Influence of Uniaxial Stress on the Shear-Wave Spectrum Propagating in Steel Members
Abstract
1. Introduction
1.1. Absolute Stress in Structural Steel Members
1.2. Ultrasonic Stress Measurement Methods
1.3. Goals and Objectives of This Study
2. Theory
2.1. Theoretical Derivation of the Shear-Wave Pulse Echo Spectrum
2.2. Theoretical Derivation of the Shear-Wave Amplitude Spectrum
2.3. Theoretical Derivation of the Shear-Wave Phase Spectrum
2.4. Uniaxial Stress Measurement Using the Shear-Wave Pulse Echo Spectrum
3. Experimental Studies
3.1. Equipment and Sample
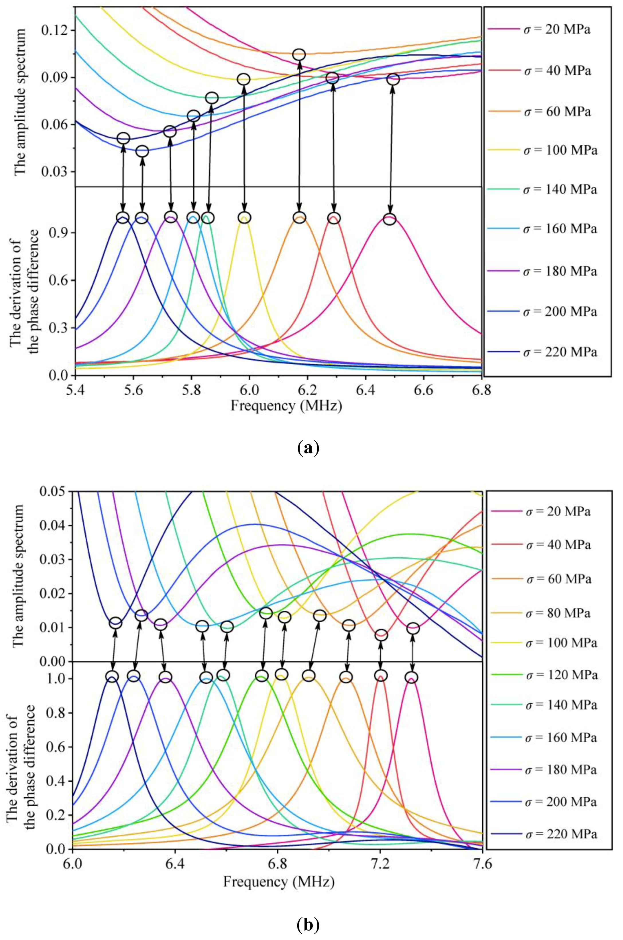
3.2. Influence of the Uniaxial Stress on the Shear-Wave Amplitude Spectrum
3.3. Influence of Uniaxial Stress on the Shear-Wave Phase Spectrum
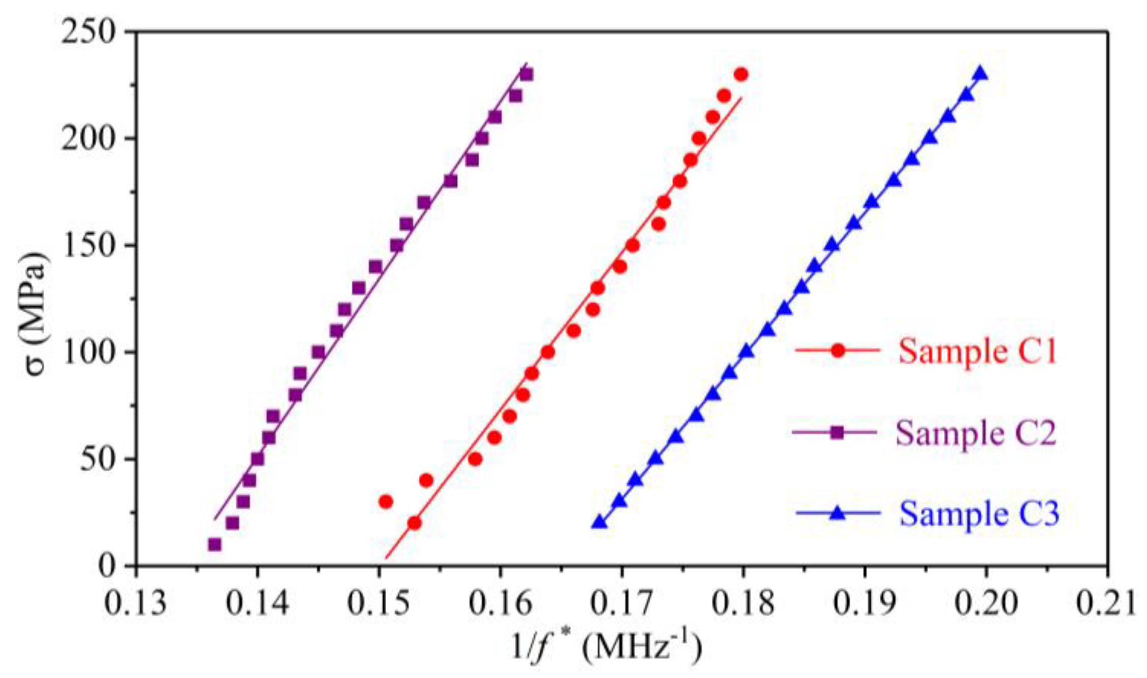
3.4. Parameter Calibration of the Stress Measurement Formula
4. Results and Discussion
4.1. Influence of Uniaxial Stress on Shear-Wave Amplitude Spectrum
4.2. Influence of Uniaxial Stress on Shear-Wave Phase Spectrum
4.3. Comparison of the Amplitude and Phase Spectra
4.4. Parametric Calibration for the Stress Measurement Formula
5. Conclusions
Author Contributions
Funding
Conflicts of Interest
References
- Nichols, J.M. Structural health monitoring of offshore structures using ambient excitation. Appl. Ocean Res. 2003, 25, 101–114. [Google Scholar] [CrossRef]
- Li, J.; Hao, H.; Fan, K.; Brownjohn, J. Development and application of a relative displacement sensor for structural health monitoring of composite bridges. Struct. Control Health Monit. 2015, 22, 726–742. [Google Scholar] [CrossRef]
- Biondini, F.; Frangopol, D.M. Life-cycle performance of deteriorating structural systems under uncertainty: Review. J. Struct. Eng. 2016, 142, F4016001. [Google Scholar] [CrossRef]
- Wang, H.; Li, G.; Huang, X. Behavior of coupled shear walls with buckling-restrained steel plates in high-rise buildings under lateral actions. Struct. Des. Tall Spec. 2016, 25, 22–44. [Google Scholar] [CrossRef]
- Wang, J.; Zhao, H. High performance damage-resistant seismic resistant structural systems for sustainable and resilient city: A review. Shock Vib. 2018, 8703697. [Google Scholar] [CrossRef]
- Sousa, H.; Wang, Y. Sparse representation approach to data compression for strain-based traffic load monitoring: A comparative study. Measurement 2018, 122, 630–637. [Google Scholar] [CrossRef]
- Asadollahi, P.; Huang, Y.; Li, J. Bayesian finite element model updating and assessment of cable-stayed bridges using wireless sensor data. Sensors 2018, 18, 3057. [Google Scholar] [CrossRef]
- Luo, M.Z.; Li, W.J.; Wang, B.; Fu, Q.Q.; Song, G.B. Measurement of the length of installed rock bolt based on stress wave reflection by using a giant magnetostrictive (GMS) actuator and a PZT sensor. Sensors 2017, 17, 444. [Google Scholar] [CrossRef]
- Laflamme, S.; Kollosche, M.; Connor, J.J.; Kofod, G. Soft capacitive sensor for structural health monitoring of large-scale systems. Struct. Control Health Monit. 2012, 19, 70–81. [Google Scholar] [CrossRef]
- Yi, T.H.; Li, H.N.; Gu, M. Recent research and applications of GPS-based monitoring technology for high-rise structures. Struct. Control Health Monit. 2013, 20, 649–670. [Google Scholar] [CrossRef]
- Ay, A.M.; Wang, Y. Structural damage identification based on self-fitting ARMAX model and multi-sensor data fusion. Struct. Health Monit. 2014, 13, 445–460. [Google Scholar] [CrossRef]
- Teng, J.; Lu, W.; Wen, R.F.; Zhang, T. Instrumentation on structural health monitoring systems to real world structures. Smart Struct. Syst. 2015, 15, 151–167. [Google Scholar] [CrossRef]
- Meoni, A.; D’Alessandro, A.; Downey, A.; García-Macías, E.; Rallini, M.; Materazzi, A.L.; Torre, L.; Laflamme, S.; Castro-Triguero, R.; Ubertini, F. An experimental study on static and dynamic strain sensitivity of embeddable smart concrete sensors doped with carbon nanotubes for SHM of large structures. Sensors 2018, 18, 831. [Google Scholar] [CrossRef] [PubMed]
- Shen, Y.B.; Yang, P.C.; Zhang, P.F.; Luo, Y.Z.; Mei, Y.J.; Cheng, H.Q.; Jin, L.; Liang, C.Y.; Wang, Q.Q.; Zhong, Z.N. Development of a multitype wireless sensor network for the large-scale structure of the National Stadium in China. Int. J. Distrib. Sens. N. 2013, 9, 709724. [Google Scholar] [CrossRef]
- Li, G.W.; Pei, H.F.; Yin, J.H.; Lu, X.C.; Teng, J. Monitoring and analysis of PHC pipe piles under hydraulic jacking using FBG sensing technology. Measurement 2014, 49, 358–367. [Google Scholar] [CrossRef]
- Teng, J.; Lu, W.; Cui, Y.; Zhang, R.G. Temperature and displacement monitoring to steel roof construction of Shenzhen Bay Stadium. Int. J. Struct. Stab. Dyn. 2016, 16, 1640020. [Google Scholar] [CrossRef]
- Suzuki, K. Proposal for a direct-method for stress measurement using an X-ray area detector. NDT E Int. 2017, 92, 104–110. [Google Scholar] [CrossRef]
- Hemmesi, K.; Farajian, M.; Boin, M. Numerical studies of welding residual stresses in tubular joints and experimental validations by means of x-ray and neutron diffraction analysis. Mater. Des. 2017, 126, 339–350. [Google Scholar] [CrossRef]
- Zhou, D.; Pan, M.; He, Y.; Du, B. Stress detection and measurement in ferromagnetic metals using pulse electromagnetic method with U-shaped sensor. Measurement 2017, 105, 136–145. [Google Scholar] [CrossRef]
- Rossini, N.S.; Dassisti, M.; Benyounis, K.Y.; Olabi, A.G. Methods of measuring residual stresses in components. Mater. Des. 2012, 35, 572–588. [Google Scholar] [CrossRef]
- Liu, T.J.; Zou, D.J.; Du, C.C.; Wang, Y. Influence of axial loads on the health monitoring of concrete structures using embedded piezoelectric transducers. Struct. Health Monit. 2017, 16, 202–214. [Google Scholar] [CrossRef]
- Li, Z.H.; He, J.B.; Teng, J.; Wang, Y. Internal stress monitoring of in-service structural steel members with ultrasonic method. Materials 2016, 9, 234. [Google Scholar] [CrossRef] [PubMed]
- He, J.B.; Li, Z.H.; Teng, J.; Wang, Y. Absolute stress field measurement in structural steel members using the Lcr wave method. Measurement 2018, 122, 679–687. [Google Scholar] [CrossRef]
- Li, Z.H.; He, J.B.; Teng, J.; Huang, Q.; Wang, Y. Absolute stress measurement of structural steel members with ultrasonic shear-wave spectral analysis method. Struct. Health. Monit. 2017. [Google Scholar] [CrossRef]
- Li, Z.H.; He, J.B.; Teng, J.; Wang, Y. Cross-correlation-based algorithm for absolute stress evaluation in steel members using the longitudinal critically refracted wave. Int. J. Distrib. Sens. Netw. 2018, 14. [Google Scholar] [CrossRef]
- Withers, P.J.; Turski, M.; Edwards, L.; Bouchard, P.J.; Buttle, D.J. Recent advances in residual stress measurement. Int. J. Press. Vessel. Pip. 2008, 85, 118–127. [Google Scholar] [CrossRef]
- Guz’, A.N.; Makhort, F.G. The physical fundamentals of the ultrasonic nondestructive stress analysis of solids. Int. J. Appl. Mech. 2000, 36, 1119–1149. [Google Scholar] [CrossRef]
- Bray, D.E.; Tang, W. Subsurface stress evaluation in steel plates and bars using the L-CR ultrasonic wave. Nucl. Eng. Des. 2001, 207, 231–240. [Google Scholar] [CrossRef]
- Karabutov, A.; Devichensky, A.; Ivochkin, A.; Lyamshevb, M.; Pelivanova, I.; Rohadgic, U.; Solomatina, V.; Subudhic, M. Laser ultrasonic diagnostics of residual stress. Ultrasonics 2008, 48, 631–635. [Google Scholar] [CrossRef]
- Egle, D.M.; Bray, D.E. Measurement of acoustoelastic and 3rd-order elastic-constants for rail steel. J. Acoust. Soc. Am. 1976, 60, 741–744. [Google Scholar] [CrossRef]
- Lee, H.Y.; Nikbin, K.M.; O’Dowd, N.P. A generic approach for a linear elastic fracture mechanics analysis of components containing residual stress. Int. J. Press. Vessel. Pip. 2005, 82, 797–806. [Google Scholar] [CrossRef]
- Sanderson, R.M.; Shen, Y.C. Measurement of residual stress using laser-generated ultrasound. Int. J. Press. Vessel. Pip. 2010, 87, 762–765. [Google Scholar] [CrossRef]
- Javadi, Y.; Najafabadi, M.A. Comparison between contact and immersion ultrasonic method to evaluate welding residual stresses of dissimilar joints. Mater. Des. 2013, 47, 473–482. [Google Scholar] [CrossRef]
- Sadeghi, S.; Najafabadi, M.A.; Javadi, Y.; Mohammadisefat, M. Using ultrasonic waves and finite element method to evaluate through-thickness residual stresses distribution in the friction stir welding of aluminum plates. Mater. Des. 2013, 52, 870–880. [Google Scholar] [CrossRef]
- Chaki, S.; Bourse, G. Stress level measurement in prestressed steel strands using acoustoelastic effect. Exp. Mech. 2009, 49, 673–681. [Google Scholar] [CrossRef]
- Gandhi, N.; Michaels, J.E.; Lee, S.J. Acoustoelastic Lamb wave propagation in biaxially stressed plates. J. Acoust. Soc. Am. 2012, 132, 1284–1293. [Google Scholar] [CrossRef]
- Wali, Y.; Njeh, A.; Wieder, T.; Ghozlen, M.B. The effect of depth-dependent residual stresses on the propagation of surface acoustic waves in thin Ag films on Si. NDT E Int. 2007, 40, 545–551. [Google Scholar] [CrossRef]
- Wang, Z.J.; Chen, D.D.; Zheng, L.Q.; Huo, L.S.; Song, G.B. Influence of axial load on electromechanical impedance (emi) of embedded piezoceramic transducers in steel fiber concrete. Sensors 2018, 18, 1782. [Google Scholar] [CrossRef]
- Allen, D.R.; Sayers, C.M. The measurement of residual-stress in textured steel using an ultrasonic velocity combinations technique. Ultrasonics 1984, 22, 179–188. [Google Scholar] [CrossRef]
- Lipeles, R.; Kivelson, D. Theory of ultrasonically induced birefringence. J. Chem. Phys. 1977, 67, 4564–4570. [Google Scholar] [CrossRef]
- Crecraft, D.I. The measurement of applied and residual stresses in metals using ultrasonic waves. J. Sound Vib. 1967, 5, 173. [Google Scholar] [CrossRef]
- Herzer, H.R.; Becker, M.M.; Schneider, E. The acousto-elastic effect and its use in NDE. In Handbook of Advanced Non-Destructive Evaluation; Ida, N., Meyendorf, N., Eds.; Springer: Cham, Switzerland, 2018; pp. 1–17. [Google Scholar]
- Djerir, W.; Ourak, M.; Boutkedjirt, T. Characterization of the critically refracted longitudinal (L-CR) waves and their use in defect detection. Res. Nondestruct. Eval. 2014, 25, 203–217. [Google Scholar] [CrossRef]
- Palanichamy, P.; Joseph, A.; Jayakumar, T.; Raj, B. Ultrasonic velocity measurements for estimation of grain size in austenitic stainless steel. NDT E Int. 1995, 28, 179–185. [Google Scholar] [CrossRef]
- Lhémery, A.; Calmon, P.; Chatillon, S.; Gengembre, N. Modeling of ultrasonic fields radiated by contact transducer in a component of irregular surface. Ultrasonics 2002, 40, 231–236. [Google Scholar] [CrossRef]
- Zou, D.J.; Liu, T.J.; Liang, C.F.; Huang, Y.C.; Zhang, F.Y.; Du, C.C. An experimental investigation on the health monitoring of concrete structures using piezoelectric transducers at various environmental temperatures. J. Intell. Mater. Syst. Struct. 2015, 26, 1028–1034. [Google Scholar] [CrossRef]
- Liu, H.B.; Li, Y.P.; Li, T.; Zhang, X.; Liu, Y.K.; Liu, K.; Wang, Y.Q. Influence factors analysis and accuracy improvement for stress measurement using ultrasonic longitudinal critically refracted (LCR) wave. Appl. Acoust. 2018, 141, 178–187. [Google Scholar] [CrossRef]
- Vangi, D.; Virga, A. A practical application of ultrasonic thermal stress monitoring in continuous welded rails. Exp. Mech. 2007, 47, 617–623. [Google Scholar] [CrossRef]
- Blinka, J.; Sachse, W. Application of ultrasonic-pulse-spectroscopy measurements to experimental stress analysis. Exp. Mech. 1976, 16, 448–453. [Google Scholar] [CrossRef]
- Javadi, Y.; Azari, K.; Ghalehbandi, S.M.; Roy, M.J. Comparison between using longitudinal and shear waves in ultrasonic stress measurement to investigate the effect of post-weld heat-treatment on welding residual stresses. Res. Nondestruct. Eval. 2017, 28, 101–122. [Google Scholar] [CrossRef]














| Parameters | Methods | Sample C1 | Sample C2 | Sample C3 | |||
|---|---|---|---|---|---|---|---|
| Values | Difference | Values | Difference | Values | Difference | ||
| κ (MPa·MHz) | Amplitude Spectrum | 7356.73 | 0.23% | 8308.07 | 0.16% | 6691.01 | 0.01% |
| Phase Spectrum | 7339.74 | 8321.41 | 6755.27 | ||||
| γ (MPa) | Amplitude Spectrum | 1103.99 | 5.83 | 1111.95 | 6.06 | 1106.05 | 13.75 |
| Phase Spectrum | 1109.82 | 1118.01 | 1119.80 | ||||
| R2 | Amplitude Spectrum | 0.9901 | / | 0.9937 | / | 0.9998 | / |
| Phase Spectrum | 0.9795 | / | 0.9828 | / | 0.9996 | / | |
© 2019 by the authors. Licensee MDPI, Basel, Switzerland. This article is an open access article distributed under the terms and conditions of the Creative Commons Attribution (CC BY) license (http://creativecommons.org/licenses/by/4.0/).
Share and Cite
Li, Z.; He, J.; Liu, D.; Liu, N.; Long, Z.; Teng, J. Influence of Uniaxial Stress on the Shear-Wave Spectrum Propagating in Steel Members. Sensors 2019, 19, 492. https://doi.org/10.3390/s19030492
Li Z, He J, Liu D, Liu N, Long Z, Teng J. Influence of Uniaxial Stress on the Shear-Wave Spectrum Propagating in Steel Members. Sensors. 2019; 19(3):492. https://doi.org/10.3390/s19030492
Chicago/Turabian StyleLi, Zuohua, Jingbo He, Diankun Liu, Nanxi Liu, Zhili Long, and Jun Teng. 2019. "Influence of Uniaxial Stress on the Shear-Wave Spectrum Propagating in Steel Members" Sensors 19, no. 3: 492. https://doi.org/10.3390/s19030492
APA StyleLi, Z., He, J., Liu, D., Liu, N., Long, Z., & Teng, J. (2019). Influence of Uniaxial Stress on the Shear-Wave Spectrum Propagating in Steel Members. Sensors, 19(3), 492. https://doi.org/10.3390/s19030492

