Improved Multistage In-Motion Attitude Determination Alignment Method for Strapdown Inertial Navigation System
Abstract
1. Introduction
2. Problem Statement
2.1. The Traditional Body-Frame Velocity-Aided In-Motion Attitude Determination Alignment
2.2. The Ttraditional MultistageIn-Motion Attitude Determination Alignment and the Aegradation Phenomenon
3. The Improved Multistage In-Motion Attitude Determination Alignment with the Dual Velocity-Modeling
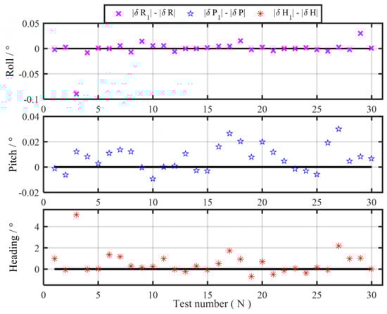
4. Experiments and Simulations
5. Conclusions
Author Contributions
Conflicts of Interest
References
- Lu, J.; Xie, L.; Li, B. Analytic Coarse Transfer Alignment Based on Inertial Measurement Vector Matching and Real-Time Precision Evaluation. IEEE Trans. Instrum. Meas. 2016, 65, 355–364. [Google Scholar] [CrossRef]
- Liu, M.; Li, G.; Gao, Y.; Li, S.; Meng, Q.; Du, S. Improved Polar Inertial Navigation Algorithm Based on Pseudo INS Mechanization. Aerosp. Sci. Technol. 2018, 77, 105–116, S1270963817315377. [Google Scholar] [CrossRef]
- Li, J.; Wang, Y.; Lu, Z.; Li, Y. Instantaneous Observable Degree modeling Based on Movement Measurement for Airborne POS. Aerosp. Sci. Technol. 2018, 84, 916–925. [Google Scholar] [CrossRef]
- Liu, M.; Li, G.; Gao, Y.; Li, S.; Guan, L. Velocity-Aided In-Motion Alignment for SINS Based on Pseudo-Earth Frame. J. Navig. 2018, 71, 20. [Google Scholar] [CrossRef]
- Wu, Y.; Pan, X. Velocity/Position Integration Formula Part II: Application to Strapdown Inertial Navigation Computation. Aerosp. Electron. Syst. IEEE Trans. 2013, 49, 1024–1034. [Google Scholar] [CrossRef]
- Chang, L.; Li, J.; Li, K. Optimization-Based Alignment for Strapdown Inertial Navigation System Comparison and Extension. IEEE Trans. Aerosp. Electron. Syst. 2014, 52, 1697–1713. [Google Scholar] [CrossRef]
- Cao, S.; Guo, L.; Chen, W. Anti-Disturbance Fault Tolerant Initial Alignment for Inertial Navigation System Subjected to Multiple Disturbances. Aerosp. Sci. Technol. 2018, 72, 95–103. [Google Scholar] [CrossRef]
- Li, W.; Zhang, L.; Sun, F.; Yang, L.; Chen, M.; Li, Y. Alignment calibration of IMU and Doppler sensors for precision INS/DVL integrated navigation. Opt. Int. J. Light Electron Opt. 2015, 126, 3872–3876. [Google Scholar] [CrossRef]
- Zhang, G.H.; Hsu, L.T. Intelligent GNSS/INS Integrated Navigation System for a Commercial UAV Flight Control System. Aerosp. Sci. Technol. 2018, 80, 368–380. [Google Scholar]
- Wang, Q.Y.; Li, Y.B.; Diao, M.; Gao, W.; Yu, F. Moving Base Alignment of a Fiber Optic Gyro Inertial Navigation System for Autonomous Underwater Vehicle Using Doppler Velocity Log. Opt. Int. J. Light Electron Opt. 2015, 126, 3631–3637. [Google Scholar] [CrossRef]
- Hu, G.; Wang, W.; Zhong, Y.; Gao, B.; Gu, C. A New Direct Filtering Approach to INS/GNSS Integration. Aerosp. Sci. Technol. 2018, 77, 755–764, S1270963817316498. [Google Scholar] [CrossRef]
- Wu, Y.; Pan, X. Velocity/Position Integration Formula Part I: Application to In-Flight Coarse Alignment. IEEE Trans. Aerosp. Sci. Technol. 2012, 49, 1006–1223. [Google Scholar] [CrossRef]
- Jiang, Y.F. Error Analysis of Analytic Coarse Alignment Methods. IEEE Trans. Aerosp. Sci. Technol. 1998, 34, 334–337. [Google Scholar]
- Felipe, O.S. Generalized Error Analysis of Analytical Coarse Alignment Formulations for Stationary SINS. Aerosp. Sci. Technol. 2018, 79, 500–505. [Google Scholar]
- Silson, P.M.G. Coarse Alignment of a Ship’s StrapdownInertial Attitude Reference System Using Velocity Loci. IEEE Trans. Instrum. Meas. 2011, 60, 1930–1941. [Google Scholar] [CrossRef]
- Wu, M.; Wu, Y.; Hu, X.; Hu, D. Optimization-Based Alignment for Inertial Navigation Systems: Theory and Algorithm. Aerosp. Sci. Technol. 2011, 15, 1–17. [Google Scholar] [CrossRef]
- Gu, D.; El-Sheimy, N.; Hassan, T.; Syed, Z. Coarse Alignment for Marine SINS Using Gravity in the Inertial Frame as a Reference. In Proceedings of the Position, Location Navigation Symposium, IEEE/ION, Las Vegas, NV, USA, 31 March–4 April 2008; IEEE: Piscataway, NJ, USA, 2008; pp. 961–965. [Google Scholar]
- Taizhong, K.; Jiancheng, F.; Wei, W. Quaternion-Optimization-Based In-Flight Alignment Approach for Airborne POS. IEEE Trans. Instrum. Meas. 2012, 61, 2916–2923. [Google Scholar] [CrossRef]
- Li, J.; Xu, J.; Chang, L.; Zha, F. An Improved Optimal Method For Initial Alignment. J. Navig. 2014, 67, 727–736. [Google Scholar] [CrossRef]
- Liu, X.; Zhao, Y.; Liu, X.; Yang, Y.; Song, Q.; Liu, Z. An Improved Self-Alignment Method for Strapdown Inertial Navigation System Based on Gravitational Apparent Motion and Dual-Vector. Rev. Sci. Instrum. 2014, 85, 3836–3846. [Google Scholar] [CrossRef]
- Liu, M.; Gao, Y.; Li, G. Moving base alignment for SINS based on pseudo inertial navigation system modeling. In Proceedings of the IECON 2017-43rd Annual Conference of the IEEE Industrial Electronics Society, Beijing, China, 29 October–1 November 2017; IEEE: Piscataway, NJ, USA, 2017; pp. 6899–6904. [Google Scholar]
- Zhu, L.; Cheng, X. An Improved Initial Alignment Method for Rocket Navigation Systems. J. Navig. 2013, 66, 737–749. [Google Scholar] [CrossRef]
- Chang, L.; Li, J.; Chen, S. Initial Alignment by Attitude Estimation for Strapdown Inertial Navigation Systems. IEEE Trans. Instrum. Meas. 2015, 64, 784–794. [Google Scholar] [CrossRef]
- Chang, L.; Hu, B.; Li, Y. Backtracking Integration for Fast Attitude Determination-Based Initial Alignment. IEEE Trans. Instrum. Meas. 2015, 64, 795–803. [Google Scholar] [CrossRef]
- Chang, L.; He, H.; Qin, F. In–Motion Initial Alignment for Odometer-Aided Strapdown Inertial Navigation System Based on Attitude Estimation. IEEE Sens. J. 2016, 17, 766–773. [Google Scholar] [CrossRef]
- Liu, Y.; Xu, X.; Liu, X.; Yao, Y.; Wu, L.; Sun, J. A Self-Alignment Algorithm for SINS Based on Gravitational Apparent Motion and Sensor Data Denoising. Sensors 2015, 15, 9827–9853. [Google Scholar] [CrossRef]
- Xu, X.; Xu, X.; Zhang, T.; Li, Y.; Wang, Z. A Coarse Alignment Method Based on Digital Filters and Reconstructed Observation Vectors. Sensors 2017, 17, 709. [Google Scholar] [CrossRef]
- Che, Y.; Wang, Q.; Gao, W.; Yu, F. An Improved Inertial Frame Alignment Algorithm Based on Horizontal Alignment Information for Marine SINS. Sensors 2015, 15, 25520–25545. [Google Scholar] [CrossRef]
- Xu, J.; He, H.; Qin, F.; Chang, L. A Novel Autonomous Initial Alignment Method for Strapdown Inertial Navigation System. IEEE Trans. Instrum. MEAS 2017, 66, 2274–2282. [Google Scholar] [CrossRef]
- Huang, Y.; Zhang, Y.; Wang, X. Kalman-Filtering-Based in-Motion Coarse Alignment for Odometer-Aided SINS. IEEE Trans. Instrum. MEAS 2017, 66, 3364–3377. [Google Scholar] [CrossRef]
- Li, S.; Gao, Y.; Liu, M. Multistage Attitude Determination Alignment for Velocity-Aided In-Motion Strapdown Inertial Navigation System with Different Velocity Models. Sensors 2019, 19, 665. [Google Scholar] [CrossRef]
- Chang, L.; Li, Y.; Xue, B. Initial Alignment for Doppler Velocity Log aided Strapdown Inertial Navigation System with Limited Information. IEEE/ASME Trans. Mechatron. 2016, 22, 329–338. [Google Scholar] [CrossRef]
- Li, Q.; Ben, Y.; Sun, F. A Novel Algorithm for Marine Strapdown Gyrocompass Based on Digital Filter. Measurement 2013, 46, 563–571. [Google Scholar] [CrossRef]













| Parameters | Specifications |
|---|---|
| Initial position | Latitude: , Longitude: |
| Initial attitude | Roll: 0°, Pitch: 0°, Heading: 30° |
| IMU | Gyroscope: constant drift 0.01°/h, random noise 0.001°/h |
| Accelerometer: constant bias 100 μg, random noise 10 μg |
| Heading Alignment Errors | MAE (°) | Mean (°) | STD (°) | Maximum (°) | Minimum (°) | Max of Absolute Value (°) |
|---|---|---|---|---|---|---|
| m/s | 1.5125 | 0.0468 | 1.8170 | 2.8012 | −4.0657 | 4.0657 |
| m/s | 2.0287 | 0.3347 | 2.4259 | 3.0202 | −5.5640 | 5.5640 |
| m/s | 2.3574 | 0.4700 | 2.8069 | 3.2874 | −6.3852 | 6.3852 |
| Parameters | Specifications |
|---|---|
| IMU | Gyroscope: constant drift less 0.01°/h, random noise less 0.001°/h |
| Accelerometer: constant bias less 100 μg, random noise less 10 μg | |
| Differential GPS | Velocity: 0.05 m/s (RMS) |
| Position: 0.1 m (RMS) |
| The Differences of Absolute Value of Alignment Errors | Mean (°) | Variance (°) | Maximum (°) | Minimum (°) | Number of Degradation (>0) |
|---|---|---|---|---|---|
| −0.0009 | 0.0183 | 0.0298 | −0.0894 | 13 | |
| 0.0071 | 0.0099 | 0.0301 | −0.0091 | 19 | |
| 0.5523 | 1.0928 | 5.1148 | −0.6906 | 20 |
| Differences of Absolute Value of Alignment Errors | Mean (°) | STD (°) | Maximum (°) | Minimum (°) | Number of Degradation(>0) |
|---|---|---|---|---|---|
| 0.0001 | 0.0013 | 0.0024 | −0.0033 | 15 | |
| −0.0004 | 0.0037 | 0.0057 | −0.0047 | 12 | |
| −0.1767 | 0.4261 | 0.4431 | −1.7122 | 10 |
| The Heading Alignment Errors | MAE (°) | Mean (°) | STD (°) | Maximum (°) | Minimum (°) | Max of Absolute Value (°) |
|---|---|---|---|---|---|---|
| m/s | 1.3063 | 0.1030 | 1.5675 | 2.8094 | −3.3243 | 3.3243 |
| m/s | 1.3102 | 0.0535 | 1.5715 | 2.6882 | −3.3842 | 3.3842 |
| m/s | 1.3564 | 0.0113 | 1.6258 | 2.6716 | −3.5307 | 3.5307 |
© 2019 by the authors. Licensee MDPI, Basel, Switzerland. This article is an open access article distributed under the terms and conditions of the Creative Commons Attribution (CC BY) license (http://creativecommons.org/licenses/by/4.0/).
Share and Cite
Qiao, H.; Liu, M.; Meng, H.; Wang, M.; Ke, W. Improved Multistage In-Motion Attitude Determination Alignment Method for Strapdown Inertial Navigation System. Sensors 2019, 19, 4568. https://doi.org/10.3390/s19204568
Qiao H, Liu M, Meng H, Wang M, Ke W. Improved Multistage In-Motion Attitude Determination Alignment Method for Strapdown Inertial Navigation System. Sensors. 2019; 19(20):4568. https://doi.org/10.3390/s19204568
Chicago/Turabian StyleQiao, Haiyan, Meng Liu, Hao Meng, Mengjun Wang, and Wei Ke. 2019. "Improved Multistage In-Motion Attitude Determination Alignment Method for Strapdown Inertial Navigation System" Sensors 19, no. 20: 4568. https://doi.org/10.3390/s19204568
APA StyleQiao, H., Liu, M., Meng, H., Wang, M., & Ke, W. (2019). Improved Multistage In-Motion Attitude Determination Alignment Method for Strapdown Inertial Navigation System. Sensors, 19(20), 4568. https://doi.org/10.3390/s19204568
