Evaluation of Discrimination Performance in Case for Multiple Non-Discriminated Samples: Classification of Honeys by Fluorescent Fingerprinting
Abstract
1. Introduction
2. Materials and Methods
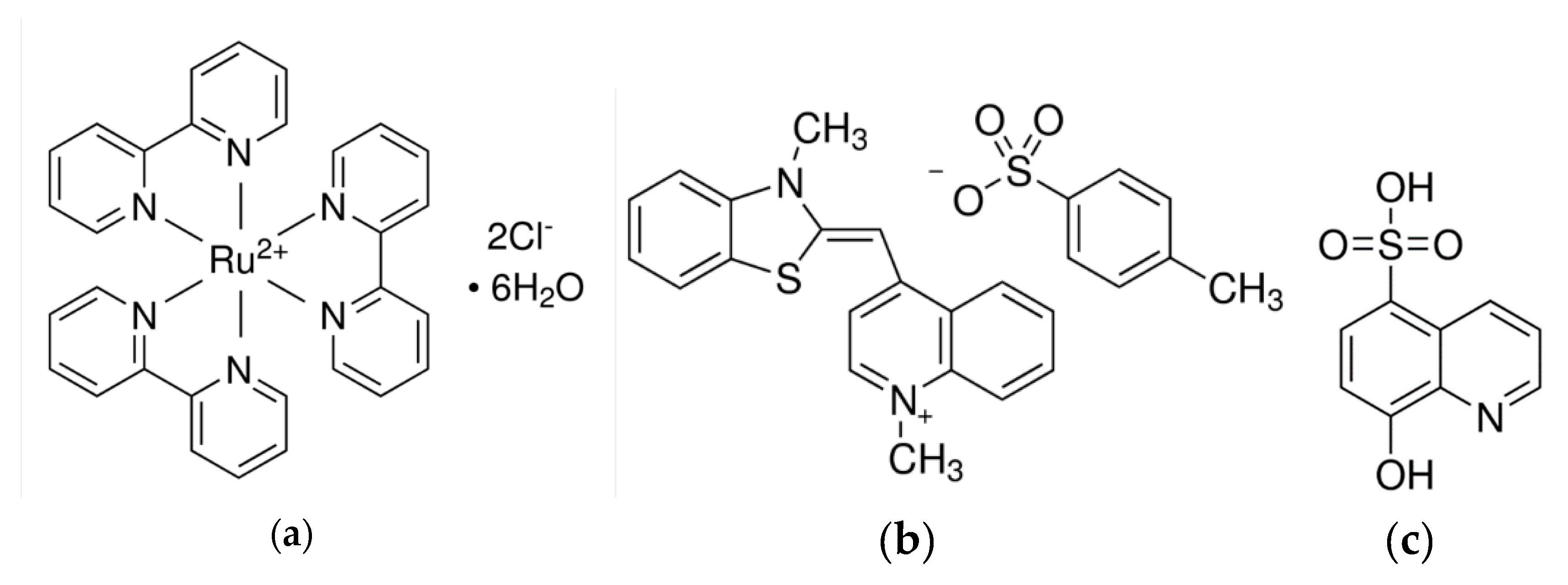
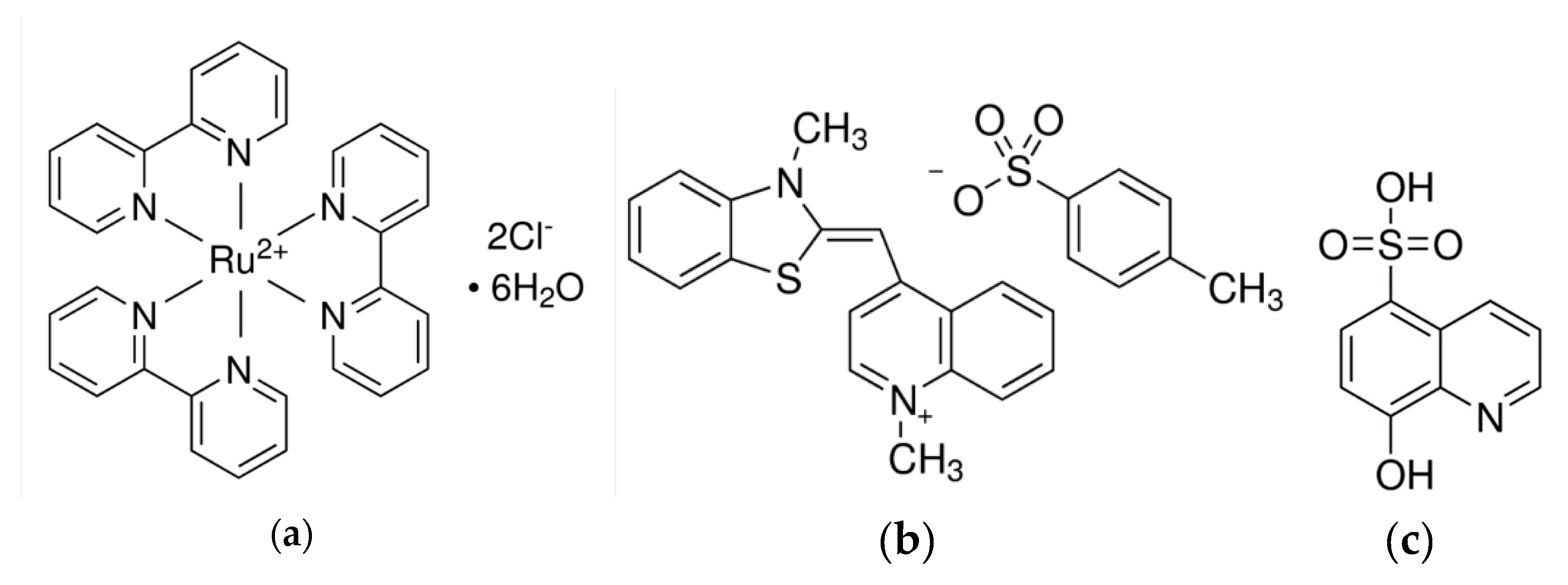
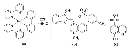
2.1. Reagents and Fluorophores
2.2. Honey Samples
2.3. Procedures and Instrumentation
2.4. Data Treatment
2.4.1. Data Pretreatment
2.4.2. Principal Component Analysis (PCA)
2.4.3. Assessment of Discrimination Performance Using Confidence Ellipses
2.4.4. Assessment of Discrimination Performance by Relative Position (RP) Index
2.4.5. Assessment of Discrimination Performance by Standard Metrics
3. Results
3.1. Discrimination of Honeys by Intrinsic Fluorescence
3.2. Fluorophores Used in the Discrimination of Honeys
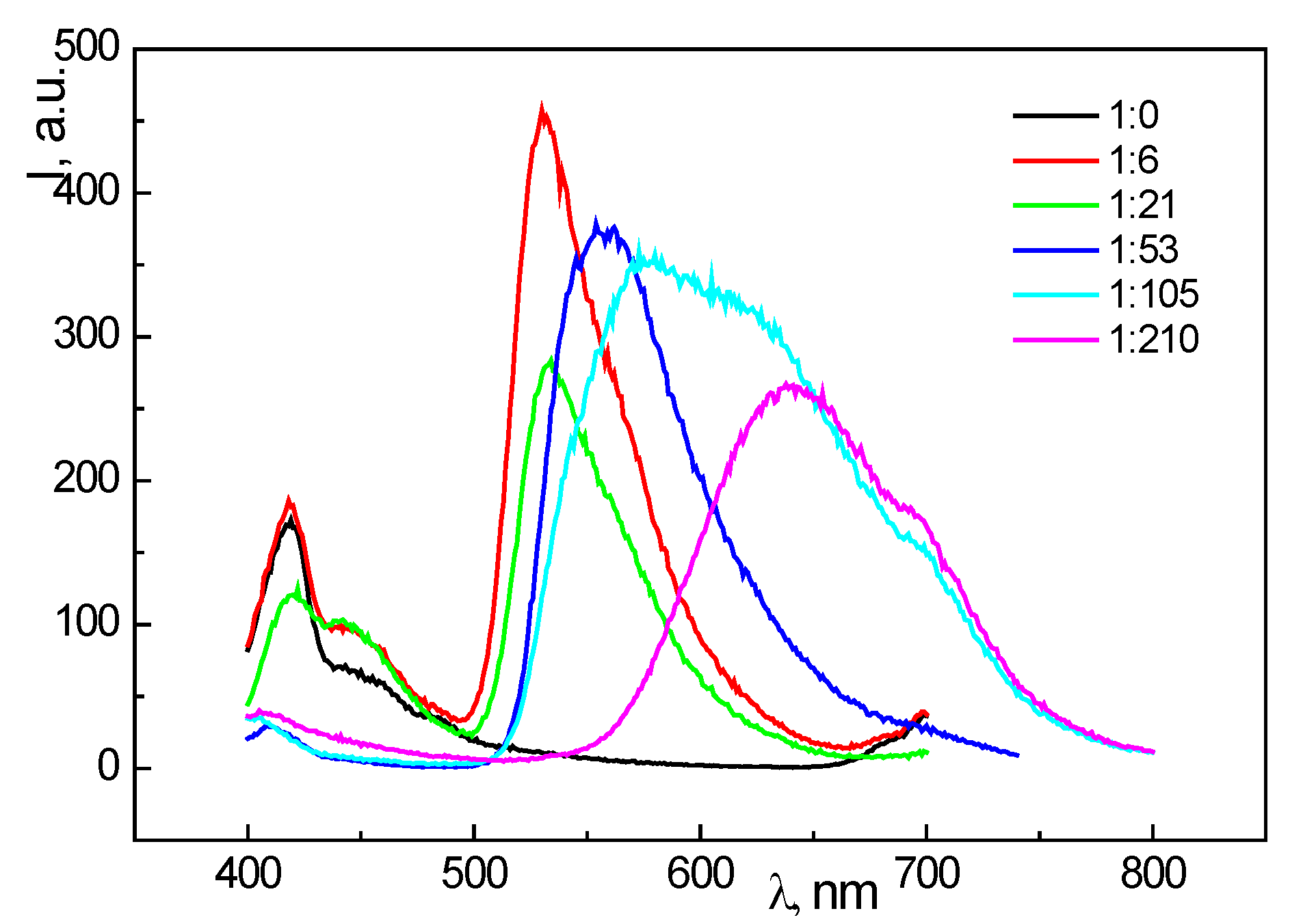
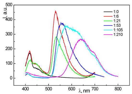
3.2.1. Thiazole Orange (TO) as Fluorophore
3.2.2. Metal Complexes as Fluorophores
3.2.3. Reflection Photometry
3.3. Discrimination Performance
3.3.1. Discrimination Performance Estimation Methods Suggested in This Study
3.3.2. Estimation of Discrimination Performance by Standard Techniques
4. Discussion
5. Conclusions
Supplementary Materials
Author Contributions
Funding
Acknowledgments
Conflicts of Interest
References
- Sádecká, J.; Tóthová, J. Fluorescence spectroscopy and chemometrics in the food classification—A review. Czech J. Food Sci. 2007, 25, 159–173. [Google Scholar]
- Karoui, R.; Blecker, C. Fluorescence spectroscopy measurement for quality assessment of food systems—A review. Food Bioproc. Technol. 2011, 4, 364–386. [Google Scholar] [CrossRef]
- Rukosueva, E.A.; Dobrolyubov, E.; Goryacheva, I.Y.; Beklemishev, M.K. Discrimination of whiskies using an “add-a-fluorophore” fluorescent fingerprinting strategy. Microchem. J. 2019, 145, 397–405. [Google Scholar] [CrossRef]
- Han, J.; Cheng, H.; Wang, B.; Braun, M.S.; Fan, X.; Bender, M.; Huang, W.; Domhan, C.; Mier, W.; Lindner, T.; et al. A Polymer/Peptide Complex-Based Sensor Array That Discriminates Bacteria in Urine. Angew. Chem. Int. Ed. 2017, 56, 15246–15251. [Google Scholar] [CrossRef] [PubMed]
- Wang, B.; Han, J.; Bojanowski, N.M.; Bender, M.; Ma, C.; Seehafer, K.; Herrmann, A.; Bunz, U.H.F. Bunz, an Optimized Sensor Array Identifies All Natural Amino Acids. ACS Sens. 2018, 3, 1562–1568. [Google Scholar] [CrossRef] [PubMed]
- Han, J.; Wang, B.; Bender, M.; Seehafer, K.; Bunz, U.H.F. Poly(p-phenyleneethynylene)-based tongues discriminate fruit juices. Analyst 2017, 142, 537–543. [Google Scholar] [CrossRef]
- Han, J.; Bender, M.; Seehafer, K.; Bunz, U.H.F. Identification of White Wines by using Two Oppositely Charged Poly(p-phenyleneethynylene)s Individually and in Complex. Angew. Chem. Int. Ed. 2016, 55, 7689–7692. [Google Scholar] [CrossRef]
- Miranda, O.R.; You, C.-C.; Phillips, R.; Kim, I.-B.; Ghosh, P.S.; Bunz, U.H.F.; Rotello, V. Array-Based Sensing of Proteins Using Conjugated Polymers. J. Am. Chem. Soc. 2007, 129, 9856–9857. [Google Scholar] [CrossRef]
- Wu, D.; Schanze, K. Protein Induced Aggregation of Conjugated Polyelectrolytes Probed with Fluorescence Correlation Spectroscopy: Application to Protein Identification. ACS Appl. Mater. Interf. 2014, 6, 7643–7651. [Google Scholar] [CrossRef]
- Wu, Y.; Tan, Y.; Wu, J.; Chen, S.; Chen, Y.Z.; Zhou, X.; Jiang, Y.; Tan, C. Fluorescence Array-Based Sensing of Metal Ions Using Conjugated Polyelectrolytes. ACS Appl. Mater. Interf. 2015, 7, 6882–6888. [Google Scholar] [CrossRef]
- Han, J.; Ma, C.; Wang, B.; Bender, M.; Bojanowski, M.; Hergert, M.; Seehafer, K.; Herrmann, A.; Bunz, U.H.F. A Hypothesis-Free Sensor Array Discriminates Whiskies for Brand, Age, and Taste. Chem 2017, 2, 817–824. [Google Scholar] [CrossRef]
- Han, J.; Wang, B.; Bender, M.; Kushida, S.; Seehafer, K.; Bunz, U.H.F. Bunz, Poly(aryleneethynylene) Tongue Identifies Nonsteroidal Anti-inflammatory Drugs in Water: A Test Case for Combating Counterfeit Drugs. ACS Appl. Mater. Interf. 2017, 9, 790–797. [Google Scholar] [CrossRef] [PubMed]
- Divyanin, N.N.; Razina, A.V.; Rukosueva, E.A.; Garmash, A.V.; Beklemishev, M.K. Discrimination of 2-3-component mixtures of organic analytes by a “fluorescent tongue”. Microchem. J. 2017, 135, 48–54. [Google Scholar] [CrossRef]
- Divyanin, N.N.; Rukosueva, E.A.; Garmash, A.V.; Beklemishev, M.K. Recognition of Model Analyte Mixtures in the Presence of Blood Plasma Using a Mixture of Fluorophores (“Fluorescent Tongue”). J. Anal. Chem. 2018, 73, 1195–1201. [Google Scholar] [CrossRef]
- Sun, S.; Jiang, K.; Qian, S.; Wang, Y.; Lin, H. Applying Carbon Dots-Metal Ions Ensembles as a Multichannel Fluorescent Sensor Array: Detection and Discrimination of Phosphate Anions. Anal. Chem. 2017, 89, 5542–5548. [Google Scholar] [CrossRef]
- Kong, H.; Lu, Y.; Wang, H.; Wen, F.; Zhang, S.; Zhang, X. Protein Discrimination Using Fluorescent Gold Nanoparticles on Plasmonic Substrates. Anal. Chem. 2012, 84, 4258–4261. [Google Scholar] [CrossRef]
- Cao, Y.; Zhang, L.; Huang, X.; Xin, Y.; Ding, L. Discrimination of Metalloproteins by a Mini Sensor Array Based on Bispyrene Fluorophore/Surfactant Aggregate Ensembles. ACS Appl. Mater. Interf. 2016, 8, 35650–35659. [Google Scholar] [CrossRef]
- Köstereli, Z.; Scopelliti, R.; Severin, K. Pattern-based sensing of aminoglycosides with fluorescent amphiphiles. Chem. Sci. 2014, 5, 2456–2460. [Google Scholar] [CrossRef]
- Cao, Y.; Ding, L.; Hu, W.; Peng, J.; Fang, Y. A surfactant-modulated fluorescent sensor with pattern recognition capability: Sensing and discriminating multiple heavy metal ions in aqueous solution. J. Mater. Chem. A 2014, 43, 1–8. [Google Scholar] [CrossRef]
- Melnikov, A.G.; Melnikov, G.V.; Varezhnikov, A.S.; Efremova, V.V.; Kuenbaeva, V.R.; Dykin, V.S.; Sysoev, V.V. The fluorescencent multi-sensor array to selectively detect a presence of various heavy metals in aqua solutions. In Proceedings of the 2016 International Conference on Actual Problems of Electron Devices Engineering (APEDE), Saratov, Russia, 22–23 September 2016; pp. 1–3. [Google Scholar] [CrossRef]
- Abdel-Ghany, M.F.; Hussein, L.A.; Ayad, M.F.; Youssef, M.M. Youssef, Investigation of different spectrophotometric and chemometric methods for determination of entacapone, levodopa and carbidopa in ternary mixture. Spectr. Acta. A 2017, 171, 236–245. [Google Scholar] [CrossRef]
- Gitlina, A.Y.; Surkova, A.; Ivonina, M.V.; Sizov, V.V.; Petrovskii, S.K.; Legin, A.; Starova, G.L.; Koshevoy, I.O.; Grachova, E.V.; Kirsanov, D.O. Kirsanov. Cyclometalated Ir(III) complexes as tuneable multiband light sources for optical multisensor systems: Feasibility study. Dyes. Pigm. 2020, 180, 108428. [Google Scholar] [CrossRef]
- Siddiqui, A.J.; Musharraf, S.G.; Choudhary, M.I.; Rahman, A.-U. Application of analytical methods in authentication and adulteration of honey. Food Chem. 2017, 217, 687–698. [Google Scholar] [CrossRef] [PubMed]
- Lenhardt, L.; Bro, R.; Zeković, I.; Dramicanin, T.; Dramićanin, M.D. Fluorescence spectroscopy coupled with PARAFAC and PLS DA for characterization and classification of honey. Food Chem. 2015, 175, 284–291. [Google Scholar] [CrossRef] [PubMed]
- Dramicanin, T.; Lenhardt, L.; Zeković, I.; Dramićanin, M.D. Detection of Adulterated Honey by Fluorescence Excitation-Emission Matrices. J. Spectrosc. 2018, 8395212. [Google Scholar] [CrossRef]
- Karoui, R.; Dufour, E.; Bosset, J.-O.; De Baerdemaeker, J. The use of front face fluorescence spectroscopy to classify the botanical origin of honey samples produced in Switzerland. Food Chem. 2007, 101, 314–323. [Google Scholar] [CrossRef]
- Ali, H.; Khan, S.; Ullah, R.; Khan, B. Fluorescence fingerprints of Sidr honey in comparison with uni/polyforal honey samples. Europ. Food Res. Technol. 2020, 246, 1829–1837. [Google Scholar] [CrossRef]
- Ruoff, K.; Luginbühl, W.; Künzli, R.; Bogdanov, S.; Bosset, J.O.; Von Der Ohe, K.; Von Der Ohe, W.; Amadò, R. Authentication of the Botanical and Geographical Origin of Honey by Front-Face Fluorescence Spectroscopy. J. Agric. Food Chem. 2006, 54, 6858–6866. [Google Scholar] [CrossRef]
- Jacobsen, J.P.; Pedersen, J.B.; Hansen, L.F.; Wemmer, D.E. Site selective bis-intercalation of a homodimeric thiazole orange dye in DNA oligonucleotides. Nucl. Acids Res. 1995, 23, 753–760. [Google Scholar] [CrossRef]
- Parikh, R.; Mathai, A.; Parikh, S.; Sekhar, G.C.; Thomas, R. Understanding and using sensitivity, specificity and predictive values. Indian J. Ophthalmol. 2008, 56, 45–50. [Google Scholar] [CrossRef]
- Dixon, S.J.; Brereton, R.G. Comparison of performance of five common classifiers represented as boundary methods: Euclidean distance to centroids, linear discriminant analysis, quadratic discriminant analysis, learning vector quantization and support vector machines, as dependent on data structure. Chemom. Intell. Lab. Syst. 2009, 95, 1–17. [Google Scholar]
- Amari, S.-I.; Wu, S. Improving support vector machine classifiers by modifying kernel functions. Neural Netw. 1999, 12, 783–789. [Google Scholar] [CrossRef]
- Boger, D.L.; Tse, W.C. Thiazole Orange as the Fluorescent Intercalator in a High Resolution FID Assay for Determining DNA Binding Affinity and Sequence Selectivity of Small Molecules. Bioorg. Med. Chem. 2001, 9, 2511–2518. [Google Scholar] [CrossRef]
- Gumus, E.; Kilic, N.; Sertbaş, A.; Ucan, O.N. Evaluation of face recognition techniques using PCA, wavelets and SVM. Expert Syst. Appl. 2010, 37, 6404–6408. [Google Scholar] [CrossRef]








| Fluorophore | Total Sensitivity | Number of Discriminated Groups # | RP | CrN | |||||
|---|---|---|---|---|---|---|---|---|---|
| by Mahalanobis Distance | QDA | LDA-Mah | SVM Lin | SVM Polyn 3 | SVM Rad Bas Func | ||||
| Ru(bpy)32+ | 86.1 | 69 | 72 | 94 | 83 | 86 | 14 | 44 | 112 |
| TO–DNA-1 | 80.6 | 67 | 75 | 86 | 81 | 83 | 11 | 26 | 112 |
| DNA-1 | 80.6 | 69 | 75 | 83 | 83 | 39 | 12 | 26 | 183 |
| No fluorophores * | 80.6 | 72 | 69 | 83 | 81 | 42 | 11 | 30 | 178 |
| DNA-2 | 73.3 | 69 | 69 | 67 | 67 | 33 | 12 | 24 | 208 |
| 8-Ox-Zn | 63.3 | 50 | 47 | 78 | 81 | 75 | 12 | 17 | 192 |
| TO–DNA-2 | 59.4 | 53 | 58 | 81 | 69 | 72 | 11 | 19 | 239 |
| r with CrN ** | 0.79 | 0.49 | 0.54 | 0.70 | 0.69 | 0.49 | 0.42 | 0.71 | 1.00 |
| r with RP *** | 0.83 | 0.67 | 0.44 | 0.62 | 0.67 | 0.19 | 0.70 | 1.00 | 0.71 |
| Fluorophore | Total Sensitivity | Number of Discriminated Groups # | RP | CrN | Rating ** | |||||
|---|---|---|---|---|---|---|---|---|---|---|
| by Mahalanobis Distance | QDA | LDA-Mah | SVM Lin | SVM Polyn 3 | SVM rad bas Func | |||||
| Ru(bpy)32+ | 1 | 3 | 3 | 1 | 1.5 | 1 | 1 | 1 | 1.5 | 14 |
| TO–DNA-1 | 3 | 5 | 1.5 | 2 | 4 | 2 | 6 | 3.5 | 1.5 | 28.5 |
| DNA-1 | 3 | 3 | 1.5 | 3.5 | 1.5 | 6 | 3 | 3.5 | 4 | 29 |
| No fluorophores * | 3 | 1 | 4.5 | 3.5 | 4 | 5 | 6 | 2 | 3 | 32 |
| DNA-2 | 5 | 3 | 4.5 | 7 | 7 | 7 | 3 | 5 | 6 | 47.5 |
| 8-Ox-Zn | 6 | 7 | 7 | 6 | 4 | 3 | 3 | 7 | 5 | 48 |
| TO–DNA-2 | 7 | 6 | 6 | 5 | 6 | 4 | 6 | 6 | 7 | 53 |
© 2020 by the authors. Licensee MDPI, Basel, Switzerland. This article is an open access article distributed under the terms and conditions of the Creative Commons Attribution (CC BY) license (http://creativecommons.org/licenses/by/4.0/).
Share and Cite
Rukosueva, E.A.; Belikova, V.A.; Krylov, I.N.; Orekhov, V.S.; Skorobogatov, E.V.; Garmash, A.V.; Beklemishev, M.K. Evaluation of Discrimination Performance in Case for Multiple Non-Discriminated Samples: Classification of Honeys by Fluorescent Fingerprinting. Sensors 2020, 20, 5351. https://doi.org/10.3390/s20185351
Rukosueva EA, Belikova VA, Krylov IN, Orekhov VS, Skorobogatov EV, Garmash AV, Beklemishev MK. Evaluation of Discrimination Performance in Case for Multiple Non-Discriminated Samples: Classification of Honeys by Fluorescent Fingerprinting. Sensors. 2020; 20(18):5351. https://doi.org/10.3390/s20185351
Chicago/Turabian StyleRukosueva, Elizaveta A., Valeria A. Belikova, Ivan N. Krylov, Vladislav S. Orekhov, Evgenii V. Skorobogatov, Andrei V. Garmash, and Mikhail K. Beklemishev. 2020. "Evaluation of Discrimination Performance in Case for Multiple Non-Discriminated Samples: Classification of Honeys by Fluorescent Fingerprinting" Sensors 20, no. 18: 5351. https://doi.org/10.3390/s20185351
APA StyleRukosueva, E. A., Belikova, V. A., Krylov, I. N., Orekhov, V. S., Skorobogatov, E. V., Garmash, A. V., & Beklemishev, M. K. (2020). Evaluation of Discrimination Performance in Case for Multiple Non-Discriminated Samples: Classification of Honeys by Fluorescent Fingerprinting. Sensors, 20(18), 5351. https://doi.org/10.3390/s20185351

