Machine Learning for LTE Energy Detection Performance Improvement
Abstract
:1. Introduction
2. Spectrum Occupancy Autonomous Detection
3. Machine Learning for Improved Spectrum Sensing
3.1. k-Nearest Neighbors
3.2. Random Forest
4. New Algorithm for Improved LTE-RBs Energy Detection
- the index of a time slot (the smallest LTE-RB dimension in the time domain),
- the index of the LTE basic subcarriers set (the smallest LTE-RB dimension in the frequency domain; in LTE, consisting of 12 OFDM (Orthogonal Frequency Division Multiplexing) subcarriers),
- ED hard decision—values 0 or 1, or, alternatively, the energy value—a real number,
- the number of diagonal (tangential) neighboring LTE-RBs detected as busy or alternatively, the sum of energies of diagonal (tangential) neighboring LTE-RBs,
- the number of adjacent neighboring LTE-RBs detected as busy or alternatively, the sum of energies of adjacent neighboring LTE-RBs.
- history coefficient with forgetting factor
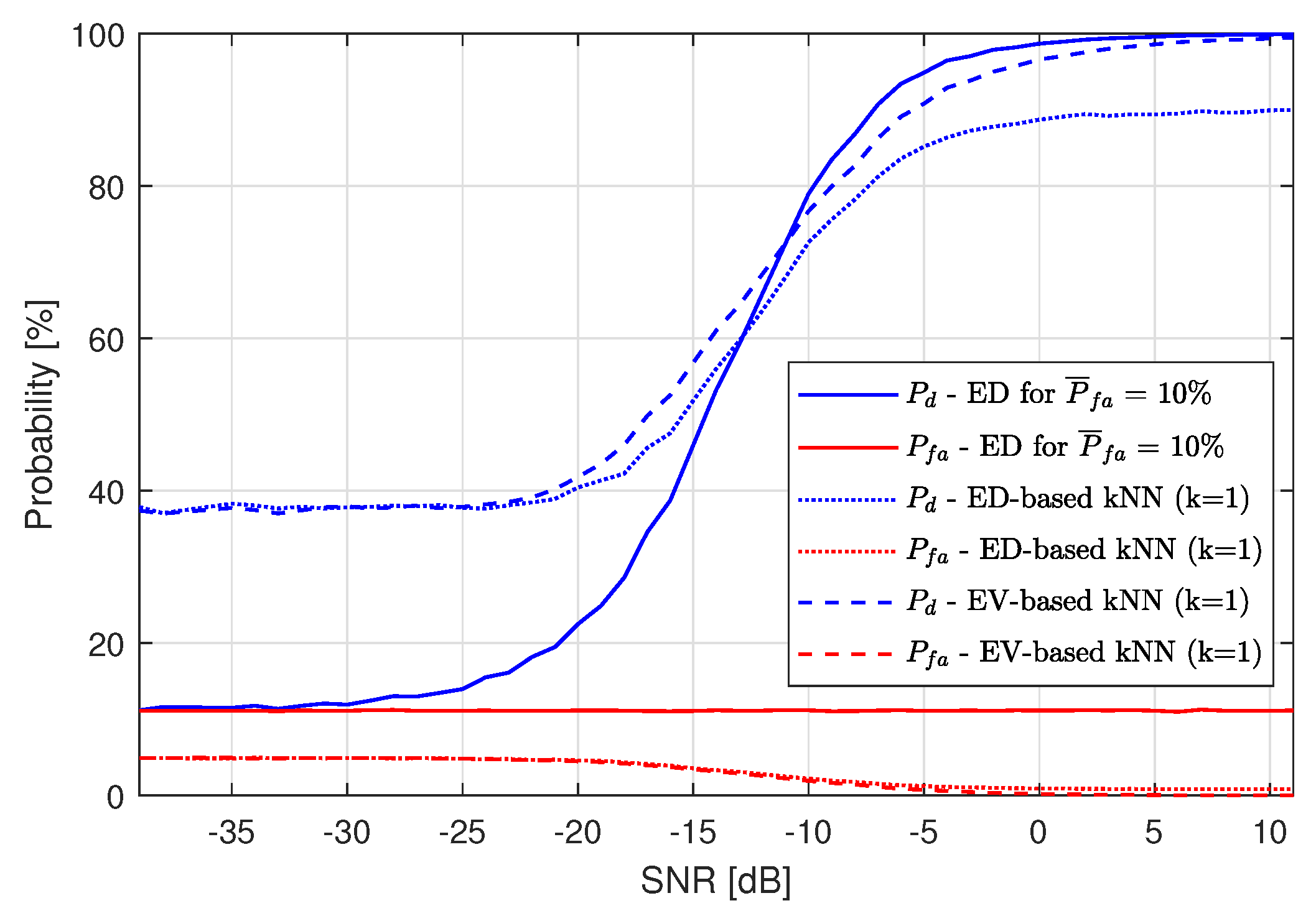
5. Simulation Experiment
5.1. Simulation Setup
5.2. Simulation Results
6. Conclusions
Author Contributions
Funding
Conflicts of Interest
Abbreviations
| CR | Cognitive Radio |
| SU | Secondary User |
| PU | Primary User |
| SS | Spectrum Sensing |
| ML | Machine Learning |
| RB | Resource Block |
| ED | Energy Detection |
| ELM | Extreme Learning Machine |
| SVM | Support Vector Machine |
| NB | Naive Bayes |
| kNN | k-Nearest Neighbors |
| RF | Random Forest |
| EV | Energy Vector |
| DT | Decision Tree |
| AWGN | Additive White Gaussian Noise |
| EPA | Extended Pedestrian A model |
| SNR | Signal-to-Noise Ratio |
| LTE | Long-Term Evolution |
| OFDM | Orthogonal Frequency Division Multiplexing |
References
- The Ericsson Mobility Report. Available online: https://www.ericsson.com/en/mobility-report/reports/june-2019 (accessed on 19 August 2019).
- Yucek, T.; Arslan, H. A survey of spectrum sensing algorithms for cognitive radio applications. IEEE Commun. Surv. Tutorials 2009, 11, 116–130. [Google Scholar] [CrossRef]
- Enserink, S.; Cochran, D. A cyclostationary feature detector. In Proceedings of the 28th Asilomar Conference on Signals, Systems and Computers, Pacific Grove, CA, USA, 31 October–2 November 1994; pp. 806–810. [Google Scholar] [CrossRef]
- Kapoor, S.; Rao, S.; Singh, G. Opportunistic Spectrum Sensing by Employing Matched Filter in Cognitive Radio Network. In Proceedings of the 2011 International Conference on Communication Systems and Network Technologies, Jammu, India, 3–5 June 2011; pp. 580–583. [Google Scholar] [CrossRef]
- Kim, K.; Xin, Y.; Rangarajan, S. Energy Detection Based Spectrum Sensing for Cognitive Radio: An Experimental Study. In Proceedings of the IEEE Global Telecommunications Conference GLOBECOM 2010, Miami, FL, USA, 6–10 December 2010; pp. 1–5. [Google Scholar] [CrossRef]
- Digham, F.F.; Alouini, M.; Simon, M.K. On the Energy Detection of Unknown Signals Over Fading Channels. IEEE Trans. Commun. 2007, 55, 21–24. [Google Scholar] [CrossRef]
- Kostylev, V.I. Energy detection of a signal with random amplitude. In Proceedings of the 2002 IEEE International Conference on Communications, New York, NY, USA, 28 April–2 May 2002; pp. 1606–1610. [Google Scholar] [CrossRef]
- Annamalai, A.; Olabiyi, O.; Alam, S.; Odejide, O.; Vaman, D. Unified analysis of energy detection of unknown signals over generalized fading channels. In Proceedings of the 7th International Wireless Communications and Mobile Computing Conference, Istanbul, Turkey, 4–8 July 2011; pp. 636–641. [Google Scholar] [CrossRef]
- Ribas, A.O.P.; Dias, U.S. On the double threshold energy detection-based spectrum sensing over κ-μ fading channel. In Proceedings of the IEEE Radio and Wireless Symposium (RWS), San Diego, CA, USA, 25–28 January 2015; pp. 82–85. [Google Scholar] [CrossRef]
- Verma, P.; Singh, B. Simulation study of double threshold energy detection method for cognitive radios. In Proceedings of the 2nd International Conference on Signal Processing and Integrated Networks (SPIN), Noida, India, 19–20 February 2015; pp. 232–236. [Google Scholar] [CrossRef]
- Xie, S.; Shen, L. Double-threshold energy detection of spectrum sensing for cognitive radio under noise uncertainty environment. In Proceedings of the 2012 International Conference on Wireless Communications and Signal Processing (WCSP), Huangshan, China, 25–27 October 2012; pp. 1–5. [Google Scholar] [CrossRef]
- Farag, H.M.; Mohamed, E.M. Improved Cognitive Radio energy detection algorithm based upon noise uncertainty estimation. In Proceedings of the 31st National Radio Science Conference (NRSC), Cairo, Egypt, 28–30 April 2014; pp. 107–115. [Google Scholar] [CrossRef]
- Hu, X.; Xie, X.Z.; Song, T.; Lei, W. An algorithm for energy detection based on noise variance estimation under noise uncertainty. In Proceedings of the IEEE 14th International Conference on Communication Technology, Chengdu, China, 9–11 November 2012; pp. 1345–1349. [Google Scholar] [CrossRef]
- Sequeira, S.; Mahajan, R.R.; Spasojević, P. On the noise power estimation in the presence of the signal for energy-based sensing. In Proceedings of the 35th IEEE Sarnoff Symposium, Newark, NJ, USA, 21–22 May 2012; pp. 1–5. [Google Scholar] [CrossRef]
- Mariani, A.; Giorgetti, A.; Chiani, M. Effects of Noise Power Estimation on Energy Detection for Cognitive Radio Applications. IEEE Trans. Commun. 2011, 59, 3410–3420. [Google Scholar] [CrossRef]
- Subekti, A.; Pardede, H.F.; Sustika, R.; Suyoto. Spectrum Sensing for Cognitive Radio using Deep Autoencoder Neural Network and SVM. In Proceedings of the 2018 International Conference on Radar, Antenna, Microwave, Electronics, and Telecommunications (ICRAMET), Serpong, Indonesia, 1–2 November 2018; pp. 81–85. [Google Scholar] [CrossRef]
- Agarwal, A.; Dubey, S.; Khan, M.A.; Gangopadhyay, R.; Debnath, S. Learning based primary user activity prediction in cognitive radio networks for efficient dynamic spectrum access. In Proceedings of the 2016 International Conference on Signal Processing and Communications (SPCOM), Bangalore, India, 12–15 June 2016; pp. 1–5. [Google Scholar] [CrossRef]
- Jan, S.U.; Vu, V.H.; Koo, I.S. Performance Analysis of Support Vector Machine-Based Classifier for Spectrum Sensing in Cognitive Radio Networks. In Proceedings of the 2018 International Conference on Cyber-Enabled Distributed Computing and Knowledge Discovery (CyberC), Zhengzhou, China, 18–20 October 2018; pp. 385–3854. [Google Scholar] [CrossRef]
- Tavares, C.H.A.; Abrão, T. Bayesian estimators for cooperative spectrum sensing in cognitive radio networks. In Proceedings of the 2017 IEEE URUCON, Montevideo, Uruguay, 23–25 October 2017; pp. 1–4. [Google Scholar] [CrossRef]
- Ma, X.; Ning, S.; Liu, X.; Kuang, H.; Hong, Y. Cooperative Spectrum Sensing using Extreme Learning Machine for Cognitive Radio Networks with Multiple Primary Users. In Proceedings of the IEEE 3rd Advanced Information Technology, Electronic and Automation Control Conference (IAEAC), Chongqing, China, 12–14 October 2018; pp. 536–540. [Google Scholar] [CrossRef]
- Mustafa, R.; Jaglan, R.R.; Agrawal, S. Decision-fusion-based reliable CSS scheme in CR networks. IET Commun. 2019, 13, 947–953. [Google Scholar] [CrossRef]
- Mikaeil, A.M.; Guo, B.; Wang, Z. Machine Learning to Data Fusion Approach for Cooperative Spectrum Sensing. In Proceedings of the 2014 International Conference on Cyber-Enabled Distributed Computing and Knowledge Discovery, Shanghai, China, 13–15 October 2014; pp. 429–434. [Google Scholar] [CrossRef]
- Zhang, K.; Li, J.; Gao, F. Machine learning techniques for spectrum sensing when primary user has multiple transmit powers. In Proceedings of the 2014 IEEE International Conference on Communication Systems, Macau, China, 19–21 November 2014; pp. 137–141. [Google Scholar] [CrossRef]
- Awe, O.P.; Naqvi, S.M.; Lambotharan, S. Variational Bayesian learning technique for spectrum sensing in cognitive radio networks. In Proceedings of the 2014 IEEE Global Conference on Signal and Information Processing (GlobalSIP), Atlanta, GA, USA, 3–5 December 2014; pp. 1185–1189. [Google Scholar] [CrossRef]
- Ghazizadeh, E.; Nikpour, B.; Moghadam, D.A.; Nezamabadi-pour, H. A PSO-based weighting method to enhance machine learning techniques for cooperative spectrum sensing in CR networks. In Proceedings of the 1st Conference on Swarm Intelligence and Evolutionary Computation (CSIEC), Bam, Iran, 9–11 March 2016; pp. 113–118. [Google Scholar] [CrossRef]
- Shalev-Shwartz, S.; Ben-David, S. Understanding Machine Learning: From Theory to Algorithms; Cambridge University Press: New York, NY, USA, 2014; pp. 258–259. [Google Scholar]
- Cover, T.; Hart, P. Nearest neighbor pattern classification. IEEE Trans. Inf. Theory 1967, 13, 21–27. [Google Scholar] [CrossRef]
- Müller, A.C.; Guido, S. Introduction to Machine Learning with Python: A Guide for Data Scientists; O’Reilly Media: Sebastopol, CA, USA, 2016; pp. 85–90. [Google Scholar]
- Ho, T.K. The random subspace method for constructing decision forests. IEEE Trans. Pattern Anal. Mach. Intell. 1998, 20, 832–844. [Google Scholar] [CrossRef]
- Song, L.; Shen, J. Evolved Cellular Network Planning and Optimization for UMTS and LTE; CRC Press: Boca Raton, FL, USA, 2010; pp. 56–58. [Google Scholar]
- Pedregosa, F.; Varoquaux, G.; Gramfort, A.; Michel, V.; Thirion, B.; Grisel, O.; Blondel, M.; Prettenhofer, P.; Weiss, R.; Dubourg, V.; et al. Scikit-learn: Machine Learning in Python. J. Mach. Learn. Res. 2011, 12, 2825–2830. [Google Scholar]
- Wasilewska, M. Machine Learning for LTE Energy Detection Performance Improvement (Version 1). Data Set 2019. [Google Scholar] [CrossRef]



















| Energy Detection | Energy Vectors |
|---|---|
| Advantages | |
| Can be used adaptively—for low SNR Machine Learning is also used, for high SNR just Energy Detection results are sufficient. | Can be used for every SNR value—results are always better or close to Energy Detection results. |
| Requires much less memory. | Does not require knowledge on noise or noise estimation. |
| Disadvantages | |
| Chosen Energy Detection threshold has a big impact on detection probability. | High computational complexity—Machine Learning used in all transmission conditions. |
| Knowledge on noise is needed. | Memorization of real numbers required. |
© 2019 by the authors. Licensee MDPI, Basel, Switzerland. This article is an open access article distributed under the terms and conditions of the Creative Commons Attribution (CC BY) license (http://creativecommons.org/licenses/by/4.0/).
Share and Cite
Wasilewska, M.; Bogucka, H. Machine Learning for LTE Energy Detection Performance Improvement. Sensors 2019, 19, 4348. https://doi.org/10.3390/s19194348
Wasilewska M, Bogucka H. Machine Learning for LTE Energy Detection Performance Improvement. Sensors. 2019; 19(19):4348. https://doi.org/10.3390/s19194348
Chicago/Turabian StyleWasilewska, Małgorzata, and Hanna Bogucka. 2019. "Machine Learning for LTE Energy Detection Performance Improvement" Sensors 19, no. 19: 4348. https://doi.org/10.3390/s19194348
APA StyleWasilewska, M., & Bogucka, H. (2019). Machine Learning for LTE Energy Detection Performance Improvement. Sensors, 19(19), 4348. https://doi.org/10.3390/s19194348

