Prediction of End-Of-Season Tuber Yield and Tuber Set in Potatoes Using In-Season UAV-Based Hyperspectral Imagery and Machine Learning
Abstract
1. Introduction
2. Materials and Methods
2.1. Experimental Design and Field Data Collection
2.2. UAV-Based Hyperspectral Image Acquisition and Preprocessing
2.3. Model Development and Performance Evaluation
3. Results and Discussion
3.1. Model Comparison and Performance
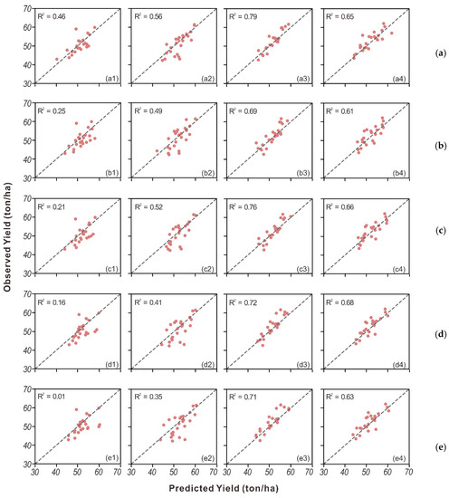
3.2. Model Adaptability Under Different Irrigation Treatments
3.3. Analysis of Feature Importance
4. Conclusions
Author Contributions
Funding
Acknowledgments
Conflicts of Interest
References
- Plich, J.; Tatarowska, B.; Milczarek, D.; Zimnoch-Guzowska, E.; Flis, B. Relationships between race-specific and race-non-specific resistance to potato late blight and length of potato vegetation period in various sources of resistance. Field Crop. Res. 2016, 196, 311–324. [Google Scholar] [CrossRef]
- Jefferies, R.A.; Heilbronn, T.D. Water stress as a constraint on growth in the potato crop. 1. Model development. Agric. For. Meteorol. 1991, 53, 185–196. [Google Scholar] [CrossRef]
- Fabeiro, C.; de Santa Olalla, F.M.; De Juan, J.A. Production of muskmelon (Cucumis melo L.) under controlled deficit irrigation in a semi-arid climate. Agric. Water Manag. 2002, 54, 93–105. [Google Scholar] [CrossRef]
- Sarker, K.K.; Hossain, A.; Timsina, J.; Biswas, S.K.; Kundu, B.C.; Barman, A.; Murad, K.F.I.; Akter, F. Yield and quality of potato tuber and its water productivity are influenced by alternate furrow irrigation in a raised bed system. Agric. Water Manag. 2019, 224, 105750. [Google Scholar] [CrossRef]
- Wang, Y.; Zhang, Z.; Feng, L.; Du, Q.; Runge, T. Combining Multi-Source Data and Machine Learning Approaches to Predict Winter Wheat Yield in the Conterminous United States. Remote Sens. 2020, 12, 1232. [Google Scholar] [CrossRef]
- Zhang, Z.; Jin, Y.; Chen, B.; Brown, P. California almond yield prediction at the orchard level with a machine learning approach. Front. Plant Sci. 2019, 10, 809. [Google Scholar] [CrossRef] [PubMed]
- Guan, K.; Wu, J.; Kimball, J.S.; Anderson, M.C.; Frolking, S.; Li, B.; Hain, C.R.; Lobell, D.B. The shared and unique values of optical, fluorescence, thermal and microwave satellite data for estimating large-scale crop yields. Remote Sens. Environ. 2017, 199, 333–349. [Google Scholar] [CrossRef]
- Nebiker, S.; Annen, A.; Scherrer, M.; Oesch, D. A light-weight multispectral sensor for micro UAV—Opportunities for very high resolution airborne remote sensing. Int. Arch. Photogramm. Remote Sens. Spat. Inf. Sci. 2008, 37, 1193–1199. [Google Scholar]
- Zhang, Z.; Masjedi, A.; Zhao, J.; Crawford, M.M. Prediction of Sorghum Biomass Based on Image Based Features Derived from Time Series of UAV Images; IEEE: Piscataway, NJ, USA, 2017; pp. 6154–6157. [Google Scholar]
- Habib, A.; Zhou, T.; Masjedi, A.; Zhang, Z.; Flatt, J.E.; Crawford, M. Boresight calibration of GNSS/INS-assisted push-broom hyperspectral scanners on UAV platforms. IEEE J. Sel. Top. Appl. Earth Obs. Remote Sens. 2018, 11, 1734–1749. [Google Scholar] [CrossRef]
- Shen, X.; Cao, L.; Yang, B.; Xu, Z.; Wang, G. Estimation of forest structural attributes using spectral indices and point clouds from UAS-based multispectral and RGB imageries. Remote Sens. 2019, 11, 800. [Google Scholar] [CrossRef]
- Chew, R.; Rineer, J.; Beach, R.; O’Neil, M.; Ujeneza, N.; Lapidus, D.; Miano, T.; Hegarty-Craver, M.; Polly, J.; Temple, D.S. Deep Neural Networks and Transfer Learning for Food Crop Identification in UAV Images. Drones 2020, 4, 7. [Google Scholar] [CrossRef]
- Li, B.; Xu, X.; Han, J.; Zhang, L.; Bian, C.; Jin, L.; Liu, J. The estimation of crop emergence in potatoes by UAV RGB imagery. Plant Methods 2019, 15, 15. [Google Scholar] [CrossRef] [PubMed]
- Roosjen, P.P.J.; Brede, B.; Suomalainen, J.M.; Bartholomeus, H.M.; Kooistra, L.; Clevers, J.G.P.W. Improved estimation of leaf area index and leaf chlorophyll content of a potato crop using multi-angle spectral data–potential of unmanned aerial vehicle imagery. Int. J. Appl. Earth Obs. Geoinf. 2018, 66, 14–26. [Google Scholar] [CrossRef]
- Gao, Z.; Zhao, Y.; Khot, L.R.; Hoheisel, G.-A.; Zhang, Q. Optical sensing for early spring freeze related blueberry bud damage detection: Hyperspectral imaging for salient spectral wavelengths identification. Comput. Electron. Agric. 2019, 167, 105025. [Google Scholar] [CrossRef]
- Kawamura, K.; Ikeura, H.; Phongchanmaixay, S.; Khanthavong, P. Canopy hyperspectral sensing of paddy fields at the booting stage and PLS regression can assess grain yield. Remote Sens. 2018, 10, 1249. [Google Scholar] [CrossRef]
- Moghimi, A.; Yang, C.; Anderson, J.A. Aerial hyperspectral imagery and deep neural networks for high-throughput yield phenotyping in wheat. Comput. Electron. Agric. 2020, 172, 105299. [Google Scholar] [CrossRef]
- Oehlschläger, J.; Schmidhalter, U.; Noack, P.O. UAV-Based Hyperspectral Sensing for Yield Prediction in Winter Barley; IEEE: Piscataway, NJ, USA, 2018; pp. 1–4. [Google Scholar]
- Priya, S.; Shibasaki, R. National spatial crop yield simulation using GIS-based crop production model. Ecol. Model. 2001, 136, 113–129. [Google Scholar] [CrossRef]
- Saue, T.; Kadaja, J. Water limitations on potato yield in Estonia assessed by crop modelling. Agric. For. Meteorol. 2014, 194, 20–28. [Google Scholar] [CrossRef]
- Raymundo, R.; Asseng, S.; Cammarano, D.; Quiroz, R. Potato, sweet potato, and yam models for climate change: A review. Field Crop. Res. 2014, 166, 173–185. [Google Scholar] [CrossRef]
- Borus, D.; Parsons, D.; Boersma, M.; Brown, H.; Mohammed, C. Improving the prediction of potato productivity: APSIM-Potato model parameterization and evaluation in Tasmania, Australia. Aust. J. Crop Sci. 2018, 12, 32–43. [Google Scholar] [CrossRef]
- Roth, O.; Derron, J.; Fischlin, A.; Nemecek, T.; Ulrich, M. Implementation and Parameter Adaptation of a Potato Crop Simulation Model Combined with a Soil Water Subsystem; International Agricultural Centre: Wageningen, The Netherlands, 1990. [Google Scholar]
- Machakaire, A.T.B.; Steyn, J.M.; Caldiz, D.O.; Haverkort, A.J. Forecasting yield and tuber size of processing potatoes in South Africa using the LINTUL-potato-DSS model. Potato Res. 2016, 59, 195–206. [Google Scholar] [CrossRef]
- Lobell, D.B.; Burke, M.B. On the use of statistical models to predict crop yield responses to climate change. Agric. For. Meteorol. 2010, 150, 1443–1452. [Google Scholar] [CrossRef]
- Gómez, D.; Salvador, P.; Sanz, J.; Casanova, J.L. Potato yield prediction using machine learning techniques and sentinel 2 data. Remote Sens. 2019, 11, 1745. [Google Scholar] [CrossRef]
- Potato (Solanum Tuberosum). Available online: http://bioweb.uwlax.edu/bio203/s2009/bradley_adam/Growth.htm (accessed on 6 January 2020).
- Patrignani, A.; Ochsner, T.E. Canopeo: A powerful new tool for measuring fractional green canopy cover. Agron. J. 2015, 107, 2312–2320. [Google Scholar] [CrossRef]
- Ohsowski, B.M.; Dunfield, K.E.; Klironomos, J.N.; Hart, M.M. Improving plant biomass estimation in the field using partial least squares regression and ridge regression. Botany 2016, 94, 501–508. [Google Scholar] [CrossRef]
- Cheng, J.-H.; Sun, D.-W. Partial least squares regression (PLSR) applied to NIR and HSI spectral data modeling to predict chemical properties of fish muscle. Food Eng. Rev. 2017, 9, 36–49. [Google Scholar] [CrossRef]
- Vapnik, V.; Golowich, S.E.; Smola, A.J. Support Vector Method for Function Approximation, Regression Estimation and Signal Processing; MIT Press: Cambridge, MA, USA, 1997; pp. 281–287. [Google Scholar]
- Zhou, X.; Zhu, X.; Dong, Z.; Guo, W. Estimation of biomass in wheat using random forest regression algorithm and remote sensing data. Crop J. 2016, 4, 212–219. [Google Scholar]
- Wang, Y.; Wu, X.; Chen, Z.; Ren, F.; Feng, L.; Du, Q. Optimizing the predictive ability of machine learning methods for landslide susceptibility mapping using smote for lishui city in zhejiang province, china. Int. J. Environ. Res. Public Health 2019, 16, 368. [Google Scholar] [CrossRef]
- Solomatine, D.P.; Shrestha, D.L. AdaBoost. RT: A Boosting Algorithm for Regression Problems; IEEE: Piscataway, NJ, USA, 2004; pp. 1163–1168. [Google Scholar]
- Iritani, W.M.; Weiler, L.D.; Knowles, N.R. Relationships between stem number, tuber set and yield of Russet Burbank potatoes. Am. Potato J. 1983, 60, 423–431. [Google Scholar] [CrossRef]
- Tibshirani, R. Modern Regression 1: Ridge Regression; SAGE Publications Ltd.: Thousand Oaks, CA, USA, 2013; pp. 462–662. [Google Scholar]
- Kidwell, J.S.; Brown, L.H. Ridge regression as a technique for analyzing models with multicollinearity. J. Marriage Fam. 1982, 44, 287–299. [Google Scholar] [CrossRef]
- Hernandez, J.; Lobos, G.A.; Matus, I.; Del Pozo, A.; Silva, P.; Galleguillos, M. Using ridge regression models to estimate grain yield from field spectral data in bread wheat (Triticum aestivum L.) grown under three water regimes. Remote Sens. 2015, 7, 2109–2126. [Google Scholar] [CrossRef]
- Trachsel, S.; Dhliwayo, T.; Gonzalez Perez, L.; Mendoza Lugo, J.A.; Trachsel, M. Estimation of physiological genomic estimated breeding values (PGEBV) combining full hyperspectral and marker data across environments for grain yield under combined heat and drought stress in tropical maize (Zea mays L.). PLoS ONE 2019, 14, e0212200. [Google Scholar] [CrossRef]
- Thissen, U.; Pepers, M.; Üstün, B.; Melssen, W.J.; Buydens, L.M.C. Comparing support vector machines to PLS for spectral regression applications. Chemom. Intell. Lab. Syst. 2004, 73, 169–179. [Google Scholar] [CrossRef]
- Awad, M.; Khanna, R. Support vector regression. In Efficient Learning Machines; Springer: Berlin/Heidelberg, Germany, 2015; pp. 67–80. [Google Scholar]
- Feng, L.; Zhang, Z.; Ma, Y.; Du, Q.; Williams, P.; Drewry, J.; Luck, B. Alfalfa Yield Prediction Using UAV-Based Hyperspectral Imagery and Ensemble Learning. Remote Sens. 2020, 12, 2028. [Google Scholar] [CrossRef]
- Zhang, Z.; Yang, Z.; Ren, W.; Wen, G. Random forest-based real-time defect detection of Al alloy in robotic arc welding using optical spectrum. J. Manuf. Process. 2019, 42, 51–59. [Google Scholar] [CrossRef]
- Menze, B.H.; Kelm, B.M.; Masuch, R.; Himmelreich, U.; Bachert, P.; Petrich, W.; Hamprecht, F.A. A comparison of random forest and its Gini importance with standard chemometric methods for the feature selection and classification of spectral data. BMC Bioinform. 2009, 10, 213. [Google Scholar] [CrossRef]
- Heo, J.; Yang, J.Y. AdaBoost based bankruptcy forecasting of Korean construction companies. Appl. Soft Comput. 2014, 24, 494–499. [Google Scholar] [CrossRef]
- Haverkort, A.J.; Van de Waart, M.; Bodlaender, K.B.A. Interrelationships of the number of initial sprouts, stems, stolons and tubers per potato plant. Potato Res. 1990, 33, 269–274. [Google Scholar] [CrossRef]






| Irrigation Rate | Min. (ton/ha) | Mean (ton/ha) | Max. (ton/ha) | STD (ton/ha) |
|---|---|---|---|---|
| 50% of ETc | 42.92 | 50.57 | 59.89 | 4.32 |
| 75% of ETc | 42.33 | 51.15 | 61.43 | 5.53 |
| 100% of ETc | 42.62 | 52.62 | 61.70 | 5.09 |
| 125% of ETc | 43.51 | 52.63 | 62.09 | 4.76 |
| Irrigation Rate | Min. (pcs/plot) | Mean (pcs/plot) | Max. (pcs/plot) | STD (pcs/plot) |
|---|---|---|---|---|
| 50% of ETc | 530 | 650 | 819 | 85 |
| 75% of ETc | 499 | 647 | 853 | 92 |
| 100% of ETc | 537 | 653 | 786 | 81 |
| 125% of ETc | 514 | 657 | 807 | 96 |
| Model | Metrics | Aug. 6 + Aug. 15 | Aug. 6 | Aug. 15 |
|---|---|---|---|---|
| OLS | R2 | 0.13 (0.26) | −0.51 (0.79) | −0.45 (0.67) |
| RMSE | 4.53 (0.33) | 5.85 (1.22) | 5.81 (1.42) | |
| Ridge | R2 | 0.63 (0.03) | 0.58 (0.12) | 0.55 (0.07) |
| RMSE | 3.03 (0.29) | 3.21 (0.57) | 3.33 (0.31) | |
| PLSR | R2 | 0.53 (0.04) | 0.37 (0.09) | 0.53 (0.06) |
| RMSE | 3.40 (0.24) | 3.92 (0.25) | 3.40 (0.29) | |
| SVR | R2 | 0.57 (0.03) | 0.39 (0.11) | 0.52 (0.03) |
| RMSE | 3.28 (0.28) | 3.90 (0.57) | 3.47 (0.32) | |
| RF | R2 | 0.51 (0.10) | 0.45 (0.03) | 0.43 (0.13) |
| RMSE | 3.46 (0.28) | 3.70 (0.41) | 3.73 (0.30) | |
| AdaBoost | R2 | 0.45 (0.08) | 0.46 (0.06) | 0.38 (0.14) |
| RMSE | 3.66 (0.29) | 3.66 (0.49) | 3.87 (0.42) |
| Model | Metrics | Aug. 6 + Aug. 15 | Aug. 6 | Aug. 15 |
|---|---|---|---|---|
| OLS | R2 | 0.03 (0.30) | −2.99 (0.86) | −0.49 (1.39) |
| RMSE | 85.27 (14.09) | 175.01 (24.09) | 96.71 (40.59) | |
| Ridge | R2 | 0.69 (0.10) | 0.61 (0.09) | 0.61 (0.12) |
| RMSE | 48.15 (6.72) | 54.77 (7.36) | 54.50 (6.69) | |
| PLSR | R2 | 0.69 (0.07) | 0.61 (0.11) | 0.57 (0.15) |
| RMSE | 48.81 (4.40) | 54.96 (8.70) | 56.44 (8.34) | |
| SVR | R2 | 0.67 (0.05) | 0.55 (0.06) | 0.60 (0.06) |
| RMSE | 50.65 (5.04) | 58.66 (4.87) | 55.80 (4.29) | |
| RF | R2 | 0.60 (0.08) | 0.45 (0.13) | 0.59 (0.06) |
| RMSE | 55.62 (6.39) | 64.71 (8.09) | 56.34 (5.20) | |
| AdaBoost | R2 | 0.66 (0.08) | 0.45 (0.27) | 0.56 (0.02) |
| RMSE | 50.97 (7.93) | 63.31 (15.37) | 58.28 (3.04) |
| Model | Metrics | 50% of ETc | 75% of ETc | 100% of ETc | 125% of ETc |
|---|---|---|---|---|---|
| Ridge | R2 | 0.46 | 0.56 | 0.79 | 0.65 |
| RMSE | 3.16 | 3.68 | 2.36 | 2.82 | |
| PLSR | R2 | 0.25 | 0.49 | 0.69 | 0.61 |
| RMSE | 3.73 | 3.95 | 2.84 | 2.98 | |
| SVR | R2 | 0.21 | 0.52 | 0.76 | 0.66 |
| RMSE | 3.83 | 3.85 | 2.51 | 2.79 | |
| RF | R2 | 0.16 | 0.41 | 0.72 | 0.68 |
| RMSE | 3.96 | 4.26 | 2.71 | 2.68 | |
| AdaBoost | R2 | 0.01 | 0.35 | 0.71 | 0.63 |
| RMSE | 4.30 | 4.45 | 2.75 | 2.89 |
| Model | Metrics | 50% of ETc | 75% of ETc | 100% of ETc | 125% of ETc |
|---|---|---|---|---|---|
| Ridge | R2 | 0.51 | 0.69 | 0.82 | 0.76 |
| RMSE | 59.21 | 51.17 | 34.28 | 46.48 | |
| PLSR | R2 | 0.55 | 0.72 | 0.79 | 0.71 |
| RMSE | 57.09 | 48.39 | 37.34 | 51.21 | |
| SVR | R2 | 0.52 | 0.70 | 0.75 | 0.70 |
| RMSE | 58.68 | 50.79 | 40.63 | 52.17 | |
| RF | R2 | 0.50 | 0.57 | 0.71 | 0.64 |
| RMSE | 60.23 | 60.69 | 43.89 | 57.55 | |
| AdaBoost | R2 | 0.47 | 0.65 | 0.77 | 0.74 |
| RMSE | 61.65 | 54.59 | 38.78 | 49.15 |
© 2020 by the authors. Licensee MDPI, Basel, Switzerland. This article is an open access article distributed under the terms and conditions of the Creative Commons Attribution (CC BY) license (http://creativecommons.org/licenses/by/4.0/).
Share and Cite
Sun, C.; Feng, L.; Zhang, Z.; Ma, Y.; Crosby, T.; Naber, M.; Wang, Y. Prediction of End-Of-Season Tuber Yield and Tuber Set in Potatoes Using In-Season UAV-Based Hyperspectral Imagery and Machine Learning. Sensors 2020, 20, 5293. https://doi.org/10.3390/s20185293
Sun C, Feng L, Zhang Z, Ma Y, Crosby T, Naber M, Wang Y. Prediction of End-Of-Season Tuber Yield and Tuber Set in Potatoes Using In-Season UAV-Based Hyperspectral Imagery and Machine Learning. Sensors. 2020; 20(18):5293. https://doi.org/10.3390/s20185293
Chicago/Turabian StyleSun, Chen, Luwei Feng, Zhou Zhang, Yuchi Ma, Trevor Crosby, Mack Naber, and Yi Wang. 2020. "Prediction of End-Of-Season Tuber Yield and Tuber Set in Potatoes Using In-Season UAV-Based Hyperspectral Imagery and Machine Learning" Sensors 20, no. 18: 5293. https://doi.org/10.3390/s20185293
APA StyleSun, C., Feng, L., Zhang, Z., Ma, Y., Crosby, T., Naber, M., & Wang, Y. (2020). Prediction of End-Of-Season Tuber Yield and Tuber Set in Potatoes Using In-Season UAV-Based Hyperspectral Imagery and Machine Learning. Sensors, 20(18), 5293. https://doi.org/10.3390/s20185293

