14.85 µW Analog Front-End for Photoplethysmography Acquisition with 142-dBΩ Gain and 64.2-pArms Noise
Abstract
:1. Introduction
2. Circuit Design
2.1. System Architecture
2.2. The Proposed TIA Topology
2.3. Secondary Amplifier (SA)
2.4. Gm-C Filter
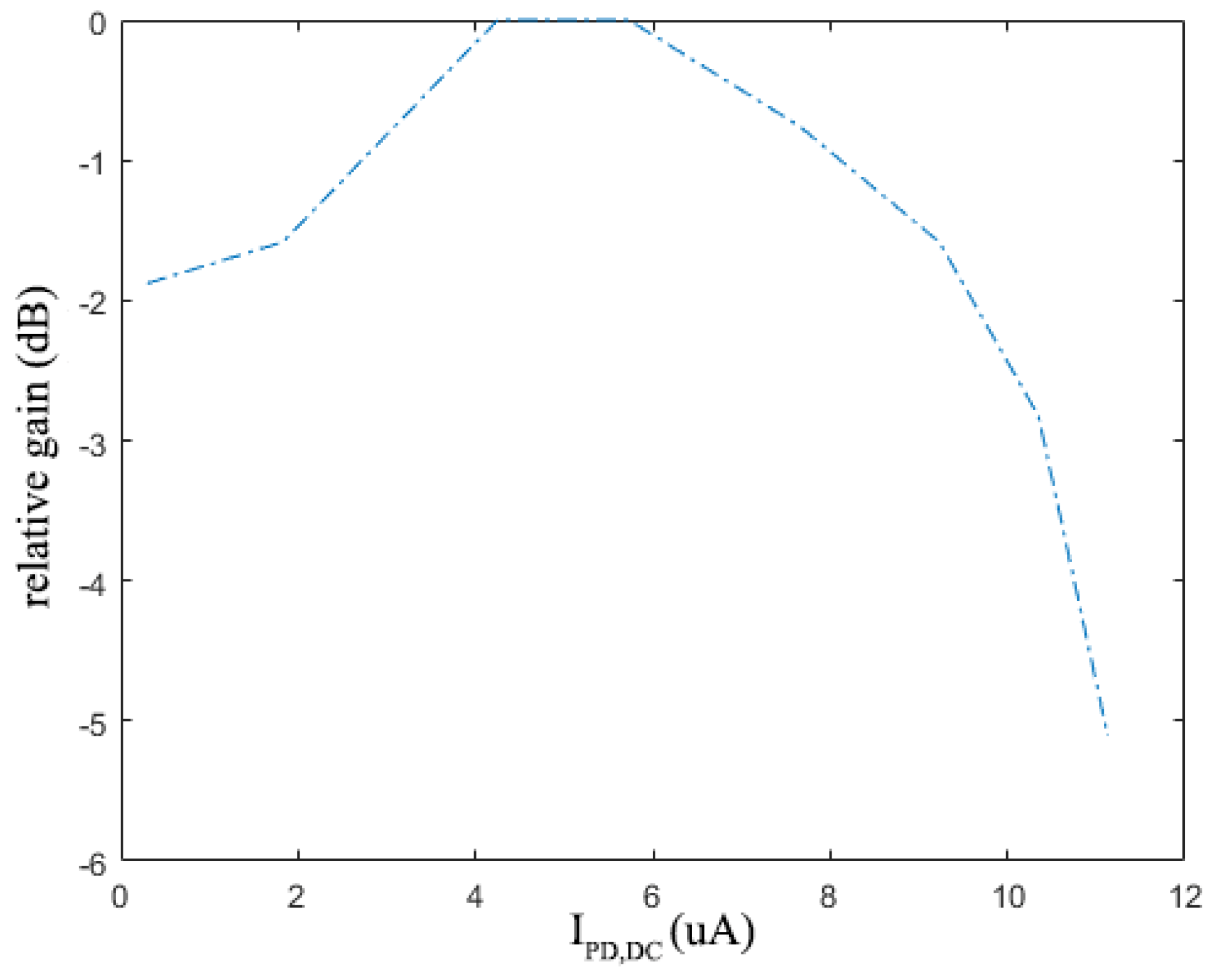
3. Measurement Results
4. Discussions and Conclusions
Author Contributions
Funding
Conflicts of Interest
References
- Chan, K.W.; Hung, K.; Zhang, Y.T. Noninvasive and Cuffless Measurements of Blood Pressure for Telemedicine. In Proceedings of the 23rd Annual International Conference of the IEEE, Istanbul, Turkey, 25–28 October 2001; pp. 3592–3593. [Google Scholar] [CrossRef]
- Moraes, J.L.; Rocha, M.X.; Vasconcelos, G.G.; Vasconcelos Filho, J.E.; de Albuquerque, V.H.C.; Alexandria, A.R. Advances in Photopletysmography Signal Analysis for Biomedical Applications. Sensors 2018, 18, 1894. [Google Scholar] [CrossRef] [PubMed]
- Ha, S.; Kim, C. Integrated Circuits and Electrode Interfaces for Noninvasive Physiological Monitoring. IEEE Trans. Biomed. Eng. 2014, 61, 1522–1537. [Google Scholar] [CrossRef] [PubMed]
- Bronzino, J.D. The Biomedical Engineering Handbook; CRC Press: Boca Raton, FL, USA, 2000. [Google Scholar]
- Liu, S.-H.; Cheng, D.-C.; Su, C.-H. A Cuffless Blood Pressure Measurement Based on the Impedance Plethysmography Technique. Sensors 2017, 17, 1176. [Google Scholar] [CrossRef] [PubMed]
- Wang, G.X.; Mohamed, A.; Lian, Y. Towards a Continuous Non-Invasive Cuffless Blood Pressure Monitoring System Using PPG: Systems and Circuits Review. IEEE Circuits Syst. Mag. 2018, 18, 6–26. [Google Scholar] [CrossRef]
- Mohamed, A.; Wang, M.; Wang, G.X. A Fully Integrated High-Sensitivity Wide Dynamic Range PPG Sensor with an Integrated Photodiode and an Automatic Dimming Control LED Driver. IEEE Sens. J. 2018, 18, 652–659. [Google Scholar] [CrossRef]
- Kim, I.; Bhagat, Y.A.; Homer, J.; Lobo, R. Multimodal Analog Front End for Wearable Bio-Sensors. IEEE Sens. J. 2016, 16, 8784–8791. [Google Scholar] [CrossRef]
- Peng, F.; Zhang, Z.; Gou, X.; Wang, W. Motion artifact removal from photoplethysmographic signals by combining temporally constrained independent component analysis and adaptive filter. Biomed. Eng. Online 2014, 13, 1–4. [Google Scholar] [CrossRef] [PubMed]
- Rajesh, P.V.; Valero-Sarmiento, J.M.; Yan, L.; Bozkurt, A.; Van Hoof, C.; Van Helleputte, N.; Yazicioglu, R.F.; Verhelst, M. A 172µW compressive sampling photoplethysmographic readout with embedded direct heart-rate and variability extraction from compressively sampled data. In Proceedings of the 2016 IEEE International Solid-State Circuits Conference, San Francisco, CA, USA, 31 January–4 February 2016; pp. 386–387. [Google Scholar] [CrossRef]
- Mannheimer, P.D.; Cascini, J.R.; Fein, M.E.; Nierlich, S.L. Wavelength selection for low-saturation pulse oximetry. IEEE Trans. Biomed. Eng. 1997, 44, 148–158. [Google Scholar] [CrossRef] [PubMed]
- Lin, B.H.; Mohamed, A.; Wang, G.X. A low-power high-sensitivity analog front-end for PPG sensor. In Proceedings of the 2017 39th Annual International Conference of the IEEE Engineering in Medicine and Biology Society, Seogwipo, Korea, 11–15 July 2017; pp. 861–864. [Google Scholar] [CrossRef]
- Wong, A.; Pun, K.; Zhang, Y.; Leung, K. A Low-Power CMOS Front-End for Photoplethysmographic Signal Acquisition with Robust DC Photocurrent Rejection. IEEE Trans. Biomed. Circuits Syst. 2008, 2, 280–288. [Google Scholar] [CrossRef] [PubMed]
- Wong, A.; Leung, K.; Pun, K.; Zhang, Y. A 0.5-Hz High-Pass Cutoff Dual-Loop Transimpedance Amplifier for Wearable NIR Sensing Device. IEEE Trans. Circuits Syst. II Express Briefs 2010, 57, 531–535. [Google Scholar] [CrossRef]
- Konijnenburg, M.; Stanzione, S.; Yan, L.; Jee, D.W.; Pettine, J.; Van Wegberg, R.; Kim, H.; Van Liempd, C.; Fish, R.; Schuessler, J. A Multi(bio)sensor Acquisition System with Integrated Processor, Power Management, 8 × 8 LED Drivers, and Simultaneously Synchronized ECG, BIO-Z, GSR, and Two PPG Readouts. IEEE J. Solid State Circuits 2016, 51, 2584–2595. [Google Scholar] [CrossRef]
- Seo, I.; Fox, R.M. Comparison of quasi-/pseudo-floating gate techniques. In Proceedings of the 2004 IEEE International Symposium Circuits and Systems Conference, Vancouver, BC, Canada, 23–26 May 2004; Volume 1, pp. I-365–I-368. [Google Scholar] [CrossRef]
- Lee, Y.C.; Hsu, W.Y.; Huang, T.T.; Chen, H. A compact Gm-C Filter Architecture with an Ultra-Low Corner Frequency and High Ground-Noise Rejection. In Proceedings of the 2013 IEEE Biomedical Circuits and Systems Conference, Rotterdam, The Netherlands, 31 October–2 November 2013; pp. 318–321. [Google Scholar] [CrossRef]
- Kim, J.; Kim, J.; Ko, H. Low-Power Photoplethysmogram Acquisition Integrated Circuit with Robust Light Interference Compensation. Sensors 2016, 16, 46. [Google Scholar] [CrossRef] [PubMed]
- AFE4403 Datasheet. Available online: http://www.ti.com/product/AFE4403/technicaldocuments (accessed on 25 January 2019).
















| Design | This Work | [7] | [8] | [10] | [15] | [18] | [19] |
|---|---|---|---|---|---|---|---|
| Process (μm) | 0.35 | 0.35 | 0.065 | 0.18 | 0.18 | 0.13 | N.A. |
| Supply Voltage (V) | 2.0–3.7 | 2.7–4 | 1.2 | 1.2 | 1.2/1.8 | 1.2 | 2.0–3.6 |
| Operation Mode | Continuous | Pulse | Pulse | Pulse | Pulse | Continuous | Pulse |
| Gain (dBΩ) | 142/135 | 145 | 52 | N.A. | 84–127 | 130.9 | 80–132 |
| Bandwidth (Hz) | 10 | 50 | 20k | 3.5 | 64 | 70 | 500 |
| Input-Referred Noise (pArms) | 64.2 | 79 | N.A. | 486 | 15.4 | 260 | 5.3 |
| Power Consumption (μW) | 14.85 | 3360 | 3401 | 1722 | 135 | 26.4 | 676.5 |
| DC Current Rejection (μA) | 0–10 | 0–70 | N.A. | 0–10 | 0–10 | 0–30 | 0–10 |
| Area (mm2) | 0.64 | 1.363 | 2.083 | 53 | 1.573 | 3.843 | N.A. |
| FoM14 (1/(μW·nArms2)) | 16.36 | 0.048 | N.A. | 0.025 | 31.17 | 0.58 | 52.83 |
| FoM25 (dBV) | 42 | 62 | N.A. | N.A. | 27 | 41 | 32 |
© 2019 by the authors. Licensee MDPI, Basel, Switzerland. This article is an open access article distributed under the terms and conditions of the Creative Commons Attribution (CC BY) license (http://creativecommons.org/licenses/by/4.0/).
Share and Cite
Lin, B.; Atef, M.; Wang, G. 14.85 µW Analog Front-End for Photoplethysmography Acquisition with 142-dBΩ Gain and 64.2-pArms Noise. Sensors 2019, 19, 512. https://doi.org/10.3390/s19030512
Lin B, Atef M, Wang G. 14.85 µW Analog Front-End for Photoplethysmography Acquisition with 142-dBΩ Gain and 64.2-pArms Noise. Sensors. 2019; 19(3):512. https://doi.org/10.3390/s19030512
Chicago/Turabian StyleLin, Binghui, Mohamed Atef, and Guoxing Wang. 2019. "14.85 µW Analog Front-End for Photoplethysmography Acquisition with 142-dBΩ Gain and 64.2-pArms Noise" Sensors 19, no. 3: 512. https://doi.org/10.3390/s19030512
APA StyleLin, B., Atef, M., & Wang, G. (2019). 14.85 µW Analog Front-End for Photoplethysmography Acquisition with 142-dBΩ Gain and 64.2-pArms Noise. Sensors, 19(3), 512. https://doi.org/10.3390/s19030512

