Feasibility and Preliminary Efficacy of a Foot-Ankle Exercise Program Aiming to Improve Foot-Ankle Functionality and Gait Biomechanics in People with Diabetic Neuropathy: A Randomized Controlled Trial
Abstract
1. Background
2. Methods
2.1. Study Design and Ethics
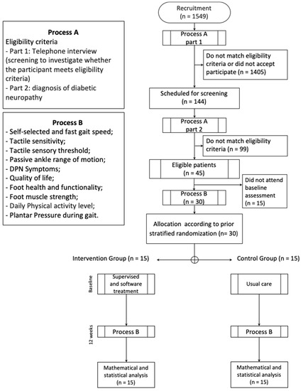
2.2. Participants
2.3. Randomization, Allocation and Blinding
2.4. Intervention Protocol
2.5. Outcomes
2.5.1. Outcomes for Feasibility
2.5.2. Outcomes of the Efficacy of the Exercise Program
2.6. Statistical Analysis
3. Results
3.1. Feasibility Outcomes
3.1.1. Recruitment
3.1.2. Adherence to the Exercise Program and to the Assessments and Dropout Rate
3.1.3. Participant Satisfaction
3.2. Program Efficacy Outcomes
4. Discussion
4.1. Feasibility
4.2. Program Efficacy
5. Conclusions
Author Contributions
Funding
Acknowledgments
Conflicts of Interest
Ethical Statement
References
- Shakher, J.; Stevens, M. Update on the management of diabetic polyneuropathies. Diabetes, Metab. Syndr. Obes. Targets Ther. 2011, 4, 289–305. [Google Scholar] [CrossRef]
 - Sacco, I.C.N.; Picon, A.P.; Macedo, D.O.; Butugan, M.K.; Watari, R.; Sartor, C.D. Alterations in the Lower Limb Joint Moments Precede the Peripheral Neuropathy Diagnosis in Diabetes Patients. Diabetes Technol. Ther. 2015, 17, 405–412. [Google Scholar] [CrossRef] [PubMed]
 - Watari, R.; Sartor, C.D.; Picon, A.P.; Butugan, M.K.; Amorim, C.F.; Ortega, N.R.S.; Sacco, I.C.N. Effect of diabetic neuropathy severity classified by a fuzzy model in muscle dynamics during gait. J. Neuroeng. Rehabil. 2014, 11, 1–9. [Google Scholar] [CrossRef] [PubMed]
 - Gomes, A.A.; Onodera, A.N.; Otuzi, M.E.I.; Pripas, D.; Mezzarane, R.A.; Sacco, I.C.N. Electromyography and kinematic changes of gait cycle at different cadences in diabetic neuropathic individuals. Muscle Nerve 2011, 44, 258–268. [Google Scholar] [CrossRef] [PubMed]
 - Bacarin, T.A.; Sacco, I.C.N.; Hennig, E.M. Plantar pressure distribution patterns during gait in diabetic neuropathy patients with a history of foot ulcers. Clinics 2009, 64, 113–120. [Google Scholar] [CrossRef]
 - Giacomozzi, C.; Caselli, A.; Macellari, V.; Giurato, L.; Lardieri, L.; Uccioli, L. Walking strategy in diabetic patients with peripheral neuropathy. Diabetes Care 2002, 25, 1451–1457. [Google Scholar] [CrossRef]
 - Crawford, F.; Inkster, M.; Kleijnen, J.; Fahey, T. Predicting foot ulcers in patients with diabetes: A systematic review and meta-analysis. Qjm 2006, 100, 65–86. [Google Scholar] [CrossRef]
 - Mueller, M.J.; Hastings, M.; Commean, P.K.; Smith, K.E.; Pilgram, T.K.; Robertson, D.; Johnson, J. Forefoot structural predictors of plantar pressures during walking in people with diabetes and peripheral neuropathy. J. Biomech. 2003, 36, 1009–1017. [Google Scholar] [CrossRef]
 - Cheuy, V.A.; Hastings, M.K.; Commean, P.K.; Ward, S.R.; Mueller, M.J. Intrinsic foot muscle deterioration is associated with metatarsophalangeal joint angle in people with diabetes and neuropathy. Clin. Biomech. 2013, 28, 1055–1060. [Google Scholar] [CrossRef]
 - Sartor, C.D.; Hasue, R.H.; Cacciari, L.P.; Butugan, M.K.; Watari, R.; Passaro, A.C.; Giacomozzi, C.; Sacco, I.C. Effects of strengthening, stretching and functional training on foot function in patients with diabetic neuropathy: Results of a randomized controlled trial. BMC Musculoskelet. Disord. 2014, 15, 137. [Google Scholar] [CrossRef]
 - Chang, C.F.; Chang, C.C.; Hwang, S.L.; Chen, M.Y. Effects of Buerger Exercise Combined Health-Promoting Program on Peripheral Neurovasculopathy Among Community Residents at High Risk for Diabetic Foot Ulceration. Worldviews Evidence-Based Nurs. 2015, 12, 145–153. [Google Scholar] [CrossRef] [PubMed]
 - Kanchanasamut, W.; Pensri, P. Effects of weight-bearing exercise on a mini-trampoline on foot mobility, plantar pressure and sensation of diabetic neuropathic feet; a preliminary study. Diabet. Foot Ankle 2017, 8, 1–10. [Google Scholar] [CrossRef] [PubMed]
 - Cerrahoglu, L.; Koşan, U.; Sirin, T.C.; Ulusoy, A. Range of motion and plantar pressure evaluation for the effects of self-care foot exercises on diabetic patients with and without neuropathy. J. Am. Podiatr. Med. Assoc. 2016, 106, 189–200. [Google Scholar] [CrossRef] [PubMed]
 - Dijs, H.; Roofthooft, J.; Driessens, M.; De Bock, P.; Jacobs, C.; Van Acker, K. Effect of physical therapy on limited joint mobility in the diabetic foot. A pilot study. J. Am. Podiatr. Med. Assoc. 2000, 90, 126–132. [Google Scholar] [CrossRef]
 - Iunes, D.H.; Rocha, C.B.J.; Borges, N.C.S.; Marcon, C.O.; Pereira, V.M.; Carvalho, L.C. Self-care associated with home exercises in patients with type 2 diabetes mellitus. PLoS ONE 2014, 9, 1–13. [Google Scholar] [CrossRef]
 - Mueller, M.J.; Tuttle, L.J.; Lemaster, J.W.; Strube, M.J.; McGill, J.B.; Hastings, M.K.; Sinacore, D.R. Weight-bearing versus nonweight-bearing exercise for persons with diabetes and peripheral neuropathy: A randomized controlled trial. Arch. Phys. Med. Rehabil. 2013, 94, 829–838. [Google Scholar] [CrossRef]
 - Goldsmith, J.R.; Lidtke, R.H.; Shott, S. The effects of range-of-motion therapy on the plantar pressures of patients with diabetes mellitus. J. Am. Podiatr. Med. Assoc. 2002, 92, 483–490. [Google Scholar] [CrossRef]
 - Fayed, E.E.; Badr, N.M.; Mahmoud, S.; Hakim, S.A. Exercise therapy improves planter pressure distribution in patients with diabetic peripheral neuropathy. Int. J. PharmTech Res. 2016, 9, 151–159. [Google Scholar]
 - York, R.M.; Perell-Gerson, K.L.; Barr, M.; Durham, J.; Roper, J.M. Motor Learning of a Gait Pattern to Reduce Forefoot Plantar Pressures in Individuals with Diabetic Peripheral Neuropathy. PM R 2009, 1, 434–441. [Google Scholar] [CrossRef]
 - Pataky, Z.; de Leon Rodriguez, D.; Allet, L.; Golay, A.; Assal, M.; Assal, J.-P.; Hauert, C.-A. Biofeedback for foot offloading in diabetic patients with peripheral neuropathy. Diabet. Med. 2010, 27, 61–64. [Google Scholar] [CrossRef]
 - Allet, L.; Armand, S.; de Bie, R.A.; Golay, A.; Monnin, D.; Aminian, K.; Staal, J.B.; de Bruin, E.D. The gait and balance of patients with diabetes can be improved: A randomised controlled trial. Diabetologia 2010, 53, 458–466. [Google Scholar] [CrossRef] [PubMed]
 - Francia, P.; Anichini, R.; De Bellis, A.; Seghieri, G.; Lazzeri, R.; Paternostro, F.; Gulisano, M. Diabetic foot prevention: The role of exercise therapy in the treatment of limited joint mobility, muscle weakness and reduced gait speed. Ital. J. Anat. Embryol. 2015, 120, 21–32. [Google Scholar] [CrossRef] [PubMed]
 - van Netten, J.J.; Sacco, I.C.N.; Lavery, L.A.; Monteiro-Soares, M.; Rasmussen, A.; Raspovic, A.; Bus, S.A. Treatment of modifiable risk factors for foot ulceration in persons with diabetes: A systematic review. Diabetes. Metab. Res. Rev. 2020, 36, 1–19. [Google Scholar] [CrossRef] [PubMed]
 - Sacco, I.C.N.; Sartor, C.D. From treatment to preventive actions: Improving function in patients with diabetic polyneuropathy. Diabetes. Metab. Res. Rev. 2016, 32, 206–212. [Google Scholar] [CrossRef] [PubMed]
 - Richardson, J.K.; Sandman, D.; Vela, S. A focused exercise regimen improves clinical measures of balance in patients with peripheral neuropathy. Arch. Phys. Med. Rehabil. 2001, 82, 205–209. [Google Scholar] [CrossRef]
 - Allet, L.; Armand, S.; Aminian, K.; Pataky, Z.; Golay, A.; de Bie, R.A.; de Bruin, E.D. An exercise intervention to improve diabetic patients? gait in a real-life environment. Gait Posture 2010, 32, 185–190. [Google Scholar] [CrossRef] [PubMed]
 - Pabón-Carrasco, M.; Castro-Méndez, A.; Vilar-Palomo, S.; Jiménez-Cebrián, A.M.; García-Paya, I.; Palomo-Toucedo, I.C. Randomized clinical trial: The effect of exercise of the intrinsic muscle on foot pronation. Int. J. Environ. Res. Public Health 2020, 17, 4882. [Google Scholar] [CrossRef]
 - Sulowska, I.; Mika, A.; Oleksy, Ł.; Stolarczyk, A. The Influence of Plantar Short Foot Muscle Exercises on the Lower Extremity Muscle Strength and Power in Proximal Segments of the Kinematic Chain in Long-Distance Runners. Biomed Res. Int. 2019, 2019. [Google Scholar] [CrossRef]
 - Bus, S.A.; Lavery, L.A.; Monteiro-Soares, M.; Rasmussen, A.; Raspovic, A.; Sacco, I.C.N.; van Netten, J.J. Guidelines on the prevention of foot ulcers in persons with diabetes (IWGDF 2019 update). Diabetes. Metab. Res. Rev. 2020, 36, 1–18. [Google Scholar] [CrossRef]
 - Monteiro, R.L.; Sartor, C.D.; Ferreira, J.S.S.P.; Dantas, M.G.B.; Bus, S.A.; Sacco, I.C.N. Protocol for evaluating the effects of a foot-ankle therapeutic exercise program on daily activity, foot-ankle functionality, and biomechanics in people with diabetic polyneuropathy: A randomized controlled trial. BMC Musculoskelet. Disord. 2018, 19, 1–12. [Google Scholar] [CrossRef]
 - Bowen, D.; Kreuter, M.; Spring, B.; Cofta-Woerpel, L.; Linnan, L.; Weiner, D.; Bakken, S.; Kaplan, C.P.; Squiers, L.; Fabrizio, C.; et al. How We Design Feasibility Studies. Am. J. Prev. Med. 2009, 36, 452–457. [Google Scholar] [CrossRef] [PubMed]
 - Mickle, K.J.; Munro, B.J.; Lord, S.R.; Menz, H.B.; Steele, J.R. ISB Clinical Biomechanics Award 2009. Toe weakness and deformity increase the risk of falls in older people. Clin. Biomech. 2009, 24, 787–791. [Google Scholar] [CrossRef]
 - Resnick, B.; Nahm, E.S.; Orwig, D.; Zimmerman, S.S.; Magaziner, J. Measurement of activity in older adults: Reliability and validity of the Step Activity Monitor. J. Nurs. Meas. 2001, 9, 275–290. [Google Scholar] [CrossRef] [PubMed]
 - Maluf, K.S.; Mueller, M.J. Comparison of physical activity and cumulative plantar tissue stress among subjects with and without diabetes mellitus and a history of recurrent plantar ulcers. Clin. Biomech. 2003, 18, 567–575. [Google Scholar] [CrossRef]
 - White, D.K.; Neogi, T.; Nevitt, M.C.; Peloquin, C.E.; Zhu, Y.; Boudreau, R.M.; Cauley, J.A.; Ferrucci, L.; Harris, T.B.; Satterfield, S.M.; et al. Trajectories of gait speed predict mortality in well-functioning older adults: The health, aging and body composition study. J. Gerontol. Ser. A Biol. Sci. Med. Sci. 2013, 68, 456–464. [Google Scholar] [CrossRef] [PubMed]
 - Boulton, A.J.M.; Armstrong, D.G.; Albert, S.F.; Frykberg, R.G.; Hellman, R.; Kirkman, M.S.; Lavery, L.A.; LeMaster, J.W.; Mills, J.L.; Mueller, M.J.; et al. Comprehensive Foot Examination and Risk Assessment: A report of the Task Force of the Foot Care Interest Group of the American Diabetes Association, with endorsement by the American Association of Clinical Endocrinologists. Diabetes Care 2008, 31, 1679–1685. [Google Scholar] [CrossRef]
 - Frykberg, R.G.; Lavery, L.A.; Pham, H.; Harvey, C.; Harkless, L.; Veves, A. Role of Neuropathy and High Foot Pressures in Diabetic Foot Ulceration. Diabetes Care 1998, 21, 1714–1719. [Google Scholar] [CrossRef]
 - Bakker, K.; Apelqvist, J.; Schaper, N.C. Practical guidelines on the management and prevention of the diabetic foot 2011. Diabetes. Metab. Res. Rev. 2012, 28, 225–231. [Google Scholar] [CrossRef]
 - Koo, T.K.; Li, M.Y. A Guideline of Selecting and Reporting Intraclass Correlation Coefficients for Reliability Research. J. Chiropr. Med. 2016, 15, 155–163. [Google Scholar] [CrossRef]
 - Jeng, C.; Michelson, J.; Mizel, M. Sensory thresholds of normal human feet. Foot Ankle Int. 2000, 21, 501–504. [Google Scholar] [CrossRef]
 - Sacco, I.C.N.; Hamamoto, A.N.; Gomes, A.A.; Onodera, A.N.; Hirata, R.P.; Hennig, E.M. Role of ankle mobility in foot rollover during gait in individuals with diabetic neuropathy. Clin. Biomech. 2009, 24, 687–692. [Google Scholar] [CrossRef]
 - Sartor, C.D.; Oliveira, M.D.; Campos, V.; Ferreira, J.S.S.P.; Sacco, I.C.N. Cross-cultural adaptation and measurement properties of the Brazilian Version of the Michigan Neuropathy Screening Instrument. Brazilian J. Phys. Ther. 2018, 22, 222–230. [Google Scholar] [CrossRef]
 - Ferreira, P.L.; Ferreira, L.N.; Pereira, L.N. Contributos para a validação da versão Portuguesa do EQ-5D. Acta Med. Port. 2013, 26, 664–675. [Google Scholar] [CrossRef] [PubMed]
 - Ferreira, A.F.B.; Laurindo, I.M.M.; Rodrigues, P.T.; Ferraz, M.B.; Kowalski, S.C.; Tanaka, C. Brazilian version of the foot health status questionnaire (FHSQ-BR): Cross-cultural adaptation and evaluation of measurement properties. Clinics 2008, 63, 595–600. [Google Scholar] [CrossRef] [PubMed]
 - Lancaster, G.A.; Dodd, S.; Williamson, P.R. Design and analysis of pilot studies: Recommendations for good practice. J. Eval. Clin. Pract. 2004, 10, 307–312. [Google Scholar] [CrossRef] [PubMed]
 - Burrows, R.F.; Gan, E.T.; Gallus, A.S.; Wallace, E.M.; Burrows, E.A. A randomised double-blind placebo controlled trial of low molecular weight heparin as prophylaxis in preventing venous thrombolic events after caesarean section: A pilot study. Br. J. Obstet. Gynaecol. 2001, 108, 835–839. [Google Scholar] [CrossRef]
 - Ross-McGill, H.; Hewison, J.; Hirst, J.; Dowswell, T.; Holt, A.; Brunskill, P.; Thornton, J.G. Antenatal home blood pressure monitoring: A pilot randomised controlled trial. Br. J. Obstet. Gynaecol. 2000, 107, 217–221. [Google Scholar] [CrossRef]
 - Stevinson, C.; Ernst, E. A pilot study of hypericum perforatum for the treatment of premenstrual syndrome. Br. J. Obstet. Gynaecol. 2000, 107, 870–876. [Google Scholar] [CrossRef]
 - Menz, H.B. Two feet, or one person? Problems associated with statistical analysis of paired data in foot and ankle medicine. Foot 2004, 14, 2–5. [Google Scholar] [CrossRef]
 - Orsmond, G.I.; Cohn, E.S. The distinctive features of a feasibility study: Objectives and guiding questions. OTJR Occup. Particip. Heal. 2015, 35, 169–177. [Google Scholar] [CrossRef]
 - Taddei, U.T.; Matias, A.B.; Ribeiro, F.I.A.; Inoue, R.S.; Bus, S.A.; Sacco, I.C.N. Effects of a therapeutic foot exercise program on injury incidence, foot functionality and biomechanics in long-distance runners: Feasibility study for a randomized controlled trial. Phys. Ther. Sport 2018, 34, 216–226. [Google Scholar] [CrossRef] [PubMed]
 - Phillips, B.; Ball, C.; Sackett, D.; Badenoch, D.; Straus, S.; Haynes, B.; Dawes, M.; Howick, J. Oxford Centre for Evidence-based Medicine – Levels of Evidence (March 2009). Available online: https://www.cebm.net/2009/06/oxford-centre-evidence-based-medicine-levels-evidence-march-2009/ (accessed on 4 April 2020).
 - Melai, T.; Schaper, N.C.; IJzerman, T.H.; de Lange, T.L.; Willems, P.J.; Lima Passos, V.; Lieverse, A.G.; Meijer, K.; Savelberg, H.H. Lower leg muscle strengthening does not redistribute plantar load in diabetic polyneuropathy: A randomised controlled trial. J. Foot Ankle Res. 2013, 6, 1–10. [Google Scholar] [CrossRef] [PubMed]
 - Testa, M.; Rossettini, G. Enhance placebo, avoid nocebo: How contextual factors affect physiotherapy outcomes. Man. Ther. 2016, 24, 65–74. [Google Scholar] [CrossRef] [PubMed]
 - Mickle, K.J.; Caputi, P.; Potter, J.M.; Steele, J.R. Efficacy of a progressive resistance exercise program to increase toe flexor strength in older people. Clin. Biomech. 2016, 40, 14–19. [Google Scholar] [CrossRef] [PubMed]
 - Day, E.M.; Hahn, M.E. Increased toe-flexor muscle strength does not alter metatarsophalangeal and ankle joint mechanics or running economy. J. Sports Sci. 2019, 37, 2702–2710. [Google Scholar] [CrossRef] [PubMed]
 - Rao, S.; Saltzman, C.L.; Yack, H.J. Relationships between segmental foot mobility and plantar loading in individuals with and without diabetes and neuropathy. Gait Posture 2010, 31, 251–255. [Google Scholar] [CrossRef]
 - Rao, S.; Saltzman, C.; Yack, H.J. Segmental foot mobility in individuals with and without diabetes and neuropathy. Clin. Biomech. 2007, 22, 464–471. [Google Scholar] [CrossRef]
 - Greenman, R.L.; Panasyuk, S.; Wang, X.; Lyons, T.E.; Dinh, T.; Longoria, L.; Giurini, J.M.; Freeman, J.; Khaodhiar, L.; Veves, A. Early changes in the skin microcirculation and muscle metabolism of the diabetic foot. Lancet 2005, 366, 1711–1717. [Google Scholar] [CrossRef]
 - Bus, S.A.; Waaijman, R.; Arts, M.; de Haart, M.; Busch-Westbroek, T.; Van Baal, J.; Nollet, F. Effect of custom-made footwear on foot ulcer recurrence in diabetes: A multicenter randomized controlled trial. Diabetes Care 2013, 36, 4109–4116. [Google Scholar] [CrossRef]
 - Orlin, M.N.; McPoil, T.G. Plantar pressure assessment. Phys. Ther. 2000, 80, 399–409. [Google Scholar] [CrossRef]
 - Allahbakhshi, H.; Conrow, L.; Naimi, B.; Weibel, R. Using accelerometer and GPS data for real-life physical activity type detection. Sensors (Switzerland) 2020, 20, 588. [Google Scholar] [CrossRef] [PubMed]
 - Tuttle, L.J.; Sinacore, D.R.; Cade, W.T.; Mueller, M.J. Lower Physical Activity Is Associated with Higher Intermuscular AdiposeTissue in People With Type 2 Diabetesand Peripheral Neuropathy. Phys. Ther. 2011, 91, 923–930. [Google Scholar] [CrossRef] [PubMed]
 - Coutinho, W.F.; Silva Júnior, W.S. Diabetes Care in Brazil. Ann. Glob. Heal. 2015, 81, 735–741. [Google Scholar] [CrossRef] [PubMed]
 


| Outcomes | Control Group (n = 15) | Intervention Group (n = 15) | p-Value | 
|---|---|---|---|
| Age (years) | 62.5 (6.8) | 64.6 (6.9) | 0.220 1 | 
| Body mass (kg) | 78.4 (17.5) | 78.6 (20.0) | 0.485 1 | 
| Height (m) | 1.6 (0.1) | 1.7 (0.1) | 0.178 1 | 
| Body Mass Index (kg/m2) | 28.9 (5.3) | 28.1 (7.0) | 0.364 1 | 
| Type of diabetes | DM1 = 0% DM2 = 100% | DM1 = 33.3% DM2 = 66.7% | 0.063 3 | 
| Sex | M-7 F-9 | M-9 F-5 | 1.000 3 | 
| DPN severity (Fuzzy Score) | 4.4 (2.2) | 5.6 (3.0) | 0.105 1 | 
| MNSI (score) | 6.1 (2.2) | 6.3 (3.8) | 0.816 1 | 
| Tactile sensitivity (number of areas) | 2.4 (2.4) | 3.3 (2.9) | 0.445 2 | 
| Tactile sensitivity threshold right | 3.0 (2–7) ¶ | 3.0 (2–7) ¶ | 1.000 2 | 
| Tactile sensitivity threshold left | 3.0 (2–7) ¶ | 3.0 (2–7) ¶ | 1.000 2 | 
| Self-selected gait speed (m/s) | 1.0 (0.2) | 1.1 (0.4) | 0.478 1 | 
| Fast gait speed (m/s) | 1.5 (0.4) | 1.6 (0.3) | 0.694 1 | 
| Daily activity level (number of steps) | 8134.6 (5055.2) | 7810.8 (4268.3) | 0.844 1 | 
| FHSQ pain (score) | 58.7 (24.6) | 54.2 (35.8) | 0.651 1 | 
| FHSQ function (score) | 70.4 (25.8) | 72.9 (30.6) | 0.600 2 | 
| FHSQ shoes (score) | 39.4 (33.7) | 48.9 (41.8) | 0.501 2 | 
| FHSQ health (score) | 37.5 (31.2) | 32.5 (23.0) | 1.000 2 | 
| EQ-5D (score) | 0.4 (0.2) | 0.4 (0.2) | 0.581 1 | 
| Ankle dorsiflexion ROM right (°) | 19.0 (5.8) | 16.6 (7.7) | 0.555 1 | 
| Ankle dorsiflexion ROM left (°) | 21.7 (7.5) | 17.3 (6.2) | 0.215 1 | 
| Ankle plantarflexion ROM right (°) | 25.7 (8.4) | 28.67 (10.0) | 0.331 1 | 
| Ankle plantarflexion ROM left (°) | 30.5 (8.7) | 31.9 (9.8) | 0.883 1 | 
| Outcomes | Control Group | Control Effect | Intervention Group | Intervention Effect | ||||
|---|---|---|---|---|---|---|---|---|
| Baseline (n = 15)  | T12  (n = 15)  | p Value | Difference (CI 95%)  | Baseline (n = 15)  | T12 (n = 15)  | p Value | Difference (CI 95%)  | |
| MNSI questionnaire (mean Score) 1 | 6.1 (2.0) | 4.9 (3.1) | 0.023 * | 1.2 (0.1 to 2.1) | 6.3 (3.8) | 5.2 (3.1) | 0.049 * | 1.1 (−0.0 to 2.3) | 
| Tactile sensitivity (number of areas) 2 | 2.4 (2.4) | 2.7 (2.7) | 0.559 | −0.3 (−1.5 to 0.9) | 3.2 (2.9) | 3.0 (2.6) | 0.739 | 0.2 (−1.0 to 1.4) | 
| Tactile sensitivity threshold Right 2 | 3.0 (2.0–7.0)τ | 3.0 (1.0–7.0)τ | 0.957 | - | 3.0 (2.0–7.0)τ | 3.0 (2.0–7.0)τ | 1.000 | - | 
| Tactile sensitivity threshold Left 2 | 3.0 (2.0–7.0)τ | 3.0 (1.0–7.0)τ | 1.000 | - | 3.0 (2.0–7.0)τ | 3.0 (2.0–7.0)τ | 1.000 | - | 
| EQ-5D questionnaire (Score) 1 | 0.36 (0.1) | 0.40 (0.1) | 0.352 | -0.04 (-0.14 to 0.06) | 0.36 (0.1) | 0.41 (0.2) | 0.161 | −0.05 (−0.10 to 0.02) | 
| FHSQ—foot pain (Score) 1 | 58.7 (24.6) | 66.3 (23.0) | 0.033 * | −7.6 (−14.5 to −0.7) | 54.2 (35.7) | 68.9 (23.6) | 0.046 * | −14.7 (−29.9 to 0.5) | 
| FHSQ—foot function (Score) 2 | 70.4 (25.8) | 69.7 (23.2) | 0.888 | 0.7 (−9.7 to 11.1) | 72.9 (30.5) | 79.2 (26.1) | 0.181 | −6.3 (−15.8 to 3.3) | 
| FHSQ—shoes (Score) 2 | 39.4 (33.6) | 40.1 (34.8) | 0.902 | −0.7 (−12.2 to 10.8) | 48.9 (41.1) | 42.2 (39.2) | 0.417 | 6.7 (−10.4 to 23.8) | 
| FHSQ—foot health (Score) 2 | 37.5 (31.2) | 46.0 (26.0) | 0.089 | −8.5 (−18.5 to 1.5) | 32.5 (23.0) | 44.2 (21.4) | 0.097 | −11.7 (−25.8 to 2.4) | 
| Outcomes | Control Group | Control Effect | Intervention Group | Intervention Effect | ||||
|---|---|---|---|---|---|---|---|---|
| Baseline (n = 15)  | T12 (n = 15)  | p Value | Mean Difference (CI 95%)  | Baseline (n = 15)  | T12 (n = 15)  | p Value | Mean Difference  (CI 95%)  | |
| Ankle ROM dorsiflexion right (°) | 19.0 (5.7) | 16.7 (6.1) | 0.214 | 2.3 (−1.5 to 6.0) | 16.6 (7.1) | 19.3 (6.1) | 0.137 | −2.7 (−6.4 to 0.98) | 
| Ankle ROM dorsiflexion left (°) | 21.7 (7.5) | 18.5 (5.0) | 0.113 | 3.2 (−0.8 to 7.2) | 17.3 (6.2) | 18.0 (4.8) | 0.637 | −0.7 (−3.6 to 2.3) | 
| Ankle ROM plantarflexion right (°) | 25.7 (8.4) | 29.9 (7.4) | 0.019 | −4.2 (−7.7 to −0.8) | 28.7 (9.9) | 28.8 (7.3) | 0.947 | −0.1 (−4.4 to 4.1) | 
| Ankle ROM plantarflexion left (°) | 30.5 (8.7) | 30.9 (13.4) | 0.701 | −0.4 (−3.03 to 2.10) | 31.9 (9.7) | 32.0 (7.5) | 0.951 | −0.1 (−4.7 to 4.4) | 
| Self-selected gait speed (m/s) | 1.03 (0.23) | 1.02 (0.31) | 0.986 | 0.01 (−0.16 to 0.16) | 1.14 (0.36) | 1.06 (0.16) | 0.342 | 0.08 (-0.10 to 0.25) | 
| Fast gait speed (m/s) | 1.50 (0.38) | 1.44 (0.35) | 0.444 | 0.06 (−0.40 to 0.23) | 1.56 (0.33) | 1.70 (0.44) | 0.142 | −0.14 (−0.30 to 0.05) | 
| Number of steps for 6 days | 8135 (5055) | 7280 (3393) | 0.367 | 854 (−1110 to 2819) | 7811 (4268) | 9137 (4964) | 0.337 | −1326 (−4189 to 1536) | 
| Maximum force—hallux (%BW) | 10.8 (3.8) | 9.6 (4.3) | 0.368 | 1.2 (−1.5 to 3.9) | 11.8 (5.9) | 12.1 (6.0) | 0.727 | −0.3 (−2.0 to 1.4) | 
| Maximum force—toes (%BW) | 7.5 (4.3) | 7.2 (4.0) | 0.668 | 0.3 (−1.2 to 1.8) | 6.4 (2.8) | 8.9 (4.0) | 0.001 * | −2.5 (−3.8 to 1.2) | 
| Maximum force—all toes (%BW) | 11.3 (3.4) | 10.8 (4.1) | 0.676 | 0.5 (−2.1 to 3.1) | 12.0 (5.9) | 13.2 (4.8) | 0.161 | −1.2 (−3.1 to 0.6) | 
| Plantar Pressure During Gait | |||||||||
|---|---|---|---|---|---|---|---|---|---|
| Region of Interest | Parameters | Control Group | Control Effect | Intervention Group | Intervention Effect | ||||
| Baseline (n = 15)  | T12 (n = 15)  | p Value | Difference (CI 95%) | Baseline (n = 15)  | T12 (n = 15)  | p Value | Difference (CI 95%) | ||
| Toes | CA [cm2] | 9.3 (4.0) | 9.1 (3.8) | 0.675 | 0.2 (−0.9 to 1.3) | 7.4 (3.2) | 8.1 (3.0) | 0.291 | −0.7 (−2.2 to 0.7) | 
| MF [%BW] | 6.3 (3.7) | 6.7 (4.1) | 0.523 | −0.4 (−1.9 to 0.9) | 6.3 (5.7) | 6.0 (3.8) | 0.751 | 0.3 (−1.6 to 2.1) | |
| PP [kPa] | 174 (111) | 174 (103) | 0.994 | 0.1 (−37.1 to 37.4) | 268 (172) | 244 (136) | 0.494 | 24.0 (−50.1 to 98.2) | |
| CT [ms] | 562 (162) | 501 (124) | 0.060 | 61.2 (8.9 to 113.6) | 519 (119) | 578 (58) | 0.025 * | −59.2 (−122.4 to 3.9) | |
| PTI [(kPa)·s] | 58.0 (44.4) | 50.8 (32.8) | 0.279 | 7.2 (−6.7 to 21.0) | 64.3 (47.0) | 73.7 (35.2) | 0.233 | −9.4 (−25.8 to 6.9) | |
| FTI [%BW·s] | 1.9 (1.4) | 1.8 (1.2) | 0.541 | 0.1 (−0.4 to 0.7) | 1.5 (1.1) | 1.7 (0.9) | 0.346 | −0.2 (−0.6 to 0.2) | |
| Hallux | CA [cm2] | 9.5 (2.3) | 9.7 (2.2) | 0.655 | −0.2 (−1.2 to 0.8) | 10.0 (2.2) | 10.9 (2.2) | 0.073 | −0.9 (−1.6 to 0.08) | 
| MF [%BW] | 11.9 (7.4) | 12.2 (5.8) | 0.789 | −0.3 (−2.6 to 1.9) | 16.9 (9.4) | 15.1 (8.7) | 0.511 | 1.8 (−2.3 to 4.3) | |
| PP [kPa] | 297 (246) | 291 (232) | 0.859 | 6.1 (−66.8 to 7.9) | 415 (274) | 424 (273) | 0.766 | −9.0 (−118.7 to 89.8) | |
| CT [ms] | 512 (201) | 493 (182) | 0.587 | 19.1 (−55.5 to 93.7) | 526 (141) | 571 (151) | 0.371 | −45.2 (−159.6 to 64.6) | |
| PTI [(kPa)·s] | 90.8 (92.1) | 86.2 (91.2) | 0.624 | 4.6 (−15.3 to 24.6) | 112.5 (96.3) | 122.5 (83.0) | 0.456 | −10.0 (−60.6 to 29.1) | |
| FTI [%BW·s] | 3.5 (3.1) | 3.4 (2.8) | 0.786 | 0.1 (−0.7 to 0.9) | 3.8 (2.5) | 4.1 (2.3) | 0.331 | −0.3 (−1.5 to 0.5) | |
| Forefoot | CA [cm2] | 52.9 (9.9) | 53.5 (10.2) | 0.302 | −0.6 (−1.7 to 0.6) | 48.6 (7.3) | 49.0 (7.0) | 0.485 | −0.3 (−1.4 to 0.7) | 
| MF [%BW] | 103.3 (7.3) | 106.7 (9.5) | 0.070 | −3.4 (−7.2 to 0.4) | 98.2 (11.6) | 102.2 (6.3) | 0.194 | −4.0 (−10.2 to 2.3) | |
| PP [kPa] | 709 (202) | 771 (254) | 0.090 | −62.5 (−136.6 to 11.6) | 790 (273) | 959 (244) | 0.001 * | −169.1 (−225.2 to −82.7) | |
| CT [ms] | 736 (92) | 704 (110) | 0.134 | 31.3 (−11.2 to 73.7) | 698 (131) | 711 (94) | 0.589 | −12.8 (−63.1 to 37.5) | |
| PTI [(kPa)·s] | 255.2 (74.2) | 262.8 (104.8) | 0.652 | −7.6 (−43.6 to 28.3) | 302.1 (146.3) | 365.4 (160.0) | 0.006 * | −63.3 (−105.5 to −21.2) | |
| FTI [%BW·s] | 41.6 (6.2) | 40.7 (6.4) | 0.482 | 0.9 (−1.8 to 3.7) | 37.0 (7.9) | 40.2 (6.9) | 0.056 | −3.2 (−6.5 to 1.1) | |
| Midfoot | CA [cm2] | 30.3 (8.2) | 30.2 (8.1) | 0.987 | −0.0 (−0.9 to 0.8) | 26.7 (9.3) | 27.4 (9.9) | 0.404 | −0.7 (−2.5 to 1.1) | 
| MF [%BW] | 27.0 (8.2) | 26.1 (7.5) | 0.393 | 0.9 (−1.4 to 3.3) | 25.1 (15.2) | 26.8 (17.0) | 0.269 | −1.7 (−4.9 to 1.5) | |
| PP [kPa] | 167 (63) | 166 (54) | 0.863 | 0.9 (−10.9 to 12.9) | 233 (155) | 291 (229) | 0.231 | −57.6 (−156.8 to 41.7) | |
| CT [ms] | 577 (105) | 561 (122) | 0.448 | 16.1 (−28.5 to 60.5) | 594 (100) | 569 (111) | 0.464 | 25.2 (−47.3 to 97.5) | |
| PTI [(kPa)·s] | 68.6 (28.5) | 62.2 (24.8) | 0.047 * | 6.4 (0.1 to 12.7) | 80.4 (56.8) | 90.7 (53.4) | 0.430 | −10.3 (−37.8 to 17.2) | |
| FTI [%BW·s] | 9.3 (3.2) | 8.2 (2.7) | 0.052 | 1.1 (−0.0 to 2.2) | 8.9 (6.9) | 9.0 (6.0) | 0.773 | −0.1 (−1.6 to 1.2) | |
| Heel | CA [cm2] | 34.6 (5.1) | 35.0 (4.5) | 0.248 | −0.4 (−1.1 to 0.3) | 34.0 (5.1) | 33.8 (5.4) | 0.684 | 0.2 (−0.7 to 1.0) | 
| MF [%BW] | 63.1 (10.7) | 68.5 (8.7) | 0.049* | −5.4 (−11.2 to 0.3) | 71.0 (19.3) | 66.7 (17.2) | 0.271 | 4.3 (−3.8 to 12.4) | |
| PP [kPa] | 392 (193) | 459 (261) | 0.049 * | −66.7 (−133.2 to −0.3) | 441 (165) | 455 (146) | 0.551 | −14.2 (−64.7 to 36.2) | |
| CT [ms] | 513 (83) | 500 (137) | 0.640 | 12.6 (−44.5 to 69.7) | 467 (194) | 482 (105) | 0.704 | −15.4 (−101.7 to 70.9) | |
| PTI [(kPa)·s] | 103.7 (40.9) | 118.5 (78.6) | 0.294 | −14.8 (−44.2 to 14.6) | 110.3 (39.0) | 111.7 (41.4) | 0.828 | −1.4(−14.8 to 12.1) | |
| FTI [%BW·s] | 17.5 (3.9) | 18.6 (4.3) | 0.362 | −1.1 (−3.4 to 1.3) | 19.1 (5.6) | 17.6 (5.9) | 0.288 | 1.5 (−1.4 to 4.4) | |
© 2020 by the authors. Licensee MDPI, Basel, Switzerland. This article is an open access article distributed under the terms and conditions of the Creative Commons Attribution (CC BY) license (http://creativecommons.org/licenses/by/4.0/).
Share and Cite
Monteiro, R.L.; Ferreira, J.S.S.P.; Silva, É.Q.; Donini, A.; Cruvinel-Júnior, R.H.; Verissímo, J.L.; Bus, S.A.; Sacco, I.C.N. Feasibility and Preliminary Efficacy of a Foot-Ankle Exercise Program Aiming to Improve Foot-Ankle Functionality and Gait Biomechanics in People with Diabetic Neuropathy: A Randomized Controlled Trial. Sensors 2020, 20, 5129. https://doi.org/10.3390/s20185129
Monteiro RL, Ferreira JSSP, Silva ÉQ, Donini A, Cruvinel-Júnior RH, Verissímo JL, Bus SA, Sacco ICN. Feasibility and Preliminary Efficacy of a Foot-Ankle Exercise Program Aiming to Improve Foot-Ankle Functionality and Gait Biomechanics in People with Diabetic Neuropathy: A Randomized Controlled Trial. Sensors. 2020; 20(18):5129. https://doi.org/10.3390/s20185129
Chicago/Turabian StyleMonteiro, Renan L., Jane S.S.P. Ferreira, Érica Q. Silva, Asha Donini, Ronaldo H. Cruvinel-Júnior, Jady L. Verissímo, Sicco A. Bus, and Isabel C.N. Sacco. 2020. "Feasibility and Preliminary Efficacy of a Foot-Ankle Exercise Program Aiming to Improve Foot-Ankle Functionality and Gait Biomechanics in People with Diabetic Neuropathy: A Randomized Controlled Trial" Sensors 20, no. 18: 5129. https://doi.org/10.3390/s20185129
APA StyleMonteiro, R. L., Ferreira, J. S. S. P., Silva, É. Q., Donini, A., Cruvinel-Júnior, R. H., Verissímo, J. L., Bus, S. A., & Sacco, I. C. N. (2020). Feasibility and Preliminary Efficacy of a Foot-Ankle Exercise Program Aiming to Improve Foot-Ankle Functionality and Gait Biomechanics in People with Diabetic Neuropathy: A Randomized Controlled Trial. Sensors, 20(18), 5129. https://doi.org/10.3390/s20185129
        
