Performance Evaluation of a Full-Duplex Relaying-Enabled Satellite Sensor Network
Abstract
1. Introduction
Satellite Systems
- We first develop an FD-enabled framework for satellite relaying systems by applying the standard recommendations and considering practical antenna geometries, configurations, and channel characteristics. The new diagram of this paper establishes the foundation for system performance evaluation, which can be viewed as a general and extensively applicable model for various scenarios. The employed gamma distribution to approximate the log-normal distribution can result in a suitable statistical model with the same performance for practical interests, and is applicable for a variety of applications in different frequency bands including UHF-band, S-band, L-band, Ku-band and Ka-band.
- Our theoretical derivations provide new analytical expressions for the performance merits of outage probability and ergodic capacity of the FD satellite relaying network, which are general and applicable to cases involving arbitrary channel conditions and system parameters. To the best of our knowledge, this is the first time that such analytical expressions are developed for FD satellite relay systems, which provide an efficient and comprehensive approach to evaluate the considered system performance.
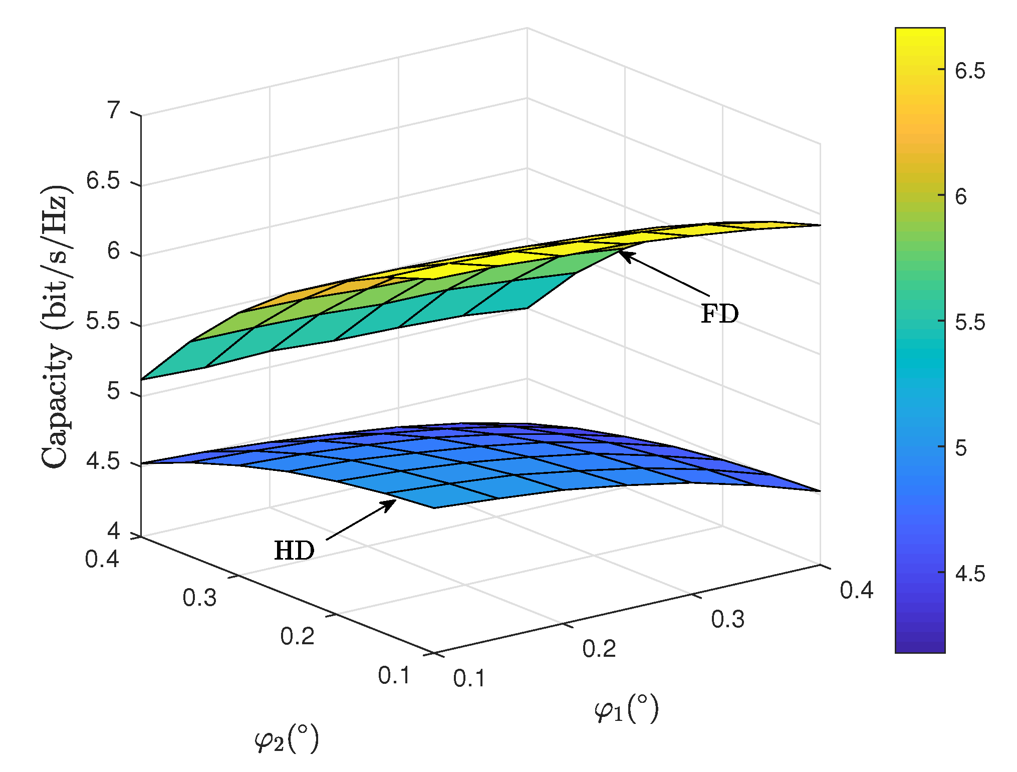
- The representative simulations and comparisons are provided, which clearly reveal the effects of residual SI, channel statistical property, propagation loss, geometric satellite antenna pattern, and terminal elevation angle on the system performance. Our findings indicate that a full-duplex relaying satellite sensor network can achieve a higher capacity than that of traditional half-duplex relaying.
2. System Model
3. Performance Evaluation
3.1. Satellite Channel Model
- : Free space loss between for the uplink and downlink computed aswhere c is the propagation speed, the frequency and d the distance, and d = 35,786 km.
- : Antenna gain at the ES-.
- : Maximum beam gain at the on-board antenna boresight.
- : Auxiliary variable in determining the on-board beam gain factor for a given a ES’s position, which is defined as [25]where and represents the beam angle with respect to the beam center and 3-dB angle, respectively.
- : Fading channel coefficient of the satellite links. Among the different atmosphere effects, rain attenuation is regarded as the major impairment which is commonly described as a log-normal distribution. However, in a practical scenario of the existing literature, the application of log-normal distribution in modeling the shadowing fading would lead to a quite complicated expressions for characterizing the key merits of both the first- and second-order statistical properties [26]. On the other hand, the shadowed-Rician model proposed originally in [26], which adopts the gamma distribution to approximate the log-normal distribution, can result in a simpler form for channel statistics with the similar performance for practical cases. As can be found in the existing literature, the shadowed-Rician distribution can be applied in difference frequency bands, including UHF-band, L-band, Ku-band, Ka-band and etc [7,8,9]. Under this situation, this paper has employed an alternative approach for atmosphere and weather effects according to the existing references, which can be applied to both the fixed and mobile terminals operating in various propagation environments [7,8,9,23,24,25]. Accordingly, the probability density function (PDF) of the channel gain can be given by [26]where denotes the confluent hypergeometric function ([27], Equation (9.210.1)). Based on the results in [26], the related parameters , and can be, respectively, calculated by the following identitieswhere denotes the average power in terms of the LoS component, stands for the multipath average power, and represents the Nakagami-m fading severity. As illustrated in [26], the channel parameters , and of the satellite links can be determined with respect to the elevation angles , which can be calculated by the following identities over the range as
3.2. Outage Probability
3.3. Ergodic Capacity
4. Numerical Results
5. Discussion
Author Contributions
Funding
Conflicts of Interest
Abbreviations
| FD | Full-duplex |
| HD | Half-duplex |
| AF | amplify-and-forward |
| DF | decode-and-forward |
| OP | outage probability |
| SNRs | signal-to-noise ratios |
| LOS | line-of-sight |
| probability distribution function | |
| CDF | cumulative distortion function |
| FHS | Frequent heavy shadowing |
| AS | Average shadowing |
| ILS | Infrequent light shadowing |
References
- Borza, P.N.; Machedon-Pisu, M.; Hamza-Lup, F. Design of Wireless Sensors for IoT with Energy Storage and Communication Channel Heterogeneity. Sensors 2019, 19, 3364. [Google Scholar] [CrossRef] [PubMed]
- Wang, Q.W.; Jiang, D. Integrated wireless sensor systems via near-space and satellite platforms: A review. IEEE Sens. J. 2014, 15, 3903–3914. [Google Scholar] [CrossRef]
- Shi, S.; Li, G.; An, K.; Gao, B.; Zheng, G. Energy-Efficient Optimal Power Allocation in Integrated Wireless Sensor and Cognitive Satellite Terrestrial Networks. Sensors 2017, 9, 2025. [Google Scholar] [CrossRef] [PubMed]
- Araniti, G.; Bisio, I.; De Sanctis, M.; Rinaldi, F.; Sciarrone, A. Joint coding and multicast subgrouping over satellite-eMBMS networks. IEEE J. Sel. Areas Commun. 2018, 36, 1004–1016. [Google Scholar] [CrossRef]
- Liu, J.; Shi, Y.; Fadlullah, Z.M.; Kato, N. Space-Air-Ground Integrated Network: A Survey. IEEE Commun. Surv. Tutor. 2018, 20, 2714–2741. [Google Scholar] [CrossRef]
- Yang, K.; Zhang, B.; Guo, D. Partition-Based Joint Placement of Gateway and Controller in SDN-Enabled Integrated Satellite-Terrestrial Networks. Sensors 2019, 19, 2774. [Google Scholar] [CrossRef] [PubMed]
- Bhatnagar, M.R. Performance evaluation of decode-and-forward satellite relaying. IEEE Trans. Veh. Technol. 2015, 64, 4827–4833. [Google Scholar] [CrossRef]
- Zhang, J.; Li, X.; Ansari, I.S.; Liu, Y.; Qaraqe, K.A. Performance analysis of dual-hop DF satellite relaying over κ-μ shadowed fading channels. In Proceedings of the 2017 IEEE Wireless Communications and Networking Conference (WCNC), San Francisco, CA, USA, 19–22 March 2017; pp. 1–5. [Google Scholar]
- Bhatnagar, M. Making two-way satellite relaying feasible: A differential modulation based approach. IEEE Trans. Commun. 2015, 63, 2836–2847. [Google Scholar] [CrossRef]
- Arti, M.K. A novel beamforming and combining scheme for two-way AF satellite systems. IEEE Trans. Veh. Technol. 2017, 66, 1248–1256. [Google Scholar]
- Fidan, E.; Kucu, O. Performance of Transceiver Antenna Selection in Two Way Full-Duplex Relay Networks Over Rayleigh Fading Channels. IEEE Trans. Veh. Technol. 2018, 67, 5909–5921. [Google Scholar] [CrossRef]
- Eshteiwi, K.; Kaddoum, G.; Fredj, K.B.; Soujeri, E.; Francois, G. Performance Analysis of Full-Duplex Vehicle Relay-Based Selection in Dense Multi-Lane Highways. IEEE Access 2019, 7, 61581–61595. [Google Scholar] [CrossRef]
- Eshteiwi, K.; Fredj, K.B.; Soujeri, E.; Francois, G. Performance analysis of peer-to-peer V2V wireless communications in the presence of interference. In Proceedings of the 2017 IEEE 28th Annual International Symposium on Personal, Indoor, and Mobile Radio Communications (PIMRC), Montreal, QC, USA, 8–13 October 2017; pp. 1–6. [Google Scholar]
- Henarejos, P.; Pérez-Neira, A.; Mazzali, N.; Mosquera, C. Advanced signal processing techniques for fixed and mobile satellite communications. In Proceedings of the 2016 8th Advanced Satellite Multimedia Systems Conference and the 14th Signal Processing for Space Communications Workshop (ASMS/SPSC), Barcelona, Spain, 5–7 September 2016; pp. 1–8. [Google Scholar]
- Bhavani Shankar, M.R.; Zheng, G.; Maleki, S.; Ottersten, B. Feasibility study of full-duplex relaying in satellite networks. In Proceedings of the 2015 IEEE 16th International Workshop on Signal Processing Advances in Wireless Communications (SPAWC), Stockholm, Sweden, 28 June–1 July 2015; pp. 560–565. [Google Scholar]
- Martiñán-Otero, D.; Mosquera, C. Frequency reuse in dual satellite settings: an initial evaluation of full duplex operation. In Proceedings of the 2015 IEEE International Conference on Communication Workshop (ICCW), London, UK, 8–12 June 2015; pp. 1675–1680. [Google Scholar]
- Sabharwal, A.; Schniter, P.; Guo, D.; Bliss, D.; Rangarajan, S.; Wichman, R. In-band full-duplex wireless: Challenges and opportunities. IEEE J. Sel. Areas Commun. 2014, 32, 1637–1652. [Google Scholar] [CrossRef]
- Riihonen, T.; Werner, S.; Wichman, R. Comparison of full-duplex and half-duplex modes with a fixed amplify-and-forward relay. In Proceedings of the 2009 IEEE Wireless Communications and Networking Conference, Budapest, Hungary, 5–8 April 2009; pp. 1–5. [Google Scholar]
- Collins, G.; Treichler, J. Practical insights on full-duplex personal wireless communications gained from operational experience in the satellite environment. In Proceedings of the IEEE Signal Processing and Signal Processing Education Workshop (SP/SPE), Salt Lake City, UT, USA, 9–12 August 2015; pp. 136–141. [Google Scholar]
- An, K.; Li, Y.; Liang, T.; Yan, X. On the performance of cache-enabled hybrid satellite-terrestrial relay networks. IEEE Wirel. Commun. Lett. 2019, 8, 1506–1509. [Google Scholar] [CrossRef]
- Guo, K.; An, K.; Huang, Y.; Zhang, B.; Zheng, G.; Chatzinotas, S. On the Performance of the Uplink Satellite Multiterrestrial Relay Networks With Hardware Impairments and Interference. IEEE Syst. J. 2019, 13, 2297–2308. [Google Scholar] [CrossRef]
- Zheng, G.; Chatzinotas, S.; Ottersten, B. Generic optimization of linear precoding in multibeam satellite systems. IEEE Trans. Wirel. Commun. 2012, 11, 2308–2320. [Google Scholar] [CrossRef]
- An, K.; Lin, M.; Ouyang, J.; Zhu, W. Secure transmission in cognitive satellite terrstrial networks. IEEE J. Sel. Area 2016, 34, 3025–3037. [Google Scholar] [CrossRef]
- Lu, W.; An, K.; Liang, T. Robust beamforming design for sum secrecy rate maximization in multibeam satellite systems. IEEE Trans. Aerospace Electron. Syst. 2019, 55, 1568–1572. [Google Scholar] [CrossRef]
- An, K.; Liang, T.; Zheng, G.; Yan, X.; Li, Y.; Chatzinotas, S. Performance limits of cognitive FSS and terrestrial FS for Ka-band. IEEE Trans. Aerospace Electron. Syst. 2019, 55, 2604–2611. [Google Scholar] [CrossRef]
- Abdi, A.; Lau, W.; Alouini, M.-S.; Kaveh, M. A new simple model for land mobile satellite channels: first- and second-order statistics. IEEE Trans. Wirel. Commun. 2003, 2, 519–528. [Google Scholar] [CrossRef]
- Gradshteyn, I.S.; Ryzhik, I.M.; Jeffrey, A.; Zwillinger, D. Table of Integrals, Series, and Products, 7th ed.; Elsevier/Academic Press: Amsterdam, The Netherlands, 2007. [Google Scholar]
- An, K.; Lin, M.; Zhu, W.; Huang, Y.; Zheng, G. Outage performance of cognitive satellite terrestrial networks with interference constraint. IEEE Trans. Veh. Technol. 2016, 65, 9397–9404. [Google Scholar] [CrossRef]
- Miridakis, N.; Vergados, D.; Michalas, A. Dual-hop communication over a satellite relay and shadowed rician channels. IEEE Trans. Veh. Technol. 2015, 64, 3025–3037. [Google Scholar] [CrossRef]
- An, K.; Lin, M.; Liang, T.; Wang, J.-B.; Wang, J.; Swindlehurst, A.L. Performance analysis of multi-antenna hybrid satellite-terrestrial relay networks in the presence of interference. IEEE Trans. Commun. 2015, 63, 4390–4404. [Google Scholar] [CrossRef]
- Adamchik, V.S.; Marichev, O.I. The algorithm for calculating integrals of hypergeometric type functions and its realization in reduce systems. In Proceedings of the International Symposium on Symbolic and Algebraic Computation, Tokyo, Japan, 20–24 August 1990; pp. 212–224. [Google Scholar]
- Agrawal, R.P. Certain transformation formulae and Meijer’s G function of two variables. Indian J. Pure Appl. Math. 1970, 1, 537–551. [Google Scholar]
- Liang, T.; An, K.; Shi, S. Statistical modeling-based deployment issue in cognitive satellite terrestrial networks. IEEE Wirel. Commun. Lett. 2018, 7, 202–205. [Google Scholar] [CrossRef]
- An, K.; Liang, T.; Yan, X.; Zheng, G. On the secrecy performance of land mobile satellite systems. IEEE Access 2018, 6, 39606–39620. [Google Scholar] [CrossRef]
- An, K.; Lin, M.; Liang, T.; Ouyang, J.; Zhu, W. On the ergodic capacity of multiple antenna cognitive satellite terrestrial networks. In Proceedings of the 2016 IEEE International Conference on Communications (ICC), Kuala Lumpur, Malaysia, 23–27 May 2016; pp. 1–5. [Google Scholar]






| Error Probability | Cancellation Performance |
|---|---|
| 0.5% | 46 dB |
| 1% | 40 dB |
| 2% | 34 dB |
© 2019 by the authors. Licensee MDPI, Basel, Switzerland. This article is an open access article distributed under the terms and conditions of the Creative Commons Attribution (CC BY) license (http://creativecommons.org/licenses/by/4.0/).
Share and Cite
Xia, X.; Yang, B.; Liu, Z.; An, K.; Guo, K. Performance Evaluation of a Full-Duplex Relaying-Enabled Satellite Sensor Network. Sensors 2019, 19, 5453. https://doi.org/10.3390/s19245453
Xia X, Yang B, Liu Z, An K, Guo K. Performance Evaluation of a Full-Duplex Relaying-Enabled Satellite Sensor Network. Sensors. 2019; 19(24):5453. https://doi.org/10.3390/s19245453
Chicago/Turabian StyleXia, Xigang, Bo Yang, Zhiyu Liu, Kang An, and Kefeng Guo. 2019. "Performance Evaluation of a Full-Duplex Relaying-Enabled Satellite Sensor Network" Sensors 19, no. 24: 5453. https://doi.org/10.3390/s19245453
APA StyleXia, X., Yang, B., Liu, Z., An, K., & Guo, K. (2019). Performance Evaluation of a Full-Duplex Relaying-Enabled Satellite Sensor Network. Sensors, 19(24), 5453. https://doi.org/10.3390/s19245453

