Gas Biosensor Arrays Based on Single-Stranded DNA-Functionalized Single-Walled Carbon Nanotubes for the Detection of Volatile Organic Compound Biomarkers Released by Huanglongbing Disease-Infected Citrus Trees
Abstract
1. Introduction
2. Materials and Methods
2.1. Chemicals and Materials
- s1-DNA: 5′-CTT CTG TCT TGA TGT TTG TCA AAC-3′ and
- s2-DNA: 5′-AAA ACC CCC GGG GTT TTT TTT TTT-3′.
2.2. Apparatus
2.3. Fabrication of Biosensor Arrays
2.4. Gas Sensing Setup
3. Results
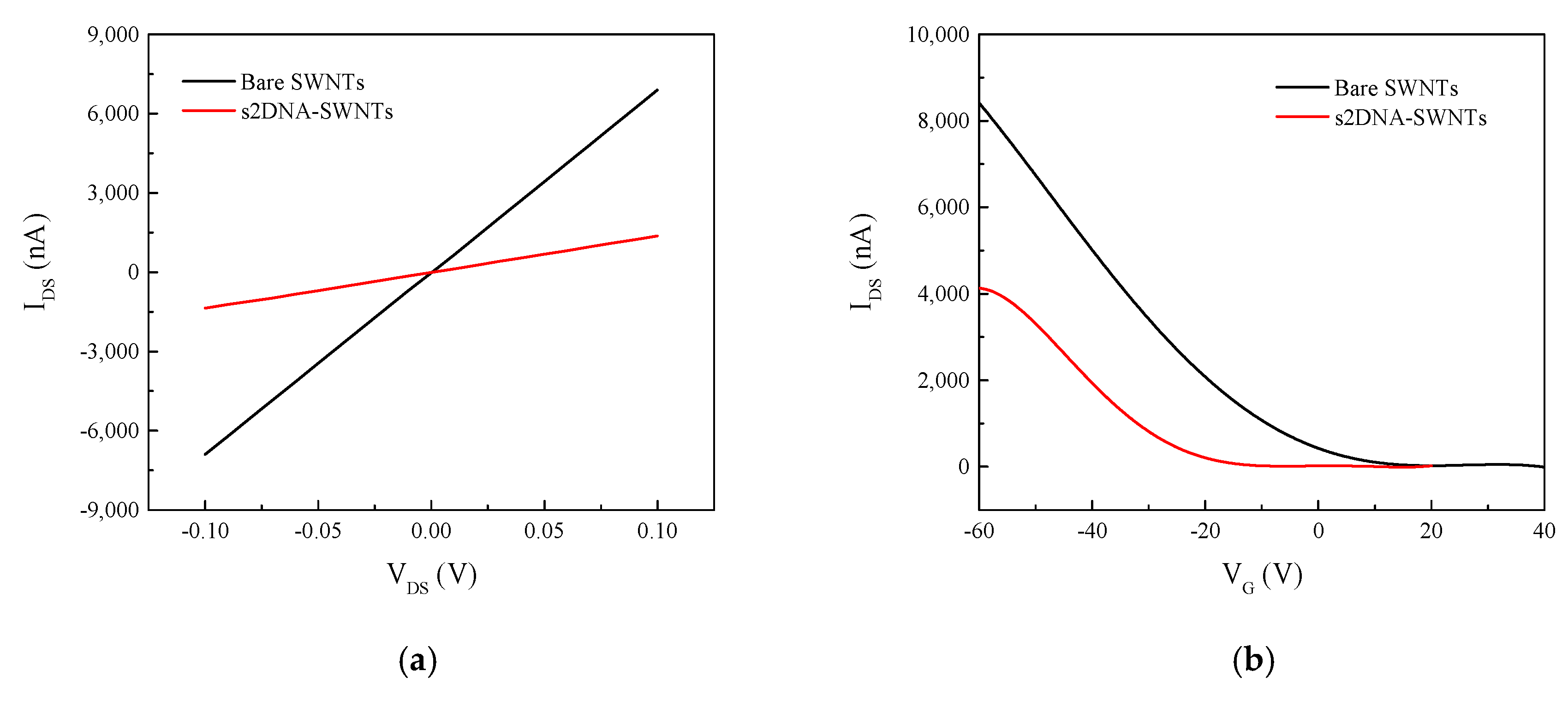
3.1. Verification of ssDNA-SWNT Hybrid Formation
3.2. Sensing of VOCs Specific to HLB
3.3. Reproducibility
3.4. Sensing Mechanism
3.5. Chemometric Analysis
3.5.1. Principal Component Analysis
3.5.2. Neural Net Fitting
4. Conclusions
Supplementary Materials
Author Contributions
Funding
Acknowledgments
Conflicts of Interest
References
- Weinert, M.P.; Jacobson, S.C.; Grimshaw, J.F.; Bellis, G.A.; Stephens, P.M.; Gunua, T.G.; Kame, M.F.; Davis, R.I. Detection of Huanglongbing (citrus greening disease) in Timor-Leste (East Timor) and in Papua New Guinea. Australas. Plant Pathol. 2004, 33, 135–136. [Google Scholar] [CrossRef]
- Aldeek, F.; Rosana, M.R.; Hamilton, Z.K.; Crosswhite, M.R.; Burrows, C.W.; Singh, S.; Gerard, G.; Hammack, W.; Cook, J.M. LC-MS/MS Method for the determination and quantitation of penicillin G and its metabolites in citrus fruits affected by Huanglongbing. J. Agric. Food Chem. 2015, 63, 5993–6000. [Google Scholar] [CrossRef] [PubMed]
- Batool, A.; Iftikhar, Y.; Mughal, S.; Khan, M.; Jaskani, M.; Abbas, M.; Khan, I. Citrus greening disease-a major cause of citrus decline in the world-a review. Hort. Sci. 2007, 34, 159–166. [Google Scholar] [CrossRef]
- Jagoueix, S.; Bove, J.M.; Garnier, M. The phloem-limited bacterium of greening disease of citrus is a member of the alpha-subdivision of the proteobacteria. Int. J. Syst. Bacteriol. 1994, 44, 379–386. [Google Scholar] [CrossRef]
- Bove, J.M. Huanglongbing: A destructive, newly-emerging, century-old disease of citrus. J. Plant Pathol. 2006, 88, 7–37. [Google Scholar]
- Lu, L.M.; Cheng, B.P.; Du, D.C.; Hu, X.R.; Peng, A.T.; Pu, Z.X.; Zhang, X.Y.; Huang, Z.D.; Chen, G.Q. Morphological, molecular and virulence characterization of three Lencanicillium species infecting Asian citrus psyllids in Huangyan citrus groves. J. Invertebr. Pathol. 2015, 125, 45–55. [Google Scholar] [CrossRef]
- Hung, T.H.; Wu, M.L.; Su, H.J. Identification of the chinese box orange (Severinia buxifolia) as an alternative host of the bacterium causing citrus Huanglongbing. Eur. J. Plant Pathol. 2001, 107, 183–189. [Google Scholar] [CrossRef]
- Albrecht, U.; Bowman, K.D. Candidatus liberibacter asiaticus and huanglongbing effects on citrus seeds and seedlings. Hortscience 2009, 44, 1967–1973. [Google Scholar] [CrossRef]
- Adkarpurushothama, C.R.; Quaglino, F.; Casati, P.; Ramanayaka, J.G.; Bianco, P.A. Genetic diversity among ’Candidatus Liberibacter asiaticus’ isolates based on single nucleotide polymorphisms in 16S rRNA and ribosomal protein genes. Ann. Microbiol. 2009, 59, 681–688. [Google Scholar] [CrossRef]
- Aksenov, A.A.; Pasamontes, A.; Peirano, D.J.; Zhao, W.X.; Dandekar, A.M.; Fiehn, O.; Ehsani, R.; Davis, C.E. Detection of Huanglongbing disease using differential mobility spectrometry. Anal. Chem. 2014, 86, 2481–2488. [Google Scholar] [CrossRef]
- Freitas, D.D.; Carlos, E.F.; Gil, M.C.S.D.; Vieira, L.G.E.; Alcantara, G.B. NMR-Based metabolomic analysis of huanglongbing-asymptomatic and -symptomatic Citrus trees. J. Agric. Food Chem. 2015, 63, 7582–7588. [Google Scholar] [CrossRef] [PubMed]
- Wetterich, C.B.; Neves, R.F.D.; Belasque, J.; Ehsani, R.; Marcassa, L.G. Detection of Huanglongbing in florida using fluorescence imaging spectroscopy and machine-learning methods. Appl. Opt. 2017, 56, 15–23. [Google Scholar] [CrossRef]
- Alvarez, S.; Rohrig, E.; Solis, D.; Thomas, M.H. Citrus greening disease (Huanglongbing) in Florida: Economic impact, management and the potential for biological control. Agr. Res. 2016, 5, 109–118. [Google Scholar] [CrossRef]
- Arratia-Castro, A.A.; Santos-Cervantes, M.E.; Fernandez-Herrera, E.; Chavez-Medina, J.A.; Flores-Zamora, G.L.; Camacho-Beltran, E.; Mendez-Lozano, J.; Leyva-Lopez, N.E. Occurrence of ‘Candidatus Phytoplasma asteris’ in citrus showing Huanglongbing symptoms in Mexico. Crop Prot. 2014, 62, 144–151. [Google Scholar] [CrossRef]
- Achor, D.; Etxeberria, E.; Chung, K.R.; Albrigo, L.G. Leaf ultrastructure of Huanglongbing disease in citrus. Hortscience 2008, 43, 1207. [Google Scholar]
- Li, W.B.; Hartung, J.S.; Levy, L. Quantitative real-time PCR for detection and identification of candidatus liberibacter species associated with citrus huanglongbing. J. Microbiol. Meth. 2006, 66, 104–115. [Google Scholar] [CrossRef]
- Albrecht, U.; Fiehn, O.; Bowman, K.D. Metabolic variations in different citrus rootstock cultivars associated with different responses to Huanglongbing. Plant Physiol. Biochem. 2016, 107, 33–44. [Google Scholar] [CrossRef]
- Ouyang, G.C.; Fang, X.D.; Lu, H.L.; Zhou, X.; Meng, X.; Yu, S.K.; Guo, M.F.; Xia, Y.L. Repellency of five mineral oils against Diaphorina citri (Hemiptera: Liviidae). Fla. Entomol. 2013, 96, 974–982. [Google Scholar] [CrossRef]
- Peirano, D.J.; Pasamontes, A.; Davis, C.E. Supervised semi-automated data analysis software for gas chromatography/differential mobility spectrometry (GC/DMS) metabolomics applications. Int. J. Ion Mobil. Spec. 2016, 19, 155–166. [Google Scholar] [CrossRef]
- Pasamontes, A.; Cheung, W.H.K.; Simmons, J.; Aksenov, A.A.; Peirano, D.J.; Grafton-Cardwell, E.E.; Kapaun, T.; Dandekar, A.M.; Fiehn, O.; Davis, C.E. Citrus tristeza virus infection in sweet orange trees and a mandarin x tangor cross alters low molecular weight metabolites assessed using gas chromatography mass spectrometry (GC/MS). Metabolomics 2016, 12, 1–10. [Google Scholar] [CrossRef]
- Neri, G. First fifty years of chemoresistive gas sensors. Chemosensors 2015, 3, 1–20. [Google Scholar] [CrossRef]
- Nakai, Y.; Honda, K.; Yanagi, K.; Kataura, H.; Kato, T.; Yamamoto, T.; Maniwa, Y. Giant seebeck coefficient in semiconducting single-wall carbon nanotube film. Appl. Phys. Express 2014, 7, 0251031–0251034. [Google Scholar] [CrossRef]
- Boyd, A.; Dube, I.; Fedorov, G.; Paranjape, M.; Barbara, P. Gas sensing mechanism of carbon nanotubes: From single tubes to high-density networks. Carbon 2014, 69, 417–423. [Google Scholar] [CrossRef]
- Jo, Y.D.; Lee, S.; Seo, J.; Lee, S.; Ann, D.; Lee, H. TiO2 Particles on a 3D network of single-walled nanotubes for NH3 gas sensors. J. Nanosci. Nanotechno. 2014, 14, 9148–9151. [Google Scholar] [CrossRef]
- Yang, M.; Kim, D.H.; Kim, W.S.; Kang, T.J.; Lee, B.Y.; Hong, S.; Kim, Y.H.; Hong, S.H. H-2 sensing characteristics of SnO2 coated single wall carbon nanotube network sensors. Nanotechnology 2010, 21, 2155011–2155017. [Google Scholar] [CrossRef]
- Zilberman, Y.; Ionescu, R.; Feng, X.L.; Mullen, K.; Haick, H. Nanoarray of polycyclic aromatic hydrocarbons and carbon nanotubes for accurate and predictive detection in real-world environmental humidity. ACS Nano 2011, 5, 6743–6753. [Google Scholar] [CrossRef]
- Shirsat, M.D.; Sarkar, T.; Kakoullis, J.; Myung, N.V.; Konnanath, B.; Spanias, A.; Mulchandani, A. Porphyrin-functionalized single-walled carbon nanotube chemiresistive sensor arrays FOR VOCs. J. Phys. Chem. C 2012, 116, 3845–3850. [Google Scholar] [CrossRef]
- Ionescu, R.; Broza, Y.; Shaltieli, H.; Sadeh, D.; Zilberman, Y.; Feng, X.L.; Glass-Marmor, L.; Lejbkowicz, I.; Mullen, K.; Miller, A.; et al. Detection of multiple Sclerosis from exhaled breath using bilayers of polycyclic aromatic hydrocarbons and single-wall carbon nanotubes. Acs Chem. Neurosci. 2011, 2, 687–693. [Google Scholar] [CrossRef]
- Kybert, N.J.; Lerner, M.B.; Yodh, J.S.; Preti, G.; Johnson, A.T. Differentiation of complex vapor mixtures using versatile DNA-carbon nanotube chemical sensor arrays. Acs Nano 2013, 7, 2800–2807. [Google Scholar] [CrossRef]
- Uemura, H.; Ichikawa, M.; Kimura, Y. Crossover behavior in static and dynamic properties of a single DNA molecule from three to quasi-two dimensions. Phys. Rev. E 2010, 81, 0518011–0518017. [Google Scholar] [CrossRef]
- Lieberman, K.R.; Cherf, G.M.; Doody, M.J.; Olasagasti, F.; Kolodji, Y.; Akeson, M. Processive replication of single DNA molecules in a nanopore catalyzed by phi29 DNA polymerase. J. Am. Chem. Soc 2010, 132, 17961–17972. [Google Scholar] [CrossRef] [PubMed]
- Zhou, C.; Avins, J.L.; Klauser, P.C.; Brandsen, B.M.; Lee, Y.; Silverman, S.K. DNA-catalyzed amide hydrolysis. J. Am. Chem. Soc. 2016, 138, 2106–2109. [Google Scholar] [CrossRef] [PubMed]
- Staii, C.; Johnson, A.T.; Chen, M.; Gelperin, A. DNA-decorated carbon nanotubes for chemical sensing. Nano Lett. 2005, 5, 1774–1778. [Google Scholar] [CrossRef] [PubMed]
- Ramnani, P.; Saucedo, N.M.; Mulchandani, A. Carbon nanomaterial-based electrochemical biosensors for label-free sensing of environmental pollutants. Chemosphere 2016, 143, 85–98. [Google Scholar] [CrossRef]
- Badhulika, S.; Myung, N.V.; Mulchandani, A. Conducting polymer coated single-walled carbon nanotube gas sensors for the detection of volatile organic compounds. Talanta 2014, 123, 109–114. [Google Scholar] [CrossRef]
- Bansal, J.; Singh, I.; Bhatnagar, P.K.; Mathur, P.C. DNA sequence detection based on raman spectroscopy using single walled carbon nanotube. J. Biosci. Bioeng. 2013, 115, 438. [Google Scholar] [CrossRef]
- Glamazda, A.Y.; Plokhotnichenko, A.M.; Leontiev, V.S.; Karachevtsev, V.A. DNA-wrapped carbon nanotubes aligned in stretched gelatin films: Polarized resonance raman and absorption spectroscopy study. Physica E Low Dimens. Syst. Nanostruct. 2017, 93, 92–96. [Google Scholar] [CrossRef]
- Capek, I.C. Dispersions Based on Carbon Nanotubes–Biomolecules Conjugates. Carbon Nanotub. Growth Appl. 2011, 4, 78–79. [Google Scholar]
- Attal, S.; Thiruvengadathan, R.; Regev, O. Determination of the concentration of single-walled carbon nanotubes in aqueous dispersions using UV-visible absorption spectroscopy. Anal. Chem 2006, 78, 8098–8104. [Google Scholar] [CrossRef]
- Nepal, D.; Sohn, J.I.; Aicher, W.K.; Lee, S.; Geckeler, K.E. Supramolecular conjugates of carbon nanotubes and DNA by a solid-state reaction. Biomacromolecules 2005, 6, 2919–2922. [Google Scholar] [CrossRef]
- Nakashima, N.; Okuzono, S.; Murakami, H.; Nakai, T.; Yoshikawa, K. DNA dissolves single-walled carbon nanotubes in water. Chem. Lett. 2003, 32, 456–457. [Google Scholar] [CrossRef]
- Cella, L.N.; Sanchez, P.; Zhong, W.; Myung, N.V.; Chen, W.; Mulchandani, A. Nano aptasensor for protective antigen toxin of anthrax. Anal. Chem. 2010, 82, 2042–2047. [Google Scholar] [CrossRef] [PubMed]











© 2019 by the authors. Licensee MDPI, Basel, Switzerland. This article is an open access article distributed under the terms and conditions of the Creative Commons Attribution (CC BY) license (http://creativecommons.org/licenses/by/4.0/).
Share and Cite
Wang, H.; Ramnani, P.; Pham, T.; Villarreal, C.C.; Yu, X.; Liu, G.; Mulchandani, A. Gas Biosensor Arrays Based on Single-Stranded DNA-Functionalized Single-Walled Carbon Nanotubes for the Detection of Volatile Organic Compound Biomarkers Released by Huanglongbing Disease-Infected Citrus Trees. Sensors 2019, 19, 4795. https://doi.org/10.3390/s19214795
Wang H, Ramnani P, Pham T, Villarreal CC, Yu X, Liu G, Mulchandani A. Gas Biosensor Arrays Based on Single-Stranded DNA-Functionalized Single-Walled Carbon Nanotubes for the Detection of Volatile Organic Compound Biomarkers Released by Huanglongbing Disease-Infected Citrus Trees. Sensors. 2019; 19(21):4795. https://doi.org/10.3390/s19214795
Chicago/Turabian StyleWang, Hui, Pankaj Ramnani, Tung Pham, Claudia Chaves Villarreal, Xuejun Yu, Gang Liu, and Ashok Mulchandani. 2019. "Gas Biosensor Arrays Based on Single-Stranded DNA-Functionalized Single-Walled Carbon Nanotubes for the Detection of Volatile Organic Compound Biomarkers Released by Huanglongbing Disease-Infected Citrus Trees" Sensors 19, no. 21: 4795. https://doi.org/10.3390/s19214795
APA StyleWang, H., Ramnani, P., Pham, T., Villarreal, C. C., Yu, X., Liu, G., & Mulchandani, A. (2019). Gas Biosensor Arrays Based on Single-Stranded DNA-Functionalized Single-Walled Carbon Nanotubes for the Detection of Volatile Organic Compound Biomarkers Released by Huanglongbing Disease-Infected Citrus Trees. Sensors, 19(21), 4795. https://doi.org/10.3390/s19214795

