Wideband Dual-Polarized VHF Antenna for Space Observation Applications †
Abstract
1. Introduction
2. Design Considerations and Prototype
3. Results
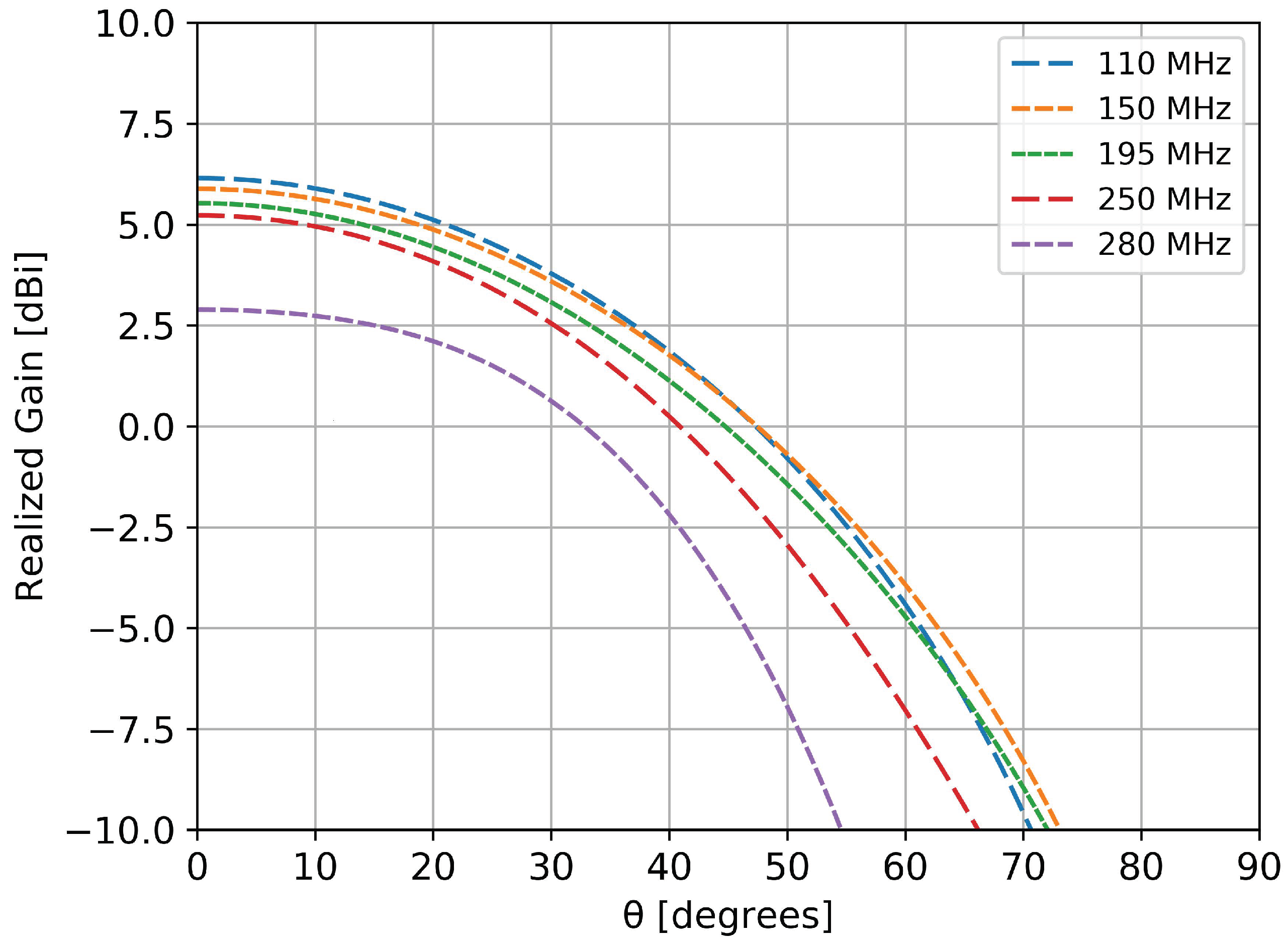
3.1. Simulation Results
3.2. Experimental Results
4. Conclusions
Author Contributions
Funding
Conflicts of Interest
References
- Ardouin, D.; Belletoile, A.; Charrier, D.; Dallier, R.; Denis, L.; Eschstruth, P.; Gousset, T.; Haddad, F.; Lamblin, J.; Lautridou, P.; et al. Radio-detection signature of high-energy cosmic rays by the CODALEMA experiment. Nucl. Instrum. Methods Phys. Res. Sect. A Accel. Spectrom. Detect. Assoc. Equip. 2005, 555, 148–163. [Google Scholar] [CrossRef]
- Falcke, H.; Apel, W.D.; Badea, A.F.; Bähren, L.; Bekk, K.; Bercuci, A.; Bertaina, M.; Biermann, P.L.; Blümer, J.; Bozdog, H.; et al. Detection and imaging of atmospheric radio flashes from cosmic ray air showers. Nature 2005, 435, 313–316. [Google Scholar] [CrossRef] [PubMed]
- Van Haarlem, M.P.; Wise, M.W.; Gunst, A.W.; Heald, G.; McKean, J.P.; Hessels, J.W.T.; de Bruyn, A.G.; Nijboer, R.; Swinbank, J.; Fallows, R.; et al. LOFAR: The low-frequency array. Astron. Astrophys. 2013, 556, A2. [Google Scholar] [CrossRef]
- The Pierre Auger Collaboration. The Pierre Auger Cosmic Ray Observatory. Nucl. Instrum. Methods Phys. Res. Sect. A Accel. Spectrom. Detect. Assoc. Equip. 2015, 798, 172–213. [Google Scholar] [CrossRef]
- Badescu, A. A radio detection system for cosmic observations. Astron. Geophys. 2015, 56, 1.30–1.33. [Google Scholar] [CrossRef]
- Schröder, F.G. Radio detection of cosmic-ray air showers and high-energy neutrinos. Prog. Part. Nucl. Phys. 2017, 93, 1–68. [Google Scholar] [CrossRef]
- Ohta, I.S.; Akimune, H.; Fukushima, M.; Ikeda, D.; Inome, Y.; Matthews, J.N.; Ogio, S.; Sagawa, H.; Sako, T.; Shibata, T.; et al. Measurement of microwave radiation from electron beam in the atmosphere. Nucl. Instrum. Methods Phys. Res. Sect. A Accel. Spectrom. Detect. Assoc. Equip. 2016, 810, 44–50. [Google Scholar] [CrossRef]
- LOPES Collaboration. New antenna for radio detection of UHECR. In Proceedings of the 31st International Cosmic Ray Conference, Łódz, Poland, 7–15 July 2009. [Google Scholar]
- Abreu, P.; Aglietta, M.; Ahlers, M.; Ahn, E.J.; Albuquerque, I.F.M.; Allard, D.; Allekotte, I.; Allen, J.; Allison, P.; Almela, A.; et al. Antennas for the detection of radio emission pulses from cosmic-ray induced air showers at the Pierre Auger Observatory. J. Instrum. 2012, 7, P10011. [Google Scholar] [CrossRef]
- Schröder, F.G.; Besson, D.; Budnev, N.M.; Gress, O.A.; Haungs, A.; Hiller, R.; Kazarina, Y.; Kleifges, M.; Konstantinov, A.; Korosteleva, E.E.; et al. Tunka-Rex: A radio antenna array for the Tunka experiment. AIP Conf. Proc. 2013, 111, 1535. [Google Scholar]
- Tatomirescu, A.; Badescu, A. A Wideband Cross-Polarized Antenna Array Element For Radio Detection of Cosmic Particles. In Proceedings of the 2018 IEEE Conference on Antenna Measurements & Applications (CAMA), Vasteras, Sweden, 3–6 September 2018; pp. 1–4. [Google Scholar]
- Li, B.; Yin, Y.; Hu, W.; Ding, Y.; Zhao, Y. Wideband Dual-Polarized Patch Antenna With Low Cross Polarization and High Isolation. IEEE Antennas Wirel. Propag. Lett. 2012, 11, 427–430. [Google Scholar]
- Kraus, J.K.; Marhefka, R.J. Antennas for All Applications; McGraw-Hill: Singapore, 2003. [Google Scholar]
- Sternberg, B.K.; Levitskaya, T.M. Electrical parameters of soils in the frequency range from 1 kHz to 1 GHz, using lumped-circuit methods. Radio Sci. 2001, 36, 709–719. [Google Scholar] [CrossRef]
- Arnold, P. The “Slant” antenna range. IEEE Trans. Antennas Propag. 1966, 14, 658–659. [Google Scholar] [CrossRef]
- Piasecki, P.; Strycharz, J. Measurement of an omnidirectional antenna pattern in an anechoic chamber and an office room with and without time domain signal processing. In Proceedings of the 2015 Signal Processing Symposium (SPSympo), Debe, Poland, 10–12 June 2015; pp. 1–4. [Google Scholar]
- Tatomirescu, A. UHF Band Antenna Radiation Pattern Measurements in Multipath Channel using Time Domain Gating. In Proceedings of the 2020 International workshop on antenna and propagation, Bucharest, Romania, 25–28 February 2020; pp. 1–4. [Google Scholar]












© 2020 by the authors. Licensee MDPI, Basel, Switzerland. This article is an open access article distributed under the terms and conditions of the Creative Commons Attribution (CC BY) license (http://creativecommons.org/licenses/by/4.0/).
Share and Cite
Tatomirescu, A.; Badescu, A. Wideband Dual-Polarized VHF Antenna for Space Observation Applications. Sensors 2020, 20, 4351. https://doi.org/10.3390/s20154351
Tatomirescu A, Badescu A. Wideband Dual-Polarized VHF Antenna for Space Observation Applications. Sensors. 2020; 20(15):4351. https://doi.org/10.3390/s20154351
Chicago/Turabian StyleTatomirescu, Alexandru, and Alina Badescu. 2020. "Wideband Dual-Polarized VHF Antenna for Space Observation Applications" Sensors 20, no. 15: 4351. https://doi.org/10.3390/s20154351
APA StyleTatomirescu, A., & Badescu, A. (2020). Wideband Dual-Polarized VHF Antenna for Space Observation Applications. Sensors, 20(15), 4351. https://doi.org/10.3390/s20154351
