Metaheuristic Optimisation Algorithms for Tuning a Bioinspired Retinal Model †
Abstract
1. Introduction
2. Related Work
3. Materials and Methods
3.1. Retinal Model under Study
3.2. Human Visual System Modelling
3.3. Metaheuristic Optimisation Algorithms
3.3.1. Genetic Algorithms
| Algorithm 1: Multi-Objective Genetic Algorithm. |
![]() |
3.3.2. Particle Swarm Optimisation
| Algorithm 2: Multi-Objective PSO Algorithm. |
![]() |
3.3.3. Differential Evolution
| Algorithm 3: Multi-Objective DE Algorithm. |
![]() |
3.4. Retina Preparation, Multi-Electrode Recordings and Spike Sorting
3.5. Objective Functions
3.6. Evaluation of Multi-Objective Optimisation Metaheuristics
3.7. Statistical Interpretation
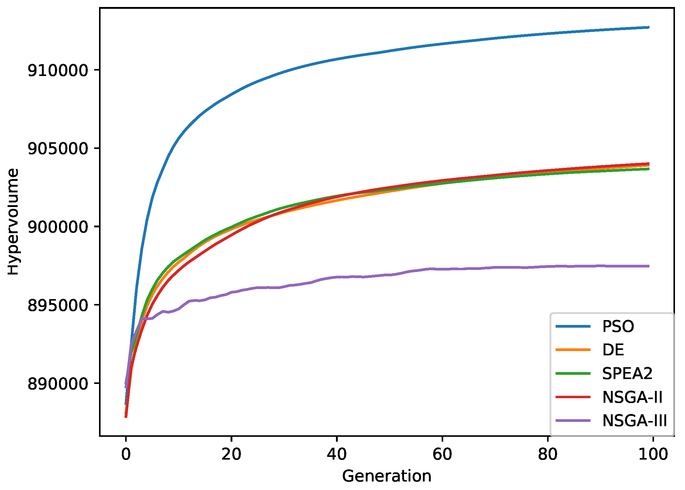
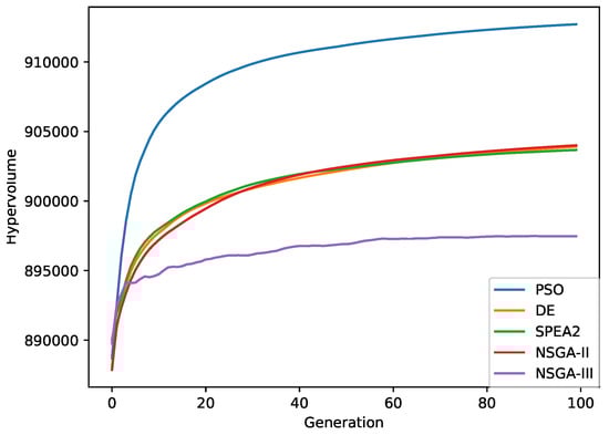
4. Experimental Evaluation and Results
5. Conclusions
Author Contributions
Funding
Acknowledgments
Conflicts of Interest
References
- WHO. Visual Impairment and Blindness; WHO: Geneva, Switzerland, 2014. [Google Scholar]
- Mills, J.; Jalil, A.; Stanga, P. Electronic retinal implants and artificial vision: Journey and present. Eye 2017, 31, 1383. [Google Scholar] [CrossRef]
- Lewis, P.M.; Ackland, H.M.; Lowery, A.J.; Rosenfeld, J.V. Restoration of vision in blind individuals using bionic devices: A review with a focus on cortical visual prostheses. Brain Res. 2015, 1595, 51–73. [Google Scholar] [CrossRef]
- Lewis, P.M.; Ayton, L.N.; Guymer, R.H.; Lowery, A.J.; Blamey, P.J.; Allen, P.J.; Luu, C.D.; Rosenfeld, J.V. Advances in implantable bionic devices for blindness: A review. ANZ J. Surg. 2016, 86, 654–659. [Google Scholar] [CrossRef]
- Fernandez, E. Development of visual Neuroprostheses: Trends and challenges. Bioelectron. Med. 2018, 4, 12. [Google Scholar] [CrossRef]
- Martínez-Álvarez, A.; Crespo-Cano, R.; Díaz-Tahoces, A.; Cuenca-Asensi, S.; Ferrández Vicente, J.M.; Fernández, E. Automatic Tuning of a Retina Model for a Cortical Visual Neuroprosthesis Using a Multi-Objective Optimization Genetic Algorithm. Int. J. Neural Syst. 2016, 26, 1650021. [Google Scholar] [CrossRef] [PubMed]
- Crespo-Cano, R.; Martínez-Álvarez, A.; Cuenca-Asensi, S.; Fernández, E. Assessment and Comparison of Evolutionary Algorithms for Tuning a Bioinspired Retinal Model. In Natural and Artificial Computation for Biomedicine and Neuroscience: International Work-Conference on the Interplay Between Natural and Artificial Computation, IWINAC 2017; Springer International Publishing: Berlin/Heidelberg, Germany, 2017; pp. 95–104. [Google Scholar]
- Fernández, E.; Greger, B.; House, P.A.; Aranda, I.; Botella, C.; Albisua, J.; Soto-Sánchez, C.; Alfaro, A.; Normann, R.A. Acute human brain responses to intracortical microelectrode arrays: Challenges and future prospects. Front. Neuroeng. 2014, 7, 24. [Google Scholar] [CrossRef] [PubMed]
- Fernández, E.; Normann, R.A. CORTIVIS Approach for an Intracortical Visual Prostheses. In Artificial Vision: A Clinical Guide; Springer International Publishing: Berlin/Heidelberg, Germany, 2017; pp. 191–201. [Google Scholar]
- Walls, G.L. The vertebrate eye and its adaptive radiation. Anat. Rec. 1942, 17, 348–350. [Google Scholar] [CrossRef][Green Version]
- Kuffler, S.W. Discharge patterns and functional organization of mammalian retina. J. Neurophysiol. 1953, 16, 37–68. [Google Scholar] [CrossRef]
- Rodieck, R.W. The vertebrate retina: Principles of structure and function. Br. J. Ophthalmol. 1974, 58, 948–949. [Google Scholar]
- Meister, M.; Wong, R.O.; Baylor, D.A.; Shatz, C.J. Synchronous bursts of action potentials in ganglion cells of the developing mammalian retina. Science 1991, 252, 939–944. [Google Scholar] [CrossRef]
- Humayun, M.; Propst, R.; de Juan, E.; McCormick, K.; Hickingbotham, D. Bipolar surface electrical stimulation of the vertebrate retina. Arch. Ophthalmol. 1994, 112, 110–116. [Google Scholar] [CrossRef] [PubMed]
- Cepko, C.L.; Austin, C.P.; Yang, X.; Alexiades, M.; Ezzeddine, D. Cell fate determination in the vertebrate retina. Proc. Natl. Acad. Sci. USA 1996, 93, 589–595. [Google Scholar] [CrossRef] [PubMed]
- Masland, R.H. The fundamental plan of the retina. Nat. Neurosci. 2001, 4, 877–886. [Google Scholar] [CrossRef] [PubMed]
- Field, G.D.; Chichilnisky, E. Information processing in the primate retina: Circuitry and coding. Annu. Rev. Neurosci. 2007, 30, 1–30. [Google Scholar] [CrossRef]
- Cajal, S. The Structure of the Retina, 1892; Thorpe, S.A., Glickstein, M., Eds.; Transl.; Thomas: Springfield, IL, USA, 1972. [Google Scholar]
- Kolb, H.; Fernandez, E.; Nelson, R. Webvision: The Organization of the Retina and Visual System; University of Utah Health Sciences Center: Salt Lake City, UT, USA, 1995. [Google Scholar]
- Simoncelli, E.; Pillow, J.; Paninski, L.; Schwartz, O. Characterization of neural responses with stochastic stimuli. In The Cognitive Neurosciences, III; MIT Press: Cambridge, MA, USA, 2004; pp. 327–338. [Google Scholar]
- Paninski, L.; Pillow, J.; Lewi, J. Statistical models for neural encoding, decoding, and optimal stimulus design. Prog. Brain Res. 2007, 165, 493–507. [Google Scholar]
- Pillow, J.W.; Shlens, J.; Paninski, L.; Sher, A.; Litke, A.M.; Chichilnisky, E.; Simoncelli, E.P. Spatio-temporal correlations and visual signalling in a complete neuronal population. Nature 2008, 454, 995–999. [Google Scholar] [CrossRef]
- Nirenberg, S.; Pandarinath, C. Retinal prosthetic strategy with the capacity to restore normal vision. Proc. Natl. Acad. Sci. USA 2012, 109, 15012–15017. [Google Scholar] [CrossRef]
- Bomash, I.; Roudi, Y.; Nirenberg, S. A virtual retina for studying population coding. PLoS ONE 2013, 8, e53363. [Google Scholar] [CrossRef]
- Yan, B.; Nirenberg, S. An Embedded Real-time Processing Platform for Optogenetic Neuroprosthetic Applications. IEEE Trans. Neural Syst. Rehabil. Eng. 2017, 26, 233–443. [Google Scholar] [CrossRef]
- Wohrer, A.; Kornprobst, P. Virtual retina: A biological retina model and simulator, with contrast gain control. J. Comput. Neurosci. 2009, 26, 219–249. [Google Scholar] [CrossRef]
- Cessac, B.; Kornprobst, P.; Kraria, S.; Nasser, H.; Pamplona, D.; Portelli, G.; Viéville, T. PRANAS: A new platform for retinal analysis and simulation. Front. Neuroinformatics 2017, 11, 49. [Google Scholar] [CrossRef] [PubMed]
- Huth, J.; Masquelier, T.; Arleo, A. Convis: A Toolbox to Fit and Simulate Filter-Based Models of Early Visual Processing. Front. Neuroinformatics 2018, 12, 9. [Google Scholar] [CrossRef] [PubMed]
- Martínez-Álvarez, A.; Olmedo-Payá, A.; Cuenca-Asensi, S.; Ferrández, J.M.; Fernández, E. RetinaStudio: A bioinspired framework to encode visual information. Neurocomputing 2013, 114, 45–53. [Google Scholar] [CrossRef]
- Martínez-Cañada, P.; Morillas, C.; Pino, B.; Ros, E.; Pelayo, F. A computational framework for realistic retina modelling. Int. J. Neural Syst. 2016, 26, 1650030. [Google Scholar] [CrossRef]
- McIntosh, L.; Maheswaranathan, N.; Nayebi, A.; Ganguli, S.; Baccus, S. Deep Learning Models of the Retinal Response to Natural Scenes. In Advances in Neural Information Processing Systems 29; Lee, D.D., Sugiyama, M., Luxburg, U.V., Guyon, I., Garnett, R., Eds.; Curran Associates, Inc.: Barcelona, Spain, 2016; pp. 1369–1377. [Google Scholar]
- Maheswaranathan, N.; McIntosh, L.T.; Kastner, D.B.; Melander, J.; Brezovec, L.; Nayebi, A.; Wang, J.; Ganguli, S.; Baccus, S.A. Deep learning models reveal internal structure and diverse computations in the retina under natural scenes. bioRxiv 2018, 340943. [Google Scholar] [CrossRef]
- Batty, E.; Merel, J.; Brackbill, N.; Heitman, A.; Sher, A.; Litke, A.; Chichilnisky, E.; Paninski, L. Multilayer recurrent network models of primate retinal ganglion cell responses. In Proceedings of the International Conference on Learning Representations, Vancouver, BC, Canada, 2–4 May 2016. [Google Scholar]
- Da Cruz, L.; Coley, B.F.; Dorn, J.; Merlini, F.; Filley, E.; Christopher, P.; Chen, F.K.; Wuyyuru, V.; Sahel, J.; Stanga, P.; et al. The Argus II epiretinal prosthesis system allows letter and word reading and long-term function in patients with profound vision loss. Br. J. Ophthalmol. 2013, 97, 632–636. [Google Scholar] [CrossRef]
- Stronks, H.C.; Dagnelie, G. The functional performance of the Argus II retinal prosthesis. Expert Rev. Med. Devices 2014, 11, 23–30. [Google Scholar] [CrossRef]
- Stingl, K.; Bartz-Schmidt, K.U.; Besch, D.; Braun, A.; Bruckmann, A.; Gekeler, F.; Greppmaier, U.; Hipp, S.; Hörtdörfer, G.; Kernstock, C.; et al. Artificial vision with wirelessly powered subretinal electronic implant alpha-IMS. Proc. R. Soc. B Biol. Sci. 2013, 280, 20130077. [Google Scholar]
- Stingl, K.; Bartz-Schmidt, K.U.; Besch, D.; Chee, C.K.; Cottriall, C.L.; Gekeler, F.; Groppe, M.; Jackson, T.L.; MacLaren, R.E.; Koitschev, A.; et al. Subretinal visual implant alpha IMS–clinical trial interim report. Vis. Res. 2015, 111, 149–160. [Google Scholar] [CrossRef]
- Rizzo III, J.F. Update on retinal prosthetic research: The Boston Retinal Implant Project. J. Neuro-Ophthalmol. 2011, 31, 160–168. [Google Scholar] [CrossRef]
- Hornig, R.; Dapper, M.; Le Joliff, E.; Hill, R.; Ishaque, K.; Posch, C.; Benosman, R.; LeMer, Y.; Sahel, J.A.; Picaud, S. Pixium Vision: First Clinical Results and Innovative Developments. In Artificial Vision; Springer: Berlin/Heidelberg, Germany, 2017; pp. 99–113. [Google Scholar]
- Sellhaus, B.; Schanze, T.; RET, E. The EPI RET3 Wireless Intraocular Retina Implant System: Biocompatibility of the EPI RET3 Device. Investig. Ophthalmol. Vis. Sci. 2008, 49, 3009. [Google Scholar]
- Lowery, A.J. Introducing the monash vision group’s cortical prosthesis. In Proceedings of the 2013 20th IEEE International Conference on Image Processing (ICIP), Melbourne, VIC, Australia, 15–18 September 2013; pp. 1536–1539. [Google Scholar]
- Marin, C.; Fernández, E. Biocompatibility of intracortical microelectrodes: Current status and future prospects. Front. Neuroeng. 2010, 3, 8. [Google Scholar] [CrossRef] [PubMed]
- Rodieck, R.W. Quantitative analysis of cat retinal ganglion cell response to visual stimuli. Vis. Res. 1965, 5, 583–601. [Google Scholar] [CrossRef]
- Enroth-Cugell, C.; Robson, J.G. The contrast sensitivity of retinal ganglion cells of the cat. J. Physiol. 1966, 187, 517–552. [Google Scholar] [CrossRef] [PubMed]
- Marr, D.; Hildreth, E. Theory of edge detection. Proc. R. Soc. Lond. B Biol. Sci. 1980, 207, 187–217. [Google Scholar] [CrossRef]
- Abbott, L.F. Lapicque’s introduction of the integrate-and-fire model neuron (1907). Brain Res. Bull. 1999, 50, 303–304. [Google Scholar] [CrossRef]
- Burkitt, A.N. A review of the integrate-and-fire neuron model: I. Homogeneous synaptic input. Biol. Cybern. 2006, 95, 1–19. [Google Scholar] [CrossRef] [PubMed]
- Brunel, N.; Van Rossum, M.C. Lapicque’s 1907 paper: From frogs to integrate-and-fire. Biol. Cybern. 2007, 97, 337–339. [Google Scholar] [CrossRef] [PubMed]
- Benoit, A.; Caplier, A.; Durette, B.; Herault, J. Using Human Visual System modelling for bioinspired low level image processing. Comput. Vis. Image Underst. 2010, 114, 758–773. [Google Scholar] [CrossRef]
- BoussaïD, I.; Lepagnot, J.; Siarry, P. A survey on optimization metaheuristics. Inf. Sci. 2013, 237, 82–117. [Google Scholar] [CrossRef]
- Darwin, C. On the Origin of Species, 1859; Routledge: London, UK, 2004. [Google Scholar]
- Goldberg, D.E. Genetic Algorithms in Search, Optimization and Machine Learning, 1st ed.; Addison-Wesley Longman Publishing Co., Inc.: Boston, MA, USA, 1989. [Google Scholar]
- Holland, J.H. Adaptation in Natural and Artificial Systems: An Introductory Analysis with Applications to Biology, Control and Artificial Intelligence; MIT Press: Cambridge, MA, USA, 1992. [Google Scholar]
- Koza, J.R.; Koza, J.R. Genetic Programming: On the Programming of Computers by Means of Natural Selection; MIT Press: Cambridge, MA, USA, 1992. [Google Scholar]
- Rechenberg, I. Cybernetic Solution Path of an Experimental Problem; Royal Aircraft Establishment Library Translation No. 1122; Royal Aircraft Establishment: Farnborough, UK, 1965.
- Reynolds, R.G. An introduction to cultural algorithms. In Proceedings of the Third Annual Conference on Evolutionary Programming, River Edge, NJ, USA, 24–26 February 1994; pp. 131–139. [Google Scholar]
- Kennedy, J. Particle swarm optimization. In Encyclopedia of Machine Learning; Springer: Berlin/Heidelberg, Germany, 2011; pp. 760–766. [Google Scholar]
- Walker, A.; Hallam, J.; Willshaw, D. Bee-havior in a mobile robot: The construction of a self-organized cognitive map and its use in robot navigation within a complex, natural environment. In Proceedings of the IEEE International Conference on Neural Networks, San Francisco, CA, USA, 28 March–1 April 1993; pp. 1451–1456. [Google Scholar]
- Dorigo, M. Optimization, Learning and Natural Algorithms. Ph.D. Thesis, Politecnico di Milano, Milan, Italy, 1992. [Google Scholar]
- Passino, K.M. Biomimicry of bacterial foraging for distributed optimization and control. IEEE Control Syst. Mag. 2002, 22, 52–67. [Google Scholar]
- Ren, M.; Song, Y.; Chu, W. An Improved Locally Weighted PLS Based on Particle Swarm Optimization for Industrial Soft Sensor Modeling. Sensors 2019, 19. [Google Scholar] [CrossRef] [PubMed]
- Liu, N.; Pan, J.S.; Wang, J.; Nguyen, T.T. An Adaptation Multi-Group Quasi-Affine Transformation Evolutionary Algorithm for Global Optimization and Its Application in Node Localization in Wireless Sensor Networks. Sensors 2019, 19. [Google Scholar] [CrossRef] [PubMed]
- Strumberger, I.; Minovic, M.; Tuba, M.; Bacanin, N. Performance of Elephant Herding Optimization and Tree Growth Algorithm Adapted for Node Localization in Wireless Sensor Networks. Sensors 2019, 19, 2515. [Google Scholar] [CrossRef] [PubMed]
- Paul, A.; Sato, T. Localization in wireless sensor networks: A survey on algorithms, measurement techniques, applications and challenges. J. Sens. Actuator Netw. 2017, 6, 24. [Google Scholar] [CrossRef]
- Strumberger, I.; Tuba, E.; Bacanin, N.; Beko, M.; Tuba, M. Wireless Sensor Network Localization Problem by Hybridized Moth Search Algorithm. In Proceedings of the 2018 14th International Wireless Communications & Mobile Computing Conference (IWCMC), Limassol, Cyprus, 25–29 June 2018; pp. 316–321. [Google Scholar]
- Raguraman, P.; Ramasundaram, M.; Balakrishnan, V. Localization in wireless sensor networks: A dimension based pruning approach in 3D environments. Appl. Soft Comput. 2018, 68, 219–232. [Google Scholar] [CrossRef]
- Wu, T.Y.; Lin, J.C.W.; Zhang, Y.; Chen, C.H. A Grid-Based Swarm Intelligence Algorithm for Privacy-Preserving Data Mining. Appl. Sci. 2019, 9, 774. [Google Scholar] [CrossRef]
- Wang, C.; Shi, Z.; Wu, F. An improved particle swarm optimization-based feed-forward neural network combined with RFID sensors to indoor localization. Information 2017, 8, 9. [Google Scholar] [CrossRef]
- Bacanin, N.; Tuba, M.; Strumberger, I. RFID network planning by ABC algorithm hybridized with heuristic for initial number and locations of readers. In Proceedings of the 2015 17th UKSim-AMSS International Conference on Modelling and Simulation (UKSim), Cambridge, UK, 25–27 March 2015; pp. 39–44. [Google Scholar]
- Deb, K.; Pratap, A.; Agarwal, S.; Meyarivan, T. A fast and elitist multiobjective genetic algorithm: NSGA-II. IEEE Trans. Evol. Comput. 2002, 6, 182–197. [Google Scholar] [CrossRef]
- Zitzler, E.; Thiele, L. An Evolutionary Algorithm for Multiobjective Optimization: The Strength Pareto Approach. Available online: https://www.research-collection.ethz.ch/bitstream/handle/20.500.11850/145900/eth-24834-01.pdf (accessed on 6 November 2019).
- Zitzler, E.; Laumanns, M.; Thiele, L. SPEA2: Improving the Strength Pareto Evolutionary Algorithm. Available online: https://www.research-collection.ethz.ch/bitstream/handle/20.500.11850/145755/eth-24689-01.pdf (accessed on 6 November 2019).
- Corne, D.W.; Knowles, J.D.; Oates, M.J. The Pareto envelope-based selection algorithm for multiobjective optimization. In International Conference on Parallel Problem Solving from Nature; Springer: Berlin/Heidelberg, Germany, 2000; pp. 839–848. [Google Scholar]
- Deb, K.; Jain, H. An evolutionary many-objective optimization algorithm using reference-point-based nondominated sorting approach, part I: Solving problems with box constraints. IEEE Trans. Evol. Comput. 2014, 18, 577–601. [Google Scholar] [CrossRef]
- Omran, M.G.; Salman, A.; Engelbrecht, A.P. Dynamic clustering using particle swarm optimization with application in image segmentation. Pattern Anal. Appl. 2006, 8, 332. [Google Scholar] [CrossRef]
- Robinson, J.; Rahmat-Samii, Y. Particle swarm optimization in electromagnetics. IEEE Trans. Antennas Propag. 2004, 52, 397–407. [Google Scholar] [CrossRef]
- Pandey, S.; Wu, L.; Guru, S.M.; Buyya, R. A particle swarm optimization-based heuristic for scheduling workflow applications in cloud computing environments. In Proceedings of the 2010 24th IEEE International Conference on Advanced Information Networking and Applications (AINA), Perth, WA, Australia, 20–23 April 2010; pp. 400–407. [Google Scholar]
- Shi, Y.; Eberhart, R. A modified particle swarm optimizer. In Proceedings of the 1998 IEEE International Conference on Evolutionary Computation, IEEE World Congress on Computational Intelligence, Anchorage, AK, USA, 4–9 May 1998; pp. 69–73. [Google Scholar]
- Ratnaweera, A.; Halgamuge, S.; Watson, H. Self-Organizing Hierarchical Particle Swarm Optimizer With Time-Varying Acceleration Coefficients. IEEE Trans. Evol. Comput. 2004, 8, 240–255. [Google Scholar] [CrossRef]
- Liang, J.; Qin, A.; Suganthan, P.; Baskar, S. Comprehensive learning particle swarm optimizer for global optimization of multimodal functions. IEEE Trans. Evol. Comput. 2006, 10, 281–295. [Google Scholar] [CrossRef]
- Reyes-Sierra, M.; Coello, C.C. Multi-objective particle swarm optimizers: A survey of the state-of-the-art. Int. J. Comput. Intell. Res. 2006, 2, 287–308. [Google Scholar]
- Storn, R.; Price, K. Differential Evolution—A Simple and Efficient Adaptive Scheme for Global Optimization over Continuous Spaces; ICSI Berkeley: Berkeley, CA, USA, 1995; Volume 3. [Google Scholar]
- Robič, T.; Filipič, B. DEMO: Differential evolution for multiobjective optimization. In International Conference on Evolutionary Multi-Criterion Optimization; Springer: Berlin/Heidelberg, Germany, 2005; pp. 520–533. [Google Scholar]
- Fernández, E.; Ferrandez, J.M.; Ammermüller, J.; Normann, R.A. Population coding in spike trains of simultaneously recorded retinal ganglion cells11Published on the World Wide Web on 7 November 2000. Brain Res. 2000, 887, 222–229. [Google Scholar] [CrossRef]
- Díaz-Tahoces, A.; Martínez-Álvarez, A.; García-Moll, A.; Humphreys, L.; Bolea, J.; Fernández, E. Towards the Reconstruction of Moving Images by Populations of Retinal Ganglion Cells. In Artificial Computation in Biology and Medicine; Springer International Publishing: Berlin/Heidelberg, Germany, 2015; Volume 9107, pp. 220–227. [Google Scholar]
- Kullback, S. Information Theory and Statistics; Courier Corporation: New York, NY, USA, 1997. [Google Scholar]
- Zitzler, E.; Thiele, L. Multiobjective optimization using evolutionary algorithms—A comparative case study. In International Conference on Parallel Problem Solving from Nature; Springer: Berlin/Heidelberg, Germany, 1998; pp. 292–301. [Google Scholar]
- Zitzler, E.; Thiele, L. Multiobjective evolutionary algorithms: A comparative case study and the strength Pareto approach. IEEE Trans. Evol. Comput. 1999, 3, 257–271. [Google Scholar] [CrossRef]
- Zitzler, E.; Thiele, L.; Laumanns, M.; Fonseca, C.M.; Da Fonseca, V.G. Performance assessment of multiobjective optimizers: An analysis and review. IEEE Trans. Evol. Comput. 2003, 7, 117–132. [Google Scholar] [CrossRef]
- Fleischer, M. The measure of Pareto optima applications to multi-objective metaheuristics. In Evolutionary Multi-Criterion Optimization; Springer: Berlin/Heidelberg, Germany, 2003; p. 74. [Google Scholar]
- Van Veldhuizen, D.A.; Lamont, G.B. Multiobjective Evolutionary Algorithm Research: A History and Analysis. Available online: citeseerx.ist.psu.edu/viewdoc/download?doi=10.1.1.35.8924&rep=rep1&type=pdf (accessed on 6 November 2019).
- Tukey, J.W. Exploratory Data Analysis; Addison-Wesley Publishing Company: Reading, MA, USA, 1977. [Google Scholar]
- Chambers, J.M. Graphical Methods for Data Analysis; Wadsworth International Group: Belmont, CA, USA; Duxbury Press: Boston, MA, USA, 1983. [Google Scholar]
- Kruskal, W.H.; Wallis, W.A. Use of Ranks in One-Criterion Variance Analysis. J. Am. Stat. Assoc. 1952, 47, 583. [Google Scholar] [CrossRef]
- Friedman, M. The use of ranks to avoid the assumption of normality implicit in the analysis of variance. J. Am. Stat. Assoc. 1937, 32, 675–701. [Google Scholar] [CrossRef]
- Friedman, M. A comparison of alternative tests of significance for the problem of m rankings. Ann. Math. Stat. 1940, 11, 86–92. [Google Scholar] [CrossRef]
- Wilcoxon, F. Individual comparisons by ranking methods. Biom. Bull. 1945, 1, 80–83. [Google Scholar] [CrossRef]
- Mann, H.B.; Whitney, D.R. On a test of whether one of two random variables is stochastically larger than the other. Ann. Math. Stat. 1947, 18, 50–60. [Google Scholar] [CrossRef]
- Dunn, O.J. Multiple comparisons among means. J. Am. Stat. Assoc. 1961, 56, 52–64. [Google Scholar] [CrossRef]
- Hochberg, Y. A sharper Bonferroni procedure for multiple tests of significance. Biometrika 1988, 75, 800–802. [Google Scholar] [CrossRef]
- Hommel, G. A stagewise rejective multiple test procedure based on a modified Bonferroni test. Biometrika 1988, 75, 383–386. [Google Scholar] [CrossRef]
- Bader, J.; Zitzler, E. HypE: An algorithm for fast hypervolume-based many-objective optimization. Evol. Comput. 2011, 19, 45–76. [Google Scholar] [CrossRef]
- Chichilnisky, E. A simple white noise analysis of neuronal light responses. Netw. Comput. Neural Syst. 2001, 12, 199–213. [Google Scholar] [CrossRef]











| Parameter | Range | Data Type |
|---|---|---|
| K | 3–13 | int |
| Leakage | 10.0–15.0 | float |
| Threshold | 225.0–275.0 | float |
| Persistence Time | 3–7 | int |
| Refractory Period | 1.0–10.0 | float |
| Frequency Modulator Factor | 0.25–0.40 | float |
| SPEA2 | NSGA-II | NSGA-III | PSO | DE | |
|---|---|---|---|---|---|
| SPEA2 | - | 0.0963 | 0.0015 | 0.0002 | 0.0233 |
| NSGA-II | - | - | 0.0003 | 0.0002 | 0.4497 |
| NSGA-III | - | - | - | 0.0002 | 0.0002 |
| PSO | - | - | - | - | 0.0002 |
| DE | - | - | - | - | - |
| Comparison | Unadjusted | Bonferroni | Hochberg | Hommel |
|---|---|---|---|---|
| SPEA2 versus NSGA-II | 0.0963 | 1.0000 | 0.1070 | 0.1070 |
| SPEA2 versus NSGA-III | 0.0015 | 0.0300 | 0.0021 | 0.0021 |
| SPEA2 versus PSO | 0.0002 | 0.0042 | 0.0004 | 0.0004 |
| SPEA2 versus DE | 0.0233 | 0.4668 | 0.0292 | 0.0292 |
| NSGA-II versus NSGA-III | 0.0003 | 0.0057 | 0.0005 | 0.0005 |
| NSGA-II versus PSO | 0.0002 | 0.0031 | 0.0004 | 0.0004 |
| NSGA-II versus DE | 0.4497 | 1.0000 | 0.4497 | 0.4497 |
| NSGA-III versus PSO | 0.0002 | 0.0031 | 0.0004 | 0.0004 |
| NSGA-III versus DE | 0.0002 | 0.0042 | 0.0004 | 0.0004 |
| PSO versus DE | 0.0002 | 0.0031 | 0.0004 | 0.0004 |
© 2019 by the authors. Licensee MDPI, Basel, Switzerland. This article is an open access article distributed under the terms and conditions of the Creative Commons Attribution (CC BY) license (http://creativecommons.org/licenses/by/4.0/).
Share and Cite
Crespo-Cano, R.; Cuenca-Asensi, S.; Fernández, E.; Martínez-Álvarez, A. Metaheuristic Optimisation Algorithms for Tuning a Bioinspired Retinal Model. Sensors 2019, 19, 4834. https://doi.org/10.3390/s19224834
Crespo-Cano R, Cuenca-Asensi S, Fernández E, Martínez-Álvarez A. Metaheuristic Optimisation Algorithms for Tuning a Bioinspired Retinal Model. Sensors. 2019; 19(22):4834. https://doi.org/10.3390/s19224834
Chicago/Turabian StyleCrespo-Cano, Rubén, Sergio Cuenca-Asensi, Eduardo Fernández, and Antonio Martínez-Álvarez. 2019. "Metaheuristic Optimisation Algorithms for Tuning a Bioinspired Retinal Model" Sensors 19, no. 22: 4834. https://doi.org/10.3390/s19224834
APA StyleCrespo-Cano, R., Cuenca-Asensi, S., Fernández, E., & Martínez-Álvarez, A. (2019). Metaheuristic Optimisation Algorithms for Tuning a Bioinspired Retinal Model. Sensors, 19(22), 4834. https://doi.org/10.3390/s19224834




