Classification of Gait Type Based on Deep Learning Using Various Sensors with Smart Insole
Abstract
1. Introduction
2. Data Acquisition and Pre-Processing
2.1. Data Acquisition
2.2. Unit Step Segmentation
2.3. Noise Reduction
2.4. Unit Step Data Sample Normalization
3. Design of Deep Neural Network for Classification
3.1. Deep Neural Network Architecture
3.2. Network Configuration
- Input Data FormatThe DCNN receives data in the form of a two-dimensional array and performs a convolution operation with various filters in the convolution layer. In this paper, measured data for each sensor array are normalized to size through the pre-processing process mentioned in Section 2. These normalized data are used as input of DCNN. W is the number of sensors in the sensor array and t is 63. For pressure sensor arrays, acceleration sensor arrays, and gyro sensor arrays, W values are 16, 3, and 3, respectively. In order to determine how many steps are necessary to extract gait characteristics for the purpose of distinguishing gait types, classification experiments are performed using data samples consisting of one step. The number of steps included in a data sample is then continuously increased to perform classification experiments at each increment. For example, if one gait data sample is defined as k steps, the input data size of DCNN becomes .
- Convolutional LayerThe DCNN used in the proposed method includes three convolution layers. Figure 7 shows the structure of an individual DCNN for each sensor array. Each layer contains filters at the corresponding feature level. For convolution operation at each layer, the following three hyper-parameters should be determined: the number of filters to use (f), the size of filters (), and stride (s). In the first convolution layer, a total of 32 filters are used and the size of the filter is set to be (H). The filtering stride is set differently according to the number of steps (k) included in the input data of DCNN ( for ; for ). The second and third convolution layers use 64 types and 128 types of filters, respectively. The size of the filter is differently set according to the size of the output signal from the previous layer. It is set to be 1 × 20 and 1 × 20 for the second and the third convolution layers, respectively (Figure 7). The 1D convolution operation between the filter and the input data outputs a single scalar value. Operations of all filters at a certain position of the input data generate a feature vector. If convolution operations are performed while moving the position of the filter by s, a feature map of , , (the number of filtering) × 32 (the number of filters) is then generated.
- Fully Connected Network and OutputEach feature map is transformed into a DCNN feature vector (flattening), which is used as an input to a fully connected network. The fully connected network consists of two layers (except for the output layer). In order to avoid over-fitting problems and improve regularization performance, we randomized nodes in layers and dropped the remaining nodes before transferring values to the output layer. This is called ‘dropout’ [35] (in this paper, the experiment was conducted by changing the dropout ratio from 0.5 to 0.7).The output layer consists of as many nodes as the number of classes that are there to classify. At each node, the sum of weights for nodes of the previous layer is applied to the softmax function in order to calculate the final output value. In this paper, we constructed a single-modal DCNN and a multi-modal DCNN depending on the number of sensor arrays used. In the single-modal DCNN, the feature vector extracted from one kind of sensor array was used as the input of the fully connected network. In multi-modal DCNN, feature vectors of two or more sensor arrays were connected together and used as input into the fully connected network. Figure 8 shows structure of the fully connected network that determines the type of gait using single- and multi-modal DCNN feature vector as input.
4. Experimental Results
4.1. Data Measurement
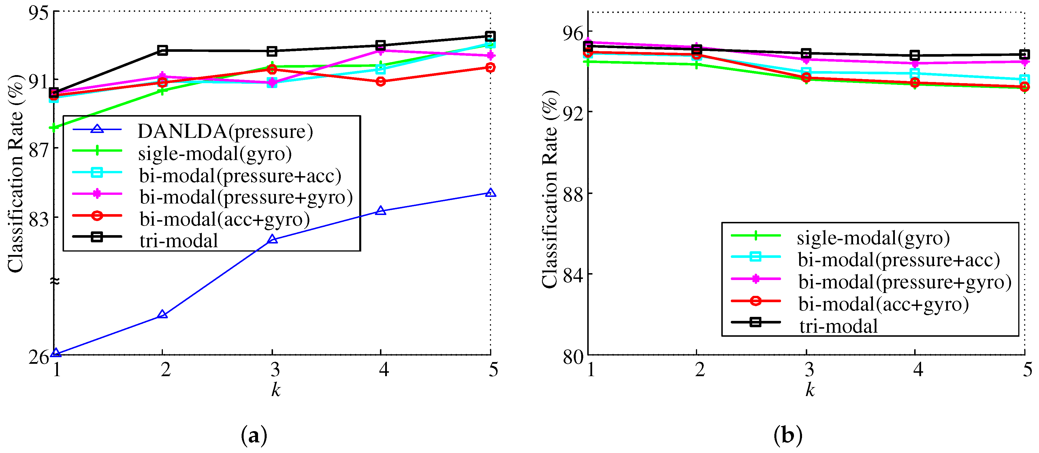
4.2. Classification Performance
5. Discussion
6. Conclusions
Author Contributions
Funding
Conflicts of Interest
References
- Pirker, W.; Katzenschlager, R. Gait disorders in adults and the elderly. Wiener Klinische Wochenschrift 2017, 129, 81–95. [Google Scholar] [CrossRef] [PubMed]
- Haynes, C.A.; Lockhart, T.E. Evaluation of gait and slip parameters for adults with intellectual disability. J. Biomech. 2012, 45, 2337–2341. [Google Scholar] [CrossRef] [PubMed]
- Verghese, J.; Lipton, R.; Hall, C.B.; Kuslansky, G.; Katz, M.J.; Buschke, H. Abnormality of gait as a predictor of non-Alzheimer’s dementia. N. Engl. J. Med. 2002, 347, 1761–1768. [Google Scholar] [CrossRef]
- Brandler, T.C.; Wang, C.; Oh-Park, M.; Holtzer, R.; Verghese, J. Depressive symptoms and gait dysfunction in the elderly. Am. J. Geriatr. Psychiatr. 2012, 20, 425–432. [Google Scholar] [CrossRef] [PubMed]
- Zhang, B.; Jiang, S.; Wei, D.; Marschollek, M.; Zhang, W. State of the art in gait analysis using wearable sensors for healthcare applications. In Proceedings of the 2012 IEEE/ACIS 11th International Conference on Computer and Information Science (ICIS), Shanghai, China, 30 May–1 June 2012; pp. 213–218. [Google Scholar]
- Mendes, J.J.A., Jr.; Vieira, M.E.M.; Pires, M.B.; Stevan, S.L., Jr. Sensor fusion and smart sensor in sports and biomedical applications. Sensors 2016, 16, 1569. [Google Scholar] [CrossRef]
- Gouwanda, D.; Senanayake, S.M.N.A. Emerging trends of body-mounted sensors in sports and human gait analysis. In Proceedings of the 4th Kuala Lumpur International Conference on Biomedical Engineering 2008, Kuala Lumpur, Malaysia, 25–28 June 2008; pp. 715–718. [Google Scholar]
- Michael, W.W. Clinical gait analysis: A review. Hum. Mov. Sci. 1996, 15, 369–387. [Google Scholar]
- Tong, K.; Granat, M.H. A practical gait analysis system using gyroscopes. Med. Eng. Phys. 1999, 21, 87–94. [Google Scholar] [CrossRef]
- Sabatini, A.M.; Martelloni, C.; Scapellato, S.; Cavallo, F. Assessment of walking features from foot inertial sensing. IEEE Trans. Biomed. Eng. 2005, 52, 486–494. [Google Scholar] [CrossRef]
- Parkka, J.; Ermes, M.; Korpipaa, P.; Mantyjarvi, J.; Peltola, J.; Korhonen, I. Activity classification using realistic data from wearable sensors. IEEE Trans. Inf. Technol. Biomed. 2006, 10, 119–128. [Google Scholar] [CrossRef]
- Yun, X.; Bachmann, E.R.; Moore IV, H.; Calusdian, J. Self-contained position tracking of human movement using small inertial/magnetic sensor modules. In Proceedings of the 2007 IEEE International Conference on Robotics and Automation, Rome, Italy, 10–14 April 2007; pp. 2526–2533. [Google Scholar]
- Juri, T.; Stefano, R.; Eduardo, P.; Fabrizio, P.; Paolo, C. A novel HMM distributed classifier for the detection of gait phases by means of a wearable inertial sensor network. Sensors 2014, 14, 16212–16234. [Google Scholar]
- Amit, K.; Ambasamudram, N.R.; Naresh, C.; Volker, K. Gait-based recognition of humans using continous HMMs. In Proceedings of the IEEE International Conference on Automatic Face and Gesture Recognition, Washington, DC, USA, 21 May 2002; pp. 1–6. [Google Scholar]
- Ghazaleh, P.; Nasser, M.; Arne, L.; Peter, H. Continuous hidden markov model for pedestrian activity classification and gait analysis. IEEE Trans. Instrum. Meas. 2013, 62, 1073–1083. [Google Scholar]
- Johnny, D.F.; Natlie, B.; Edward, D.L. Gait phase detection from thigh kinematics using machine learning techniques. In Proceedings of the 2017 IEEE International Symposium on Medical Measurements and Applications (MeMeA), Rochester, MN, USA, 7–10 May 2017; pp. 263–268. [Google Scholar]
- Ferdous, W.; Rezaul, K.B.; Chris, J.H.; Saman, H.; David, C.A. Classification of parkinson’s disease gait using spatial-temporal gait features. IEEE J. Biomed. Health Inform. 2015, 19, 1794–1802. [Google Scholar]
- Elham, D.; Avril, M.; Kara, K.P.; Babak, T.; Alex, M. Mixture-model clustering of pathological gait patterns. IEEE J. Biomed. Health Inform. 2017, 21, 1297–1305. [Google Scholar]
- Elham, D.; Babak, T.; Alex, M. Automated classification of pathological gait after stroke using ubiquitous sensing technology. In Proceedings of the 2016 38th Annual International Conference of the IEEE Engineering in Medicine and Biology Society (EMBC), Orlando, FL, USA, 16–20 August 2016; pp. 6150–6153. [Google Scholar]
- Manap, H.H.; Tahir, N.M.; Yassin, A.I.M. Statistical analysis of parkinson disease gait classification using artificial neural network. In Proceedings of the 2011 IEEE International Symposium on Signal Processing and Information Technology (ISSPIT), Bilbao, Spain, 14–17 December 2011; pp. 60–65. [Google Scholar]
- Castro, F.M.; Marín-Jiménez, M.J.; Guil, N.; López-Tapia, S.; Pérez de la Blanca, N. Evaluation of CNN architectures for gait recognition based on optical flow maps. In Proceedings of the International Conference of the Biometrics Special Interest Group, BIOSIG 2017, Darmstadt, Germany, 20–22 September 2017; pp. 251–258. [Google Scholar]
- LeCun, Y.; Kavukcuoglu, K.; Farabet, C. Convolutional networks and applications in vision. In Proceedings of the 2010 IEEE International Symposium on Circuits and Systems, Paris, France, 30 May–2 June 2010; Volume 2010, pp. 253–256. [Google Scholar]
- Lee, S.M.; Yoon, S.M.; Cho, H. Human activity recognition from accelerometer data using Convolutional Neural Network. In Proceedings of the 2017 IEEE International Conference on Big Data and Smart Computing (BigComp), Jeju, Korea, 13–16 February 2017; pp. 131–134. [Google Scholar]
- Moufawad el Achkar, C.; Lenoble-Hoskovec, C.; Paraschiv-Ionescu, A.; Major, K.; Büla, C.; Aminian, K. Instrumented shoes for activity classification in the elderly. Gait Posture 2016, 44, 12–17. [Google Scholar] [CrossRef]
- Wu, J.; Wang, J.; Liu, L. Feature extraction via KPCA for classification of gait patterns. Hum. Mov. Sci. 2007, 26, 393–411. [Google Scholar] [CrossRef]
- Seo, W.D.; Lee, S.S.; Shin, W.Y.; Choi, S.I. Gait type classification using pressure sensor of smart insole. J. Korea Soc. Comput. Inf. 2018, 23, 17–26. [Google Scholar]
- Cevikalp, H.; Neamtu, M.; Wilkes, M.; Barkana, A. Discriminative common vectors for face recognition. IEEE Trans. Pattern Anal. Mach. Intell. 2005, 27, 4–13. [Google Scholar] [CrossRef]
- Choi, S.I.; Lee, S.S.; Park, H.C.; Kim, H. Gait type classification using smart insole sensors. In Proceedings of the TENCON 2018—2018 IEEE Region on 10 Conference, Jeju Island, Korea, 28–31 October 2018. [Google Scholar]
- Charalambous, C.P. Walking patterns of normal men. In Classic Papers in Orthopaedics; Springer: New York, NY, USA, 2014; pp. 393–395. [Google Scholar]
- Truong, P.H.; Lee, J.; Kwon, A.R.; Jeong, G.M. Stride counting in human walking and walking distance estimation using insole sensors. Sensors 2016, 16, 823. [Google Scholar] [CrossRef]
- Krizhevsky, A.; Sutskever, I.; Hinton, G.E. Imagenet classification with deep convolutional neural networks. Adv. Neural Inf. Process. Syst. 2012, 1097–1105. [Google Scholar] [CrossRef]
- Hecht-Nielsen, R. Theory of the backpropagation neural network. In Neural Networks for Perception; Elsevier: Amsterdam, The Netherlands, 1992; pp. 65–93. [Google Scholar]
- Glorot, X.; Bordes, A.; Bengio, Y. Deep sparse rectifier neural networks. In Proceedings of the Fourteenth International Conference on Artificial Intelligence and Statistics, Ft. Lauderdale, FL, USA, 11–13 April 2011; pp. 315–323. [Google Scholar]
- Ioffe, S.; Szegedy, C. Batch normalization: Accelerating deep network training by reducing internal covariate shift. arXiv, 2015; arXiv:1502.03167. [Google Scholar]
- Srivastava, N.; Hinton, G.; Krizhevsky, A.; Sutskever, I.; Salakhutdinov, R. Dropout: A simple way to prevent neural networks from overfitting. J. Mach. Learn. Res. 2014, 15, 1929–1958. [Google Scholar]
- Diederik, P.K.; Ba, J. Adam: A method for stochastic optimization. arXiv, 2014; arXiv:1412.6980. [Google Scholar]
- Glorot, X.; Bengio, Y. Understanding the difficulty of training deep feedforward neural networks. In Proceedings of the Thirteenth International Conference on Artificial Intelligence and Statistics, Sardinia, Italy, 13–15 May 2010; pp. 249–256. [Google Scholar]










| Gait Type | Number of Steps | Measuring Time | Average Time per Ten Steps |
|---|---|---|---|
| Walking | 2294 | 3 min | 9.1 |
| Fast walking | 2714 | 3 min | 10.8 |
| Running | 3642 | 3 min | 14.5 |
| Stair climbing | 747 | 1 min | 8.9 |
| Stair descending | 971 | 1 min | 11.6 |
| Hill climbing | 1577 | 2 min | 9.4 |
| Hill descending | 1586 | 2 min | 9.4 |
| k | Total Number of Gait Samples | Number of Training Samples | Number of Test Samples |
|---|---|---|---|
| 1 | 13,531 | 11,598 | 1933 |
| 2 | 6742 | 5778 | 964 |
| 3 | 4476 | 3836 | 640 |
| 4 | 3347 | 2868 | 479 |
| 5 | 2671 | 2289 | 382 |
© 2019 by the authors. Licensee MDPI, Basel, Switzerland. This article is an open access article distributed under the terms and conditions of the Creative Commons Attribution (CC BY) license (http://creativecommons.org/licenses/by/4.0/).
Share and Cite
Lee, S.-S.; Choi, S.T.; Choi, S.-I. Classification of Gait Type Based on Deep Learning Using Various Sensors with Smart Insole. Sensors 2019, 19, 1757. https://doi.org/10.3390/s19081757
Lee S-S, Choi ST, Choi S-I. Classification of Gait Type Based on Deep Learning Using Various Sensors with Smart Insole. Sensors. 2019; 19(8):1757. https://doi.org/10.3390/s19081757
Chicago/Turabian StyleLee, Sung-Sin, Sang Tae Choi, and Sang-Il Choi. 2019. "Classification of Gait Type Based on Deep Learning Using Various Sensors with Smart Insole" Sensors 19, no. 8: 1757. https://doi.org/10.3390/s19081757
APA StyleLee, S.-S., Choi, S. T., & Choi, S.-I. (2019). Classification of Gait Type Based on Deep Learning Using Various Sensors with Smart Insole. Sensors, 19(8), 1757. https://doi.org/10.3390/s19081757
