A Power Supply Technology for a Low-Power Online Monitoring Sensor Based on Electric Field Induction
Abstract
:1. Introduction
2. Materials and Methods
2.1. Principle
2.2. Influence Factor
2.2.1. Bundle Conductor
2.2.2. Plate Installation Position
2.2.3. Matching Principle of Transformer and Compensation Capacitor
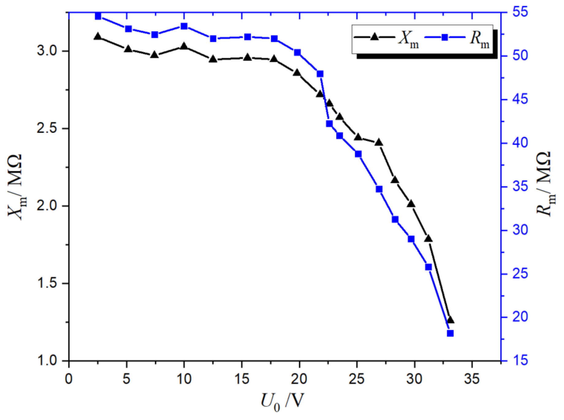
2.2.4. Analysis of Excitation Impedance Parameters
2.2.5. Load-Side Parameter Matching Analysis
3. Results and Discussion
3.1. Experimental Analysis of Bundle Conductor
3.2. Test and Analysis of the Energy-Harvesting Circuit
3.2.1. Load Characteristic Analysis of the Transformer
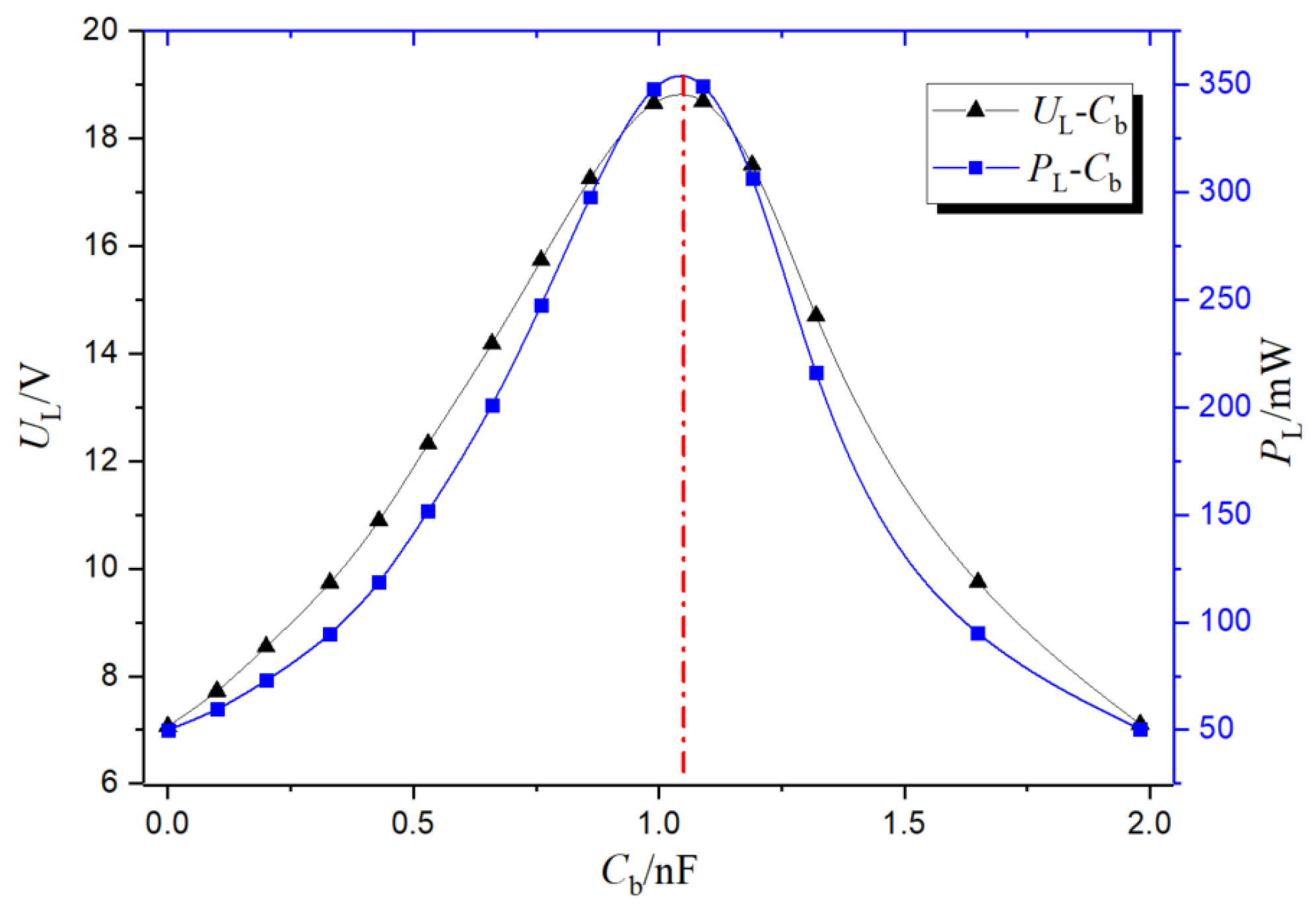
3.2.2. Influence of Compensation Capacitance and Excitation Impedance on Power
3.2.3. Parameter matching between Turn Ratio and Load
3.3. Application of Electric Field Energy Source
4. Conclusions
Author Contributions
Funding
Conflicts of Interest
References
- Yin, T.; Chen, X.; Du, Y.; He, Y. Research on power supply employed in ices real-time monitoring system of high-voltage transmission lines. In Proceedings of the 2008 Internet Conference on High Voltage Engineering and Application, Chongqing, China, 9–12 November 2008; pp. 626–628. [Google Scholar] [CrossRef]
- He, Z.; Nie, S.; Qu, G.; Liu, Y.; Sheng, G.; Jiang, X. The design of CT energy harvesting power supply based on phase-controlled method. In Proceedings of the 2012 Asia-Pacific Power and Energy Engineering Conference, Shanghai, China, 27–29 March 2012; pp. 1–5. [Google Scholar] [CrossRef]
- Moghe, R.; Yang, Y.; Lambert, F.; Divan, D. A scoping study of electric and magnetic field energy harvesting for wireless sensor networks in power system applications. In Proceedings of the 2009 IEEE Energy Conversion Congress and Exposition, San Jose, CA, USA, 20–24 September 2009; pp. 3550–3557. [Google Scholar]
- Moghe, R.; Iyer, A.R.; Lambert, F.C.; Divan, D. A low-cost electric field energy harvester for an MV/HV asset-monitoring smart sensor. IEEE Trans. Ind. Appl. 2015, 51, 1828–1836. [Google Scholar]
- Moghe, R.; Iyer, A.R.; Lambert, F.C.; Divan, D.M. A low-cost wireless voltage sensor for monitoring MV/HV utility assets. IEEE Trans. Smart Grid 2014, 5, 2002–2009. [Google Scholar] [CrossRef]
- Keutel, T.; Zhao, X.; Kanoun, O. Energy scavenging for monitoring of overhead power line networks. Proc. Sens. 2009, 2, 207–212. [Google Scholar]
- Zhao, X.; Keutel, T.; Baldauf, M.; Kanoun, O. Energy harvesting for overhead power line monitoring. In Proceedings of the International Multi-Conference on Systems, Signals & Devices, Chemnitz, Germany, 20–23 March 2012; pp. 1–5. [Google Scholar]
- Zhao, X.; Keutel, T.; Baldauf, M.; Kanoun, O. Power module for a wireless sensor node of a power line monitoring system. In Proceedings of the Eighth International Multi-Conference on Systems, Signals & Devices, Sousse, Tunisia, 22–25 March 2011; pp. 1–5. [Google Scholar]
- Zangl, H.; Bretterklieber, T.; Brasseur, G. A feasibility study on autonomous online condition monitoring of high-voltage overhead power lines. IEEE Trans. Instrum. Meas. 2009, 58, 1789–1796. [Google Scholar] [CrossRef]
- Zangl, H.; Bretterklieber, T.; Brasseur, G. Energy harvesting for online condition monitoring of high voltage overhead power lines. In Proceedings of the 2008 IEEE Instrumentation and Measurement Technology Conference, Victoria, BC, Canada, 12–15 May 2008; pp. 1364–1369. [Google Scholar]
- Moser, M.; Zangl, H.; Bretterklieber, T.; Brasseur, G. An autonomous sensor system for monitoring of high voltage overhead power supply lines. Elektrotechnik und Inf. 2009, 126, 214–219. [Google Scholar] [CrossRef]
- Zhao, D.; Dai, D.; Li, L. Electric field energy harvesting for on-line condition-monitoring device installed on high-voltage transmission tower. Electron. Lett. 2015, 51, 1692–1693. [Google Scholar] [CrossRef]














| Working Voltage /V | Working Current /mA | Standby Current/mA | Effective Range/m2 |
|---|---|---|---|
| 6.2 | 22 | 0.8 | 80–100 |
© 2019 by the authors. Licensee MDPI, Basel, Switzerland. This article is an open access article distributed under the terms and conditions of the Creative Commons Attribution (CC BY) license (http://creativecommons.org/licenses/by/4.0/).
Share and Cite
Li, Z.; Mei, H.; Wang, L. A Power Supply Technology for a Low-Power Online Monitoring Sensor Based on Electric Field Induction. Sensors 2019, 19, 2169. https://doi.org/10.3390/s19092169
Li Z, Mei H, Wang L. A Power Supply Technology for a Low-Power Online Monitoring Sensor Based on Electric Field Induction. Sensors. 2019; 19(9):2169. https://doi.org/10.3390/s19092169
Chicago/Turabian StyleLi, Zong, Hongwei Mei, and Liming Wang. 2019. "A Power Supply Technology for a Low-Power Online Monitoring Sensor Based on Electric Field Induction" Sensors 19, no. 9: 2169. https://doi.org/10.3390/s19092169
APA StyleLi, Z., Mei, H., & Wang, L. (2019). A Power Supply Technology for a Low-Power Online Monitoring Sensor Based on Electric Field Induction. Sensors, 19(9), 2169. https://doi.org/10.3390/s19092169

