An FMCW Radar for Localization and Vital Signs Measurement for Different Chest Orientations
Abstract
1. Introduction
2. Problem Geometry
3. System Overview
3.1. Radar Architecture
3.2. Antenna Design
4. Signal Processing
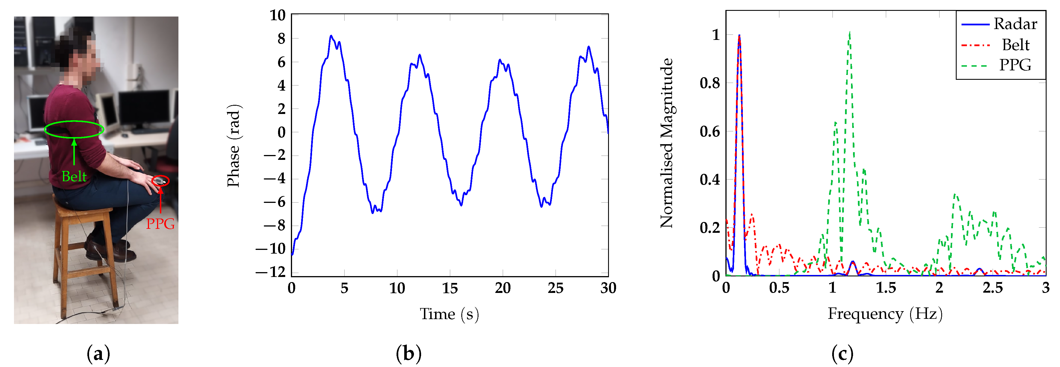
5. Measurement Results
Statistical Analysis
6. Conclusions
Author Contributions
Funding
Conflicts of Interest
References
- Pisa, S.; Pittella, E.; Piuzzi, E. A Survey of Radar Systems for Medical Applications. IEEE Aerosp. Electron. Syst. Mag. 2016, 31, 64–81. [Google Scholar] [CrossRef]
- Li, C.; Peng, Z.; Huang, T.Y.; Fan, T.; Wang, F.K.; Horng, T.S.; Munoz-Ferreras, J.M.; Gomez-Garcia, R.; Ran, L.; Lin, J. A Review on Recent Progress of Portable Short-Range Noncontact Microwave Radar Systems. IEEE Trans. Microw. Theory Tech. 2017, 65, 1692–1706. [Google Scholar] [CrossRef]
- Gu, C. Short-Range Noncontact Sensors for Healthcare and Other Emerging Applications: A Review. Sensors 2016, 16, 1169. [Google Scholar] [CrossRef] [PubMed]
- Kebe, M.; Gadhafi, R.; Mohammad, B.; Sanduleanu, M.; Saleh, H.; Al-Qutayri, M. Human Vital Signs Detection Methods and Potential Using Radars: A Review. Sensors 2020, 20, 1454. [Google Scholar] [CrossRef] [PubMed]
- Bernardi, P.; Cicchetti, R.; Pisa, S.; Pittella, E.; Piuzzi, E.; Testa, O. Design, Realization, and Test of a UWB Radar Sensor for Breath Activity Monitoring. IEEE Sens. J. 2014, 14, 584–596. [Google Scholar] [CrossRef]
- Schleicher, B.; Nasr, I.; Trasser, A.; Schumacher, H. IR-UWB Radar Demonstrator for Ultra-Fine Movement Detection and Vital-Sign Monitoring. IEEE Trans. Microw. Theory Tech. 2013, 61, 2076–2085. [Google Scholar] [CrossRef]
- Lai, J.C.Y.; Xu, Y.; Gunawan, E.; Chua, E.C.P.; Maskooki, A.; Guan, Y.L.; Low, K.S.; Soh, C.B.; Poh, C.L. Wireless Sensing of Human Respiratory Parameters by Low-Power Ultrawideband Impulse Radio Radar. IEEE Trans. Instrum. Meas. 2011, 60, 928–938. [Google Scholar] [CrossRef]
- Nijsure, Y.; Tay, W.P.; Gunawan, E.; Wen, F.; Yang, Z.; Guan, Y.L.; Chua, A.P. An Impulse Radio Ultrawideband System for Contactless Noninvasive Respiratory Monitoring. IEEE Trans. Biomed. Eng. 2013, 60, 1509–1517. [Google Scholar] [CrossRef]
- Leib, M.; Schmitt, E.; Gronau, A.; Dederer, J.; Schleicher, B.; Schumacher, H.; Menzel, W. A Compact Ultra-Wideband Radar for Medical Applications. Frequenz 2009, 63. [Google Scholar] [CrossRef]
- Kim, J.D.; Lee, W.H.; Lee, Y.; Lee, H.J.; Cha, T.; Kim, S.H.; Song, K.M.; Lim, Y.H.; Cho, S.H.; Cho, S.H.; et al. Non-Contact Respiration Monitoring Using Impulse Radio Ultrawideband Radar in Neonates. R. Soc. Open Sci. 2019, 6, 190149. [Google Scholar] [CrossRef]
- Shikhsarmast, F.; Lyu, T.; Liang, X.; Zhang, H.; Gulliver, T. Random-Noise Denoising and Clutter Elimination of Human Respiration Movements Based on an Improved Time Window Selection Algorithm Using Wavelet Transform. Sensors 2019, 19, 95. [Google Scholar] [CrossRef] [PubMed]
- Zhang, C.; Kuhn, M.; Merkl, B.; Fathy, A.; Mahfouz, M. Real-Time Noncoherent UWB Positioning Radar With Millimeter Range Accuracy: Theory and Experiment. IEEE Trans. Microw. Theory Tech. 2010, 58, 9–20. [Google Scholar] [CrossRef]
- Lazaro, A.; Girbau, D.; Villarino, R. Analysis of vital signs monitoring using an Ir-Uwb Radar. Prog. Electromagn. Res. 2010, 100, 265–284. [Google Scholar] [CrossRef]
- Lazaro, A.; Girbau, D.; Villarino, R.; Ramos, A. Vital Signs Monitoring Using Impulse Based UWB Signal. In Proceedings of the 41st European Microwave Conference, Manchester, UK, 10–13 October 2011. [Google Scholar]
- Xiao, Y.; Lin, J.; Boric-Lubecke, O.; Lubecke, V. A Ka-Band Low Power Doppler Radar System for Remote Detection of Cardiopulmonary Motion. In Proceedings of the 2005 IEEE Engineering in Medicine and Biology 27th Annual Conference, Shanghai, China, 17–18 January 2006; pp. 7151–7154. [Google Scholar]
- Xiao, Y.; Lin, J.; Boric-Lubecke, O.; Lubecke, M. Frequency-Tuning Technique for Remote Detection of Heartbeat and Respiration Using Low-Power Double-Sideband Transmission in the Ka-Band. IEEE Trans. Microw. Theory Tech. 2006, 54, 2023–2032. [Google Scholar] [CrossRef]
- Gu, C.; Li, R.; Zhang, H.; Fung, A.Y.C.; Torres, C.; Jiang, S.B.; Li, C. Accurate Respiration Measurement Using DC-Coupled Continuous-Wave Radar Sensor for Motion-Adaptive Cancer Radiotherapy. IEEE Trans. Biomed. Eng. 2012, 59, 3117–3123. [Google Scholar] [PubMed]
- Zhang, T.; Sarrazin, J.; Valerio, G.; Istrate, D. Estimation of Human Body Vital Signs Based on 60 GHz Doppler Radar Using a Bound-Constrained Optimization Algorithm. Sensors 2018, 18, 2254. [Google Scholar] [CrossRef]
- Lubecke, O.; Ong, P.W.; Lubecke, V. 10 GHz Doppler Radar Sensing of Respiration and Heart Movement. In Proceedings of the IEEE 28th Annual Northeast Bioengineering Conference (IEEE Cat. No.02CH37342), Philadelphia, PA, USA, 21 April 2002; IEEE: Philadelphia, PA, USA, 2002; pp. 55–56. [Google Scholar]
- Gu, C.; He, Y.; Zhu, J. Noncontact Vital Sensing With a Miniaturized 2.4 GHz Circularly Polarized Doppler Radar. IEEE Sens. Lett. 2019, 3, 3501204. [Google Scholar] [CrossRef]
- Park, B.K.; Boric-Lubecke, O.; Lubecke, V.M. Arctangent Demodulation With DC Offset Compensation in Quadrature Doppler Radar Receiver Systems. IEEE Trans. Microw. Theory Tech. 2007, 55, 1073–1079. [Google Scholar] [CrossRef]
- Li, C.; Lin, J. Optimal Carrier Frequency of Non-Contact Vital Sign Detectors. In Proceedings of the 2007 IEEE Radio and Wireless Symposium, Long Beach, CA, USA, 9–11 January 2007; pp. 281–284. [Google Scholar]
- Liang, Q.; Xu, L.; Bao, N.; Qi, L.; Shi, J.; Yang, Y.; Yao, Y. Research on Non-Contact Monitoring System for Human Physiological Signal and Body Movement. Biosensors 2019, 9, 58. [Google Scholar] [CrossRef]
- Girbau, D.; Lazaro, A.; Ramos, Á.; Villarino, R. Remote Sensing of Vital Signs Using a Doppler Radar and Diversity to Overcome Null Detection. IEEE Sens. J. 2012, 12, 512–518. [Google Scholar] [CrossRef]
- Choi, C.H.; Park, J.H.; Lee, H.N.; Yang, J.R. Heartbeat Detection Using a Doppler Radar Sensor Based on the Scaling Function of Wavelet Transform. Microw. Opt. Technol. Lett. 2019, 61, 1792–1796. [Google Scholar] [CrossRef]
- Kim, J.Y.; Park, J.H.; Jang, S.Y.; Yang, J.R. Peak Detection Algorithm for Vital Sign Detection Using Doppler Radar Sensors. Sensors 2019, 19, 1575. [Google Scholar] [CrossRef] [PubMed]
- Wang, G.; Gu, C.; Inoue, T.; Li, C. Hybrid FMCW-Interferometry Radar System in the 5.8 GHz ISM Band for Indoor Precise Position and Motion Detection. In Proceedings of the 2013 IEEE MTT-S International Microwave Symposium Digest (MTT), Seattle, WA, USA, 2–7 June 2013; pp. 1–4. [Google Scholar]
- Wang, G.; Gu, C.; Inoue, T.; Li, C. A Hybrid FMCW-Interferometry Radar for Indoor Precise Positioning and Versatile Life Activity Monitoring. IEEE Trans. Microw. Theory Tech. 2014, 62, 2812–2822. [Google Scholar] [CrossRef]
- Sacco, G.; Pittella, E.; Piuzzi, E.; Pisa, S. A Radar System for Indoor Human Localization and Breath Monitoring. In Proceedings of the 2018 IEEE International Symposium on Medical Measurements and Applications (MeMeA), Rome, Italy, 11–13 June 2018; pp. 1–6. [Google Scholar]
- Li, H.; Shrestha, A.; Fioranelli, F.; Le Kernec, J.; Heidari, H. FMCW Radar and Inertial Sensing Synergy for Assisted Living. J. Eng. 2019, 2019, 6784–6789. [Google Scholar] [CrossRef]
- Peng, Z.; Munoz-Ferreras, J.M.; Gomez-Garcia, R.; Li, C. FMCW Radar Fall Detection Based on ISAR Processing Utilizing the Properties of RCS, Range, and Doppler. In Proceedings of the 2016 IEEE MTT-S International Microwave Symposium (IMS), San Francisco, CA, USA, 22–27 May 2016; pp. 1–3. [Google Scholar]
- Postolache, O.; Girao, P.S.; Postolache, G.; Gabriel, J. Cardio-Respiratory and Daily Activity Monitor Based on FMCW Doppler Radar Embedded in a Wheelchair. In Proceedings of the 2011 Annual International Conference of the IEEE Engineering in Medicine and Biology Society, Boston, MA, USA, 30 August–3 September 2011; pp. 1917–1920. [Google Scholar]
- Mercuri, M.; Lorato, I.R.; Liu, Y.H.; Wieringa, F.; Hoof, C.V.; Torfs, T. Vital-Sign Monitoring and Spatial Tracking of Multiple People Using a Contactless Radar-Based Sensor. Nat. Electron. 2019, 2, 252–262. [Google Scholar] [CrossRef]
- Roussos, C. The Thorax–Part A: Physiology (In Three Parts); CRC Press: Boca Raton, FL, USA, 1995. [Google Scholar]
- Boric-Lubecke, O.; Lubecke, V.M.; Droitcour, A.D.; Park, B.K.; Singh, A. Doppler Radar Physiological Sensing; Wiley Online Library: Madison, WI, USA, 2016. [Google Scholar]
- De Groote, A.; Wantier, M.; Cheron, G.; Estenne, M.; Paiva, M. Chest Wall Motion during Tidal Breathing. J. Appl. Physiol. 1997, 83, 1531–1537. [Google Scholar] [CrossRef]
- Ramachandran, G.; Singh, M. Three-Dimensional Reconstruction of Cardiac Displacement Patterns on the Chest Wall during the P, QRS and T-Segments of the ECG by Laser Speckle Inteferometry. Med Biol. Eng. Comput. 1989, 27, 525–530. [Google Scholar] [CrossRef]
- Analog Devices. HMC587LC4B Data Sheet. Available online: https://www.analog.com/media/en/technical-documentation/data-sheets/hmc587.pdf (accessed on 19 June 2020).
- Analog Devices. HMC392ALC4 Data Sheet. 2017. Available online: https://www.analog.com/media/en/technical-documentation/data-sheets/hmc392Alc4.pdf (accessed on 19 June 2020).
- Mini-Circuits. High Power, DC Pass Power Splitter/Combiner High ZN2PD2-63+. Available online: https://www.minicircuits.com/pdfs/ZN2PD2-63+.pdf (accessed on 19 June 2020).
- Analog Devices. HMC557A Data Sheet. Available online: https://www.analog.com/media/en/technical-documentation/data-sheets/hmc557a.pdf (accessed on 19 June 2020).
- National Instruments. DEVICE SPECIFICATIONS NI 6361 X Series Data Acquisition: 2 MS/s, 16 AI, 24 DIO, 2 AO. 2015. Available online: http://www.ni.com/pdf/manuals/374650c.pdf (accessed on 19 June 2020).
- Sacco, G.; D’Atanasio, P.; Pisa, S. A Wideband and Low-Sidelobe Series-Fed Patch Array at 5.8 GHz for Radar Applications. IEEE Antennas Wirel. Propag. Lett. 2020, 19, 9–13. [Google Scholar] [CrossRef]
- Li, C.; Tofighi, M.R.; Schreurs, D.; Horng, T.S.J. Principles and Applications of RF/Microwave in Healthcare and Biosensing; Elsevier: Amsterdam, The Netherlands, 2017. [Google Scholar]
- Yuan, T.; Yuan, N.; Li, L.-W. A Novel Series-Fed Taper Antenna Array Design. IEEE Antennas Wirel. Propag. Lett. 2008, 7, 362–365. [Google Scholar] [CrossRef]
- Chopra, R.; Kumar, G. Series-Fed Binomial Microstrip Arrays for Extremely Low Sidelobe Level. IEEE Trans. Antennas Propag. 2019, 67, 4275–4279. [Google Scholar] [CrossRef]
- Lee, H.; Kim, B.H.; Park, J.K.; Yook, J.G. A Novel Vital-Sign Sensing Algorithm for Multiple Subjects Based on 24-GHz FMCW Doppler Radar. Remote Sens. 2019, 11, 1237. [Google Scholar] [CrossRef]
- Anitori, L.; de Jong, A.; Nennie, F. FMCW Radar for Life-Sign Detection. In Proceedings of the 2009 IEEE Radar Conference, Pasadena, CA, USA, 4–8 May 2009; pp. 1–6. [Google Scholar]














© 2020 by the authors. Licensee MDPI, Basel, Switzerland. This article is an open access article distributed under the terms and conditions of the Creative Commons Attribution (CC BY) license (http://creativecommons.org/licenses/by/4.0/).
Share and Cite
Sacco, G.; Piuzzi, E.; Pittella, E.; Pisa, S. An FMCW Radar for Localization and Vital Signs Measurement for Different Chest Orientations. Sensors 2020, 20, 3489. https://doi.org/10.3390/s20123489
Sacco G, Piuzzi E, Pittella E, Pisa S. An FMCW Radar for Localization and Vital Signs Measurement for Different Chest Orientations. Sensors. 2020; 20(12):3489. https://doi.org/10.3390/s20123489
Chicago/Turabian StyleSacco, Giulia, Emanuele Piuzzi, Erika Pittella, and Stefano Pisa. 2020. "An FMCW Radar for Localization and Vital Signs Measurement for Different Chest Orientations" Sensors 20, no. 12: 3489. https://doi.org/10.3390/s20123489
APA StyleSacco, G., Piuzzi, E., Pittella, E., & Pisa, S. (2020). An FMCW Radar for Localization and Vital Signs Measurement for Different Chest Orientations. Sensors, 20(12), 3489. https://doi.org/10.3390/s20123489

