| Plan 2 | 0.00075 | 0.00019 | 0.00026 | 0.00011 | 0.00077 | 0.00022 | 0.00057 | 0.00017 | 0.00024 | 0.0001 | 0.00059 | 0.0002 | ||
| NM-2661 | Uncorrected/Plan 1 | 0.00832 | 0.00179 | 0.00106 | 0.00041 | 0.00839 | 0.00184 | 0.00555 | 0.00165 | 0.00078 | 0.00038 | 0.00561 | 0.00169 | |
| Plan 2 | 0.00833 | 0.00179 | 0.00106 | 0.00041 | 0.00839 | 0.00184 | 0.00553 | 0.00165 | 0.00078 | 0.00038 | 0.00559 | 0.00169 | ||
| ZY-7668 | Uncorrected/Plan 1 | 0.00111 | 0.00025 | 0.00167 | 0.00067 | 0.00185 | 0.00072 | 0.00073 | 0.00023 | 0.00113 | 0.00065 | 0.00134 | 0.00069 | |
| Plan 2 | 0.00123 | 0.00026 | 0.00167 | 0.00071 | 0.00203 | 0.00075 | 0.00074 | 0.00023 | 0.00113 | 0.00065 | 0.00134 | 0.00069 | ||
| ZY-0316 | Uncorrected/Plan 1 | 0.0106 | 0.00216 | 0.00141 | 0.00033 | 0.01061 | 0.00219 | 0.00756 | 0.00201 | 0.00094 | 0.00031 | 0.00756 | 0.00203 | |
| Plan 2 | 0.0106 | 0.00215 | 0.00142 | 0.00033 | 0.01061 | 0.00217 | 0.00752 | 0.00199 | 0.00094 | 0.00031 | 0.00752 | 0.00202 | ||
| LZ-4905 | Uncorrected/Plan 1 | 0.0018 | 0.00067 | 0.00133 | 0.00051 | 0.00224 | 0.00085 | 0.00149 | 0.00064 | 0.00158 | 0.00053 | 0.00216 | 0.00083 | |
| Plan 2 | 0.00181 | 0.00067 | 0.00133 | 0.00051 | 0.00222 | 0.00085 | 0.0015 | 0.00064 | 0.00158 | 0.00053 | 0.00216 | 0.00083 | ||
| CD-7465 | Uncorrected/Plan 1 | 0.01 | 0.002 | 0.0067 | 0.00241 | 0.01113 | 0.00371 | 0.00826 | 0.00261 | 0.00469 | 0.00223 | 0.00897 | 0.00344 | |
| Plan 2 | 0.01 | 0.002 | 0.0067 | 0.00241 | 0.01112 | 0.0037 | 0.00827 | 0.00261 | 0.00469 | 0.00223 | 0.00899 | 0.00344 | ||
| Image ID | Correction Method | |||||||||||
|---|---|---|---|---|---|---|---|---|---|---|---|---|
| Uncorrected | Correct System Error | Plan 1 | Plan 2 | |||||||||
| Sample | Line | 2-D | Sample | Line | 2-D | Sample | Line | 2-D | Sample | Line | 2-D | |
| AP-6616 | 22.858 | 1.380 | 22.900 | 4.021 | 1.380 | 4.409 | 2.588 | 1.380 | 2.934 | 2.599 | 1.380 | 2.944 |
| AP-4130 | 21.619 | 1.000 | 21.642 | 2.782 | 1.000 | 3.064 | 1.878 | 1.000 | 2.129 | 1.871 | 1.000 | 2.123 |
| XN-3579 | 22.397 | 1.457 | 22.446 | 3.561 | 1.457 | 4.004 | 2.382 | 1.457 | 2.801 | 2.380 | 1.457 | 2.792 |
| NM-3601 | 22.460 | 0.118 | 22.496 | 3.623 | 0.117 | 3.941 | 2.110 | 0.117 | 2.459 | 0.510 | 0.118 | 2.486 |
| NM-2661 | 21.207 | 1.188 | 21.241 | 2.730 | 1.188 | 3.075 | 1.603 | 1.188 | 2.021 | 1.602 | 1.188 | 2.021 |
| ZY-7668 | 23.198 | 1.372 | 23.238 | 4.360 | 1.373 | 4.571 | 1.447 | 1.372 | 1.994 | 1.388 | 1.372 | 1.952 |
| ZJ-5492 | 25.899 | 2.333 | 26.004 | 5.013 | 2.333 | 5.529 | 1.600 | 2.332 | 2.828 | 1.885 | 2.333 | 2.999 |
| ZY-0316 | 24.983 | 1.001 | 25.003 | 4.096 | 1.000 | 4.217 | 1.184 | 1.000 | 1.550 | 1.166 | 1.000 | 1.536 |
© 2020 by the authors. Licensee MDPI, Basel, Switzerland. This article is an open access article distributed under the terms and conditions of the Creative Commons Attribution (CC BY) license (http://creativecommons.org/licenses/by/4.0/).
Share and Cite
Hou, S.; Huang, Y.; Zhang, G.; Zhao, R.; Jia, P. Feasibility of Replacing the Range Doppler Equation of Spaceborne Synthetic Aperture Radar Considering Atmospheric Propagation Delay with a Rational Polynomial Coefficient Model. Sensors 2020, 20, 553. https://doi.org/10.3390/s20020553
Hou S, Huang Y, Zhang G, Zhao R, Jia P. Feasibility of Replacing the Range Doppler Equation of Spaceborne Synthetic Aperture Radar Considering Atmospheric Propagation Delay with a Rational Polynomial Coefficient Model. Sensors. 2020; 20(2):553. https://doi.org/10.3390/s20020553
Chicago/Turabian StyleHou, Shasha, Yuancheng Huang, Guo Zhang, Ruishan Zhao, and Peng Jia. 2020. "Feasibility of Replacing the Range Doppler Equation of Spaceborne Synthetic Aperture Radar Considering Atmospheric Propagation Delay with a Rational Polynomial Coefficient Model" Sensors 20, no. 2: 553. https://doi.org/10.3390/s20020553
APA StyleHou, S., Huang, Y., Zhang, G., Zhao, R., & Jia, P. (2020). Feasibility of Replacing the Range Doppler Equation of Spaceborne Synthetic Aperture Radar Considering Atmospheric Propagation Delay with a Rational Polynomial Coefficient Model. Sensors, 20(2), 553. https://doi.org/10.3390/s20020553

