Low-Coherence Interferometric Fiber Optic Sensor for Humidity Monitoring Based on Nafion® Thin Film †
Abstract
1. Introduction
2. Materials and Experimental Methods
2.1. Nafion®-Based Humidity Sensing Material
2.2. Sensing Principle
2.3. Sensor Fabrication
2.4. Characterisation of the Nafion® Fiber Optic Sensing Structure
2.5. Experimental Set-Up
2.6. Relative Humidity (RH) Measuring Methodology
3. Results and Discussion
3.1. The Analysis of Morphology of The Fiber Optic Sensing Structure
3.2. The Analysis of Optical Properties and Humidity Sensing Performance
3.2.1. Morphology Effects on the Optical Properties of Sensing Film
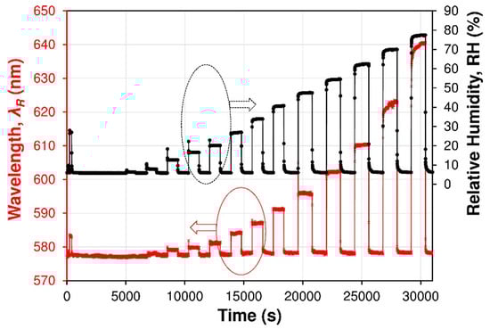
3.2.2. Resonant-Wavelength-Based Humidity Sensing
3.2.3. Intensity-Based Humidity Sensing
4. Conclusions
Author Contributions
Funding
Conflicts of Interest
References
- Chen, Z.; Lu, C. Humidity Sensors: A Review of Materials and Mechanisms. Sens. Lett. 2005, 3, 274–295. [Google Scholar] [CrossRef]
- Rittersma, Z.M. Recent Achievements in Miniaturised Humidity Sensors—A Review of Transduction Techniques. Sens. Actuators A 2002, 96, 196–210. [Google Scholar] [CrossRef]
- Farahani, H.; Wagiran, R.; Hamidon, M.H. Humidity sensors principle, mechanism, and fabrication technologies: A comprehensive review. Sensors 2014, 14, 7881–7939. [Google Scholar] [CrossRef] [PubMed]
- Yeo, T.L.; Sun, T.; Grattan, K.T.V. Fibre-optic sensor technologies for humidity and moisture measurement. Sens. Actuators A 2008, 144, 280–295. [Google Scholar] [CrossRef]
- Ascorbe, J.; Corres, J.M.; Arregui, F.J.; Matias, I.R. Recent Developments in Fiber Optics Humidity Sensors. Sensors 2017, 17, 893. [Google Scholar] [CrossRef] [PubMed]
- Rajan, G.; Noor, Y.M.; Liu, B.; Ambikairaja, E.; Webb, D.J.; Peng, G.D. A fast response intrinsic humidity sensor based on an etched singlemode polymer fiber Bragg grating. Sens. Actuators A Phys. 2013, 203, 107–111. [Google Scholar] [CrossRef]
- Leal-Junior, A.; Frizera-Neto, A.; Marques, C.; Pontes, M.J. Measurement of temperature and relative humidity with polymer optical fiber sensors based on the induced stress-optic effect. Sensors 2018, 18, 2714. [Google Scholar] [CrossRef]
- To So Yu, F.; Yin, S. Fiber Optic Sensors; Marcel Dekker Inc.: New York, NY, USA, 2002; ISBN 0-8247-0732-X. [Google Scholar]
- Yang, M.; Peng, J.; Wang, G.; Dai, J. Fiber Optic Sensors Based on Nano-Films. In Fiber Optic Sensors. Smart Sensors, Measurement and Instrumentation; Matias, I., Ikezawa, S., Corres, J., Eds.; Springer: Cham, Switzerland, 2017; Volume 21, pp. 1–30. ISBN 978-3-319-42624-2. [Google Scholar]
- Aneesh, R.; Khijwania, S.K. Titanium dioxide nanoparticle based optical fiber humidity sensor with linear response and enhanced sensitivity. Appl. Opt. 2012, 51, 2164–2171. [Google Scholar] [CrossRef]
- Itagaki, Y.; Nakashima, S.; Sadaoka, Y. Optical humidity sensor using porphyrin immobilized Nafion composite films. Sens. Actuators B 2009, 142, 44–48. [Google Scholar] [CrossRef]
- Maciak, E. Optical fiber coated with Nafion® thin film for humidity sensing. In Proceedings of the 11th Conference on Integrated Optics: Sensors, Sensing Structures, and Methods, Szczyrk, Poland, 29 February–4 March 2016; pp. 100340N1–10034N6. [Google Scholar] [CrossRef]
- Arregui, F.J.; Liu, Y.; Matias, I.R.; Claus, R.O. Optical fiber humidity sensor using a nano Fabry-Perot cavity formed by the ionic self-assembly method. Sens. Actuators B 1999, 59, 54–59. [Google Scholar] [CrossRef]
- Matias, I.R.; Arregui, F.J.; Corres, J.M.; Bravo, J. Evanescent Field Fiber-Optic Sensors for Humidity Monitoring Based on Nanocoatings. IEEE Sens. J. 2007, 7, 89–95. [Google Scholar] [CrossRef]
- Hernáez, M.; Zamarreño, C.R.; Matías, I.R.; Arregui, F.J. Optical fiber humidity sensor based on surface plasmon resonance in the infra-red region. J. Phys. Conf. Ser. 2009, 178, 12019. [Google Scholar] [CrossRef]
- Limodehi, H.; Légaré, F. Fiber optic humidity sensor using water vapor condensation. Opt. Express 2017, 25, 15313–15321. [Google Scholar] [CrossRef] [PubMed]
- Yeo, T.L.; Sun, T.; Grattan, K.T.V.; Parry, D.; Lade, R.; Powell, B.D. Characterisation of a polymer-coated fibre Bragg grating sensor for relative humidity sensing. Sens. Actuators B 2005, 110, 148–156. [Google Scholar] [CrossRef]
- Kronenberg, P.; Rastogi, P.K.; Giaccari, P.; Limberger, H.G. Relative Humidity sensor with optical fiber Bragg grating. Opt. Lett. 2002, 27, 1385–1387. [Google Scholar] [CrossRef] [PubMed]
- Correia, S.F.H.; Antunes, P.; Pecoraro, E.; Lima, P.P.; Varum, H.; Carlos, L.D.; Ferreira, R.A.S.; André, P.S. Optical fiber relative humidity sensor based on a FBG with a di-ureasil coating. Sensors 2012, 12, 8847–8860. [Google Scholar] [CrossRef] [PubMed]
- Venugopalan, T.; Sun, T.; Grattan, K.T.V. Long period grating-based humidity sensor for potential structural health monitoring. Sens. Actuators A 2008, 148, 57–62. [Google Scholar] [CrossRef]
- Wu, Q.; Semenova, Y.; Mathew, J.; Wang, P.; Farrell, G. Humidity sensor based on a single-mode hetero-core fiber structure. Opt. Lett. 2011, 36, 1752–1754. [Google Scholar] [CrossRef]
- Mohd Noor, M.Y.; Khalili, N.; Skinner, I.; Peng, G.D. Optical relative humidity sensor based on a hollow core-photonic bandgap fiber. Meas. Sci. Technol. 2012, 23, 085103. [Google Scholar] [CrossRef]
- Feng, C.-D.; Sun, S.-L.; Wang, H.; Segre, C.U.; Stetter, J.R. Humidity sensing properties of Nafion and sol-gel derived SiO2/Nafion composite thin films. Sens. Actuators B 1997, 40, 217–222. [Google Scholar] [CrossRef]
- Ablat, H.; Yimit, A.; Mahmut, M.; Itoh, K. Nation film/K+-exchanged glass optical waveguide sensor for BTX detection. Anal. Chem. 2008, 80, 7678–7683. [Google Scholar] [CrossRef] [PubMed]
- Hara, M.; Inukai, J.; Miyatake, K.; Uchida, H.; Watanabe, M. Temperature dependence of the water distribution inside a Nafion membrane in an operating polymer electrolyte fuel cell. A micro-Raman study. Electrochim. Acta 2011, 58, 449–455. [Google Scholar] [CrossRef]
- Kendrick, I.; Kumari, D.; Yakaboski, A.; Dimakis, N.; Smotkin, E.S. Elucidating the ionomer-electrified metal interface. JACS 2010, 132, 17611–17616. [Google Scholar] [CrossRef] [PubMed]
- Mauritz, K.A.; Moore, R.B. State of understanding of Nafion. Chem. Rev. 2004, 104, 4535–4585. [Google Scholar] [CrossRef] [PubMed]
- O’Dea, J.R.; Economou, N.J.; Buratto, S.K. Surface Morphology of Nafion at Hydrated and Dehydrated Conditions. Macromolecules 2013, 46, 2267–2274. [Google Scholar] [CrossRef]
- Economou, N.J.; O’Dea, J.R.; McConnaughy, T.B.; Buratto, S.K. Morphological differences in short side chain and long side chain perfluorosulfonic acid proton exchange membranes at low and high water contents. RSC Adv. 2013, 3, 19525–19532. [Google Scholar] [CrossRef]
- Schmidt-Rohr, K.; Chen, Q. Parallel cylindrical water nanochannels in Nafion fuel-cell membranes. Nat. Mater. 2008, 7, 75–83. [Google Scholar] [CrossRef]
- Eikerling, M. Water management in cathode catalyst layers of PEM fuel cells. J. Electrochem. Soc. 2006, 153, E58–E70. [Google Scholar] [CrossRef]
- Rubatat, L.; Rollet, A.L.; Gebel, G.; Diat, O. Evidence of elongated polymeric aggregates in Nafion. Macromolecules 2002, 35, 4050–4055. [Google Scholar] [CrossRef]
- Rao, Y.-J.; Jackson, D.A. Recent progress in fibre optic low-coherence interferometry. Meas. Sci. Technol. 1996, 7, 981–999. [Google Scholar] [CrossRef]
- Maciak, E.; Opilski, Z. Transition metal oxides covered Pd film for optical H2 gas detection. Thin Solid Films 2007, 515, 8351–8355. [Google Scholar] [CrossRef]
- Maciak, E.; Pustelny, T. An optical ammonia (NH3) gas sensing by means of Pd/CuPc interferometric nanostructures based on white light interferometry. Sens. Actuators B 2013, 189, 230–239. [Google Scholar] [CrossRef]
- Mc Murtry, S.; Wright, J.D.; Jackson, D.A. Sensing applications of a low-coherence fibre-optic interferometer measuring the refractive index of air. Sens. Actuators B 2001, 72, 69–74. [Google Scholar] [CrossRef]
- Maciak, E.; Opilski, Z. Hydrogen gas detection by means of a fiber optic interferometer sensor. J. Phys. IV 2006, 137, 135–140. [Google Scholar] [CrossRef]
- Opilski, Z.; Pustelny, T.; Maciak, E.; Bednorz, M.; Stolarczyk, A.; Jadamiec, M. Investigations of optical interferometric structures applied in toxic gas sensors. Bull. Pol. Acad. Sci. Tech. Sci. 2005, 53, 151–156. [Google Scholar]
- Pluciński, J.; Hypszer, R.; Wierzba, P.; Strąkowski, M.; Jędrzejewska-Szczerska, M.; Maciejewski, M.; Kosmowski, B.B. Optical low-coherence interferometry for selected technical applications. Bull. Pol. Acad. Sci. Tech. Sci. 2008, 56, 155–172. [Google Scholar]
- Pustelny, T.; Maciak, E.; Opilski, Z.; Bednorz, M. Optical interferometric structures for application in gas sensors. Opt. Appl. 2007, 37, 187–194. [Google Scholar]
- Varghese, B.; Rajan, V.; Van Leeuwen, T.G.; Steenbergen, W. Evaluation of a multimode fiber optic low coherence interferometer for path length resolved Doppler measurements of diffuse light. Rev. Sci. Instrum. 2007, 78, 126103. [Google Scholar] [CrossRef]
- Chen, S.; Palmer, A.W.; Grattan, K.T.V.; Meggitt, B.T. Extrinsic optical-fibre interferometric sensor that uses multimode optical fibres: System and sensing-head design for low-noise operation. Opt. Lett. 1992, 17, 701–703. [Google Scholar] [CrossRef]
- Belleville, C.; Duplain, G. White-light interferometric multimode fibre-optic strain sensor. Opt. Lett. 1993, 18, 78–80. [Google Scholar] [CrossRef]
- Takamatsu, T.; Eisenberg, A. Density and Expansion Coefficients of Nafion. J. Appl. Polym. Sci. 1979, 24, 2221–2235. [Google Scholar] [CrossRef]
- Barclay, S.M. Viscoelastic Properties of Nafion at Elevated Temperature and Humidity. J. Polym. Sci. Part B Polym. Phys. 2008, 47, 11–24. [Google Scholar] [CrossRef]















| Response Time, t90 (s) | Recovery Time, t10 (s) | ||
|---|---|---|---|
| RH 6% → 27% | RH 6% → 78% | RH 27% → 6% | RH 78% → 6% |
| <5 | 80 | <5 | 12 |
© 2019 by the author. Licensee MDPI, Basel, Switzerland. This article is an open access article distributed under the terms and conditions of the Creative Commons Attribution (CC BY) license (http://creativecommons.org/licenses/by/4.0/).
Share and Cite
Maciak, E. Low-Coherence Interferometric Fiber Optic Sensor for Humidity Monitoring Based on Nafion® Thin Film. Sensors 2019, 19, 629. https://doi.org/10.3390/s19030629
Maciak E. Low-Coherence Interferometric Fiber Optic Sensor for Humidity Monitoring Based on Nafion® Thin Film. Sensors. 2019; 19(3):629. https://doi.org/10.3390/s19030629
Chicago/Turabian StyleMaciak, Erwin. 2019. "Low-Coherence Interferometric Fiber Optic Sensor for Humidity Monitoring Based on Nafion® Thin Film" Sensors 19, no. 3: 629. https://doi.org/10.3390/s19030629
APA StyleMaciak, E. (2019). Low-Coherence Interferometric Fiber Optic Sensor for Humidity Monitoring Based on Nafion® Thin Film. Sensors, 19(3), 629. https://doi.org/10.3390/s19030629

