Online Gait Detection with an Automatic Mobile Trainer Inspired by Neuro-Developmental Treatment
Abstract
1. Introduction
2. System Description
3. Gait Detection System
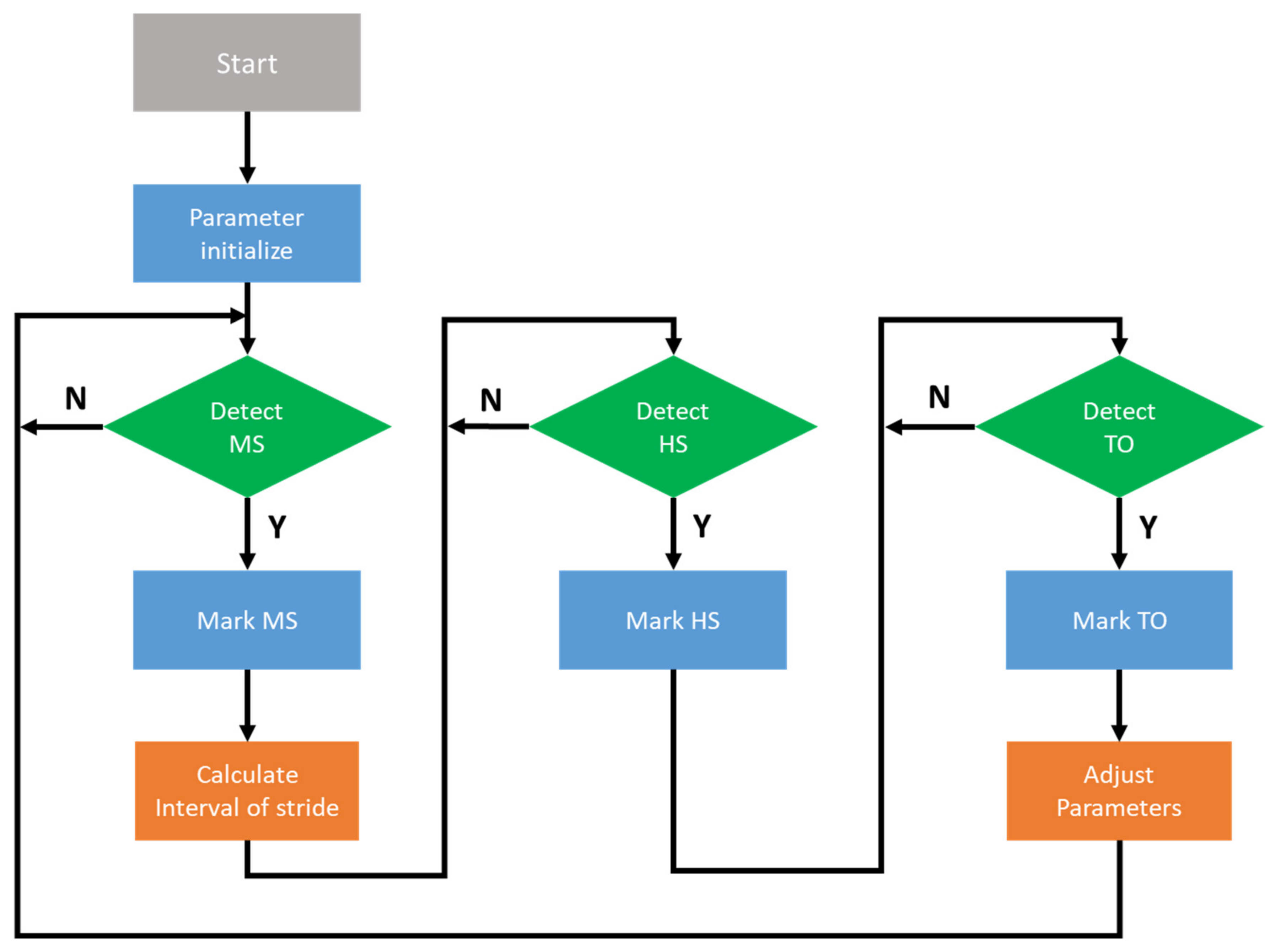
3.1. Gait Event Estimation
- The MS event
- 2.
- The HS event
- (1)
- The angular velocity ω reaches a local minimum.
- (2)
- The angular velocity ω is less than , i.e., .
- (3)
- The time interval between MS and HS, labelled as , is greater than , i.e., .
- 3.
- The TO event
- (1)
- The angular velocity is less than , i.e.,.
- (2)
- The time interval between HS and TO, labelled as , is greater than , i.e., .
3.2. Implementation and Tests
4. Motor Control System
5. Experimental Results
- (1)
- Ratio of the swing time [36]: The ratio of the swing time is defined as follows [36]:where and represent the swing time on the paretic and non-paretic side, respectively. The swing time is defined as a time interval from TO to the next HS on the same side. The swing time of two legs is usually symmetrical for healthy persons, but tends to be uneven for stroke patients because of hemiparalysis. Therefore, the rehabilitation training is said to be effective if the swing time is more symmetric, i.e., is closer to one [37].
- (2)
- Asymmetry of the swing phase [38]: The asymmetry of the swing phase is defined as follows:where and represent the proportion of the swing phase on the paretic side and the non-paretic side, respectively. The proportion of the swing phase is defined as:in which is the duration of one complete gait cycle, while is the swing time of that gait cycle. For healthy persons, their gaits are usually symmetric and the swing time takes about 40% of the complete gaits on both sides. By contrast, stroke patients tend to have a deviation on the paretic side because of hemiparalysis. Therefore, we can use to evaluate the impacts of the training. The rehabilitation training is said to be effective if approaches zero.
6. Conclusions
Author Contributions
Funding
Acknowledgments
Conflicts of Interest
Appendix A. Robust Loop-Shaping Design for the Motor Control System



- (1)
- increasing system gains at the low frequency for disturbance rejection;
- (2)
- decreasing system gains at high frequency for noise attenuation;
- (3)
- limiting the slope of the magnitude plot less steep than –40 dB/decade around cross-over frequency for stability.

References
- Stroke-Association. Stroke Statics. 2017. Available online: https://www.stroke.org.uk (accessed on 10 April 2020).
- Ministry of Health and Welfare of ROC. Statics About Cause od Death. 2016. Available online: https://www.mohw.gov.tw/mp-1.html (accessed on 10 April 2020).
- Centers-for-Disease-Control-and-Prevention. Stroke Facts. 2017. Available online: https://www.cdc.gov/stroke/facts.htm (accessed on 10 April 2020).
- Colombo, G.; Joerg, M.; Schreier, R.; Dietz, V. Treadmill Training of Paraplegic Patients Using a Robotic Orthosis. J. Rehabil. Res. Dev. 2000, 37, 6. Available online: https://www.ncbi.nlm.nih.gov/pubmed/11321005 (accessed on 10 April 2020).
- Schmidt, H.; Werner, C.; Bernhardt, R.; Hesse, S.; Krüger, J. Gait rehabilitation machines based on programmable footplates. J. Neuroeng. Rehabil. 2007, 4, 2. [Google Scholar] [CrossRef] [PubMed]
- Wang, F.-C.; Yu, C.H.; Chou, T.Y. Design and implementation of robust controllers for a gait trainer. Proc. Inst. Mech. Eng. Part H J. Eng. Med. 2009, 223, 687–696. [Google Scholar] [CrossRef] [PubMed]
- Patton, J.; Brown, D.A.; Peshkin, M.; Santos-Munné, J.J.; Makhlin, A.; Lewis, E.; Colgate, E.J.; Schwandt, D. KineAssist: Design and Development of a Robotic Overground Gait and Balance Therapy Device. Top. Stroke Rehabil. 2008, 15, 131–139. [Google Scholar] [CrossRef] [PubMed]
- Esquenazi, A.; Talaty, M.; Packel, A.; Saulino, M. The ReWalk Powered Exoskeleton to Restore Ambulatory Function to Individuals with Thoracic-Level Motor-Complete Spinal Cord Injury. Am. J. Phys. Med. Rehabil. 2012, 91, 911–921. [Google Scholar] [CrossRef] [PubMed]
- Schmitt, C.; Métrailler, P. The Motion Maker™: A Rehabilitation System Combining an Orthosis with Closed-Loop Electrical Muscle Stimulation. In Proceedings of the 8th Vienna International Workshop on Functional Electrical Stimulation, Vienna, Austria, 10–13 September 2004; pp. 117–120. Available online: https://infoscience.epfl.ch/record/81393 (accessed on 10 April 2020).
- Bradley, D.; Acosta-Marquez, C.; Hawley, M.S.; Brownsell, S.; Enderby, P.; Mawson, S. NeXOS–The design, development and evaluation of a rehabilitation system for the lower limbs. Mechatronics 2009, 19, 247–257. [Google Scholar] [CrossRef]
- Belforte, G.; Gastaldi, L.; Sorli, M. Pneumatic active gait orthosis. Mechatronics 2001, 11, 301–323. [Google Scholar] [CrossRef]
- Yu, H.; Huang, S.; Chen, G.; Thakor, N.V. Control design of a novel compliant actuator for rehabilitation robots. Mechatronics 2013, 23, 1072–1083. [Google Scholar] [CrossRef]
- Pohl, M.; Mehrholz, J.; Ritschel, C.; RuückriemS. Speed-Dependent Treadmill Training in Ambulatory Hemiparetic Stroke Patients. Stroke 2002, 33, 553–558. [Google Scholar] [CrossRef] [PubMed]
- Visintin, M.; Barbeau, H.; Korner-Bitensky, N.; Mayo, N.E. A new approach to retrain gait in stroke patients through body weight support and treadmill stimulation. Stroke 1998, 29, 1122–1128. [Google Scholar] [CrossRef] [PubMed]
- Hesse, S.; Bertelt, C.; Jahnke, M.T.; Schaffrin, A.; Baake, P.; Malezic, M.; Mauritz, K.H. Treadmill Training With Partial Body Weight Support Compared With Physiotherapy in Nonambulatory Hemiparetic Patients. Stroke 1995, 26, 976–981. [Google Scholar] [CrossRef] [PubMed]
- Wang, F.C.; Lin, Y.Y.; Yu, C.H. Robust Loop-Shaping Control Design and Implementation for an Automatic Neuro-Developmental-Treatment Device. In Proceedings of the 2018 European Control Conference, Limassol, Cyprus, 12–15 June 2018; pp. 997–1002. [Google Scholar]
- Phoenix-Technologies-Inc. VZ4000. Available online: http://www.ptiphoenix.com/products/trackers/VZ4000 (accessed on 10 April 2020).
- VICON. VICON Products. Available online: https://www.vicon.com/ (accessed on 10 April 2020).
- TDK Invensense. MPU-9250 Datasheet. Available online: https://invensense.tdk.com/download-pdf/mpu-9250-datasheet/ (accessed on 10 April 2020).
- Arduino. ARDUINO NANO. Available online: https://store.arduino.cc/usa/arduino-nano (accessed on 10 April 2020).
- Espressif Systems. ESP8266 Datasheet. Available online: https://www.espressif.com/sites/default/files/documentation/0a-esp8266ex_datasheet_en.pdf (accessed on 10 April 2020).
- Arduino. ARDUINO MEGA 2560. Available online: https://store.arduino.cc/usa/arduino-mega-2560-rev3 (accessed on 10 April 2020).
- Hanmark Drive Technology Cooperation ltd. 5-Phase Stepper Motor and Actuator. Available online: http://www.hanmark.com.tw/pro_detail.asp?s_no=8 (accessed on 10 April 2020).
- Transducer. Mini Low Profile Load Cell. Available online: https://www.transducertechniques.com/mlp-load-cell.aspx (accessed on 10 April 2020).
- Invensense. MPU-9250 Nine-Axis MEMS MotionTracking Device. Available online: https://www.invensense.com/products/motion-tracking/9-axis/mpu-9250/ (accessed on 10 April 2020).
- InvenSense. MPU-9250 Register Map and Description; InvenSense Inc.: San Jose, CA, USA, 2013. [Google Scholar]
- Espressif. ESP8266. Available online: https://www.espressif.com/en/products/hardware/esp8266ex/overview (accessed on 10 April 2020).
- Transducer Techniques. Digital Panel Mount Meter Operator Manual. Available online: https://www.transducertechniques.com/pdf/dpm-3.pdf (accessed on 10 April 2020).
- Transducer. Smart Digital Panel Mount Load Cell Meter. Available online: https://www.transducertechniques.com/dpm-3.aspx (accessed on 10 April 2020).
- Aminian, K.; Najafi, B.; Büla, C.; Leyvraz, P.-F.; Robert, P. Spatio-temporal parameters of gait measured by an ambulatory system using miniature gyroscopes. J. Biomech. 2002, 35, 689–699. [Google Scholar] [CrossRef]
- Wang, T.-C. Development of an Intelligent Inverted Pendulum Assistive Walker. Master Thesis, National Taiwan University, Taipei, Taiwan, 2017. [Google Scholar]
- National Taiwan University Hospital. Clinical Trial Center. Available online: https://www.ntuh.gov.tw/NCTRC/training/training.aspx (accessed on 10 April 2020).
- Saebo. The Brunnstrom Stages of Stroke Recovery. Available online: https://www.saebo.com/the-stages-of-stroke-recovery/ (accessed on 10 April 2020).
- Hold, M.K.; Gill, K.M.; Magliozzi, M.R. Gait assessment for neurologically impaired patients. Standards for outcome assessment. Phys. Ther. 1986, 66, 1530–1539. [Google Scholar] [CrossRef] [PubMed]
- Mungas, D. Iii-office mental status testing: A practical guide. Geriatrics 1991, 46, 54–58. [Google Scholar] [PubMed]
- Patterson, K.K.; Parafianowicz, I.; Danells, C.J.; Closson, V.; Verrier, M.C.; Staines, W.R. Gait asymmetry in community-ambulating stroke survivors. Arch. Phys. Med. Rehabil. 2008, 89, 304–310. [Google Scholar] [CrossRef] [PubMed]
- Chen, G.; Patten, C.; Kothari, D.H.; Zajac, F.E. Gait differences between individuals with post-stroke hemiparesis and non-disabled controls at matched speeds. Gait Posture 2005, 22, 51–56. [Google Scholar] [CrossRef] [PubMed]
- Epomedicine. Physical Examination: Gait. Available online: http://epomedicine.com/clinical-medicine/physical-examination-gait/ (accessed on 10 April 2020).
- Sano, A.; Sun, L.; Ohmori, H. Direct closed-loop identification approach to unstable systems. In Proceedings of the Control Conference (ECC), Karlsruhe, Germany, 31 August–3 September 1999. [Google Scholar]
- Glover, K.; McFarlane, D. Robust stabilization of normalized coprime factor plant descriptions with H∞-bounded uncertainty. IEEE Trans. Autom. Control 1989, 34, 821–830. [Google Scholar] [CrossRef]
- Doyle, J.; Francis, B.; Tannenbaum, A. Feedback Control Theory; Macmillan: New York, NY, USA, 1990. [Google Scholar]
- Zhou, K. Essentials of Robust Control; Prentice Hall International: Upper Saddle River, NJ, USA, 1998. [Google Scholar]
- McFarlane, D.; Glover, K. A loop-shaping design procedure using H∞ synthesis. IEEE Trans. Autom. Control 1992, 37, 759–769. [Google Scholar] [CrossRef]
- Wang, F.C.; Chen, L.S.; Tsai, Y.C. Robust loop-shaping control for a nano-positioning stage. J. Vib. Control 2014, 20, 885–900. [Google Scholar] [CrossRef]














| IMU (MPU9250) [19,25,26] | |
| operating voltage | 3.3 V |
| operating current | 3.7 mA |
| Resolution | 16 bits |
| max measurement range of gyroscope | |
| max measurement range of accelerometer | |
| max measurement range of magnetometer | |
| Wireless transmission module (ESP-01) [21,27] | |
| operating voltage | 3.3 V |
| communication protocol | 802.11 b/g/n |
| peripheral interface | UART |
| working mode | Station/SoftAP/SoftAP+Station |
| network protocol | TCP/UDP |
| Step motor driver (MAC5528) [23] | |
| Resolution | 500–125,000 steps |
| max pulse rate | 500 kHz |
| input signal | 4–10 V, <20 mA |
| output signal | 24 V, <10 mA |
| Step motor (MPK569-2.8A) [23] | |
| Phase | 5 |
| operating voltage | 1.75 V |
| operating current | 2.8 A/phase |
| static torque | |
| Load cell (MLP-200 [24] & DPM-3 [28,29]) | |
| max measurement range of force | 200 lb |
| resonance frequency | 5200 Hz |
| max power consumption | 5 W |
| signal output voltage | 0–10 V |
| signal output current | 2 mA |
| Accuracy | of full scale |
| Subject | Sex | Age | Height (cm) | Weight (kg) | Paretic Side | MMSE (score) | BS (stage) | FAC (stage) |
|---|---|---|---|---|---|---|---|---|
| P1 | male | 55 | 155 | 61 | right | 30 | 4 | 4 |
| P2 | male | 55 | 180 | 75 | right | 30 | 4 | 4 |
| Subject | Left HS | Right HS |
|---|---|---|
| P1 | 98.4925% | 96.4942% |
| P2 | 95.4277% | 99.2331% |
| Fmax | Fmin | Force Command (lb) | ||
|---|---|---|---|---|
| Left side | 4.9876 lb | 0.3739 lb | 0.4994 | |
| Right side | 5.8170 lb | 0.2223 lb | 0.4994 |
| Subject | Sex | Age | Height (cm) | Weight (kg) | Rehab Gaiter Applied Side |
|---|---|---|---|---|---|
| H1 | male | 24 | 170 | 70 | right |
| H2 | male | 24 | 176 | 63 | left |
| H3 | male | 25 | 165 | 60 | right |
| Subject | Index | A | B | |
|---|---|---|---|---|
| P1 | 1.3604 | 1.2481 | 1.2057 | |
| 25.1645 | 17.4078 | 13.7540 | ||
| P2 | 0.9880 | 1.0187 | 1.0034 | |
| −3.1273 | −0.9489 | −6.0481 | ||
| H1 | 1.7277 | 1.1087 | 1.0753 | |
| 38.1344 | 0.0879 | 1.3726 | ||
| H2 | 1.2410 | 1.2045 | 1.1386 | |
| 14.0254 | 6.4010 | 6.2071 | ||
| H3 | 1.3577 | 1.0928 | 1.0503 | |
| 27.7783 | −2.0309 | −2.2814 |
© 2020 by the authors. Licensee MDPI, Basel, Switzerland. This article is an open access article distributed under the terms and conditions of the Creative Commons Attribution (CC BY) license (http://creativecommons.org/licenses/by/4.0/).
Share and Cite
Wang, F.-C.; Li, Y.-C.; Wu, K.-L.; Chen, P.-Y.; Fu, L.-C. Online Gait Detection with an Automatic Mobile Trainer Inspired by Neuro-Developmental Treatment. Sensors 2020, 20, 3389. https://doi.org/10.3390/s20123389
Wang F-C, Li Y-C, Wu K-L, Chen P-Y, Fu L-C. Online Gait Detection with an Automatic Mobile Trainer Inspired by Neuro-Developmental Treatment. Sensors. 2020; 20(12):3389. https://doi.org/10.3390/s20123389
Chicago/Turabian StyleWang, Fu-Cheng, You-Chi Li, Kai-Lin Wu, Po-Yin Chen, and Li-Chen Fu. 2020. "Online Gait Detection with an Automatic Mobile Trainer Inspired by Neuro-Developmental Treatment" Sensors 20, no. 12: 3389. https://doi.org/10.3390/s20123389
APA StyleWang, F.-C., Li, Y.-C., Wu, K.-L., Chen, P.-Y., & Fu, L.-C. (2020). Online Gait Detection with an Automatic Mobile Trainer Inspired by Neuro-Developmental Treatment. Sensors, 20(12), 3389. https://doi.org/10.3390/s20123389

