Environment Monitoring for Anomaly Detection System Using Smartphones †
Abstract
:1. Introduction
2. System Architecture
- The Anomaly Detector aims at initially detecting anomalies with a lightweight algorithm, i.e., an algorithm that consumes very few device resources. A resident program is installed on the phone to read the data from the accelerometer and the GPS sensor. These data are passed to the anomaly detection component under a certain condition, for example when the smartphone reaches a speed greater than a certain value for the case of the monitoring and traffic conditions. Then, the program receives a list of anomalies to send to the server when connected.
- The Fault Exclusion component is intended to eliminate false anomalies caused by user’s actions. This component can be viewed as a detached part of the Anomaly Detector. The separation between the two components (Anomaly Detector and Fault Exclusion) is intended to distribute processing between the client and the server to optimize resource consumption of the smartphones.
- The Anomaly Classification component classifies anomalies, which also allows for the elimination of less reliable anomalies.
- The Anomaly Identifier component aggregates anomaly reports from multiple smartphones to locate anomalies and compute a confidence weight associated with each location.
3. Anomaly Detection Algorithm
3.1. Related Works
- Four algorithms proposed by Artis Mednis et al. [9]:
- -
- Z-THRESH: If the amplitude of the value on the z-t axis of acceleration data is greater than a specified threshold, a road anomaly is detected.
- -
- With Z-DIFF, events are detected when the difference between two consecutive values is greater than a specific threshold.
- -
- STDEV(Z) is based on the standard deviation in a sliding window. When the standard deviation is greater than a specific threshold, an event is detected.
- -
- With G-ZERO, an event is detected when the values of all three axes are less than a specific threshold.
- The algorithm proposed by Vittorio et al. [8] uses the vertical acceleration provided by both the accelerometer and GPS sensor only. For simplicity, we refer to this algorithm as DVA-THRESH in the rest of this paper. Since the GPS data frequency was 1 Hz and one of the accelerometers was at least 5 Hz, the authors preprocessed the accelerometer data in groups of one second by computing , , and . The detection was based on the difference in vertical acceleration impulse defined by .The road anomaly filter is given by the following operation:where is a reference set of values that was determined by previous experiments.
3.2. Improvement of Anomaly Detection Algorithms
Application of the Grubbs’ Test to Threshold-Based Anomaly Detection Algorithms
- : There is no outlier in the dataset.
- : There is exactly one outlier in the dataset
3.3. Experiment
3.3.1. Collection and Adjustment of Data
- <time, 3-axis acceleration>
- <time, location, speed>
3.3.2. Experiment Process and Results
4. Anomaly Identifier
4.1. Simple Clustering
| Algorithm 1 Update clusters. |
| INPUT: {current cluster list}, p {new data point} |
| OUTPUT:C {new cluster list} |
| C* ← ∅ {C* is to contain all current clusters that p belongs to} |
| for do |
| if then |
| end if |
| end for |
| {Next, take the union of all clusters in C* and add p to get the new cluster} |
| C ← C/C* |
4.2. Mean Shift-Based Algorithm to Find Anomaly Positions
| Algorithm 2 Anomaly identification. |
| INPUT: |
| {list of data points} |
| {list of standard deviations corresponding to points} |
| {bandwidth parameter} |
| , {error parameters} |
| OUTPUT:Q, w {list of modes and list of weights} |
| Q ← ∅ |
| for do |
| repeat |
| until |
| {nearestPoint(Q,p) returns a point in Q that is closest to p} |
| if and then |
| else |
| end if |
| end for |
- (1)
- the distance between any two modes is greater than or equal to ;
- (2)
- if a potential point is removed, there must be at least one other convergence point selected as the mode so that the distance between them is smaller than .
4.3. Simulation and Results
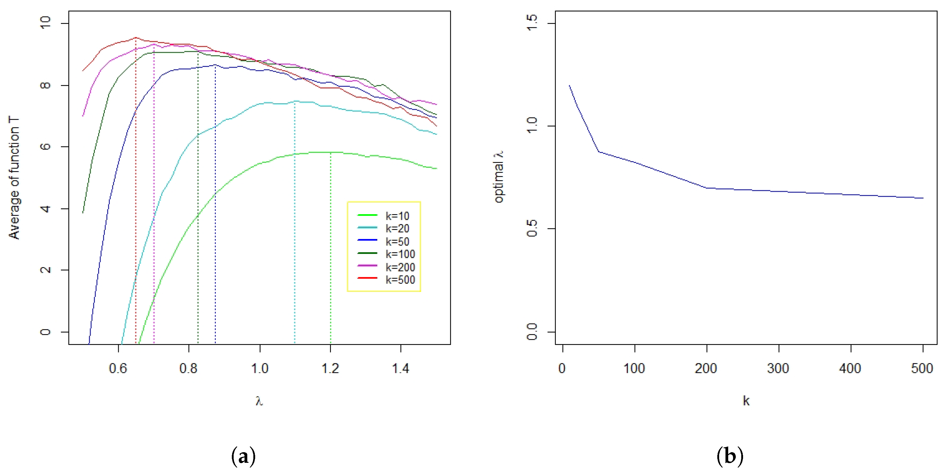
- In general, the larger the number of data, the better the results. With , the result of the program was very good, i.e., close to 10 (as data were generated with 10 maxima to find).
- The larger the dataset, the smaller the required value for the algorithm to achieve the optimal result (see Figure 6b).
- More experiments on real data were needed to estimate good values as a function of the total number of data points n. According to past experiments, should be chosen in the range from 0.7–0.9. Since this value is quite small, the program usually results in identifying more anomalies than there are effectively, especially when the size of the dataset is small. However, the program tends to eliminate weighted points below a given threshold. This not only eliminates cases where there are few reported data, but it also allows the removal of small maxima points, often located far from real anomalies.
5. Conclusions and Future Work
Author Contributions
Funding
Conflicts of Interest
Abbreviations
| SVM | Support Vector Machines |
| FFT | Fast Fourier Transformation |
| ROC | Receiver Operating Characteristic curve |
| TP | True Positive |
| FP | False Positive |
| TN | True Negative |
| FN | False Negative |
References
- Arora, S.; Venkataraman, V.; Zhan, A.; Donohue, S.; Biglan, K.M.; Dorsey, E.R.; Little, M.A. Detecting and monitoring the symptoms of Parkinson’s disease using smartphones: A pilot study. Park. Relat. Disord. 2015, 21, 650–653. [Google Scholar] [CrossRef] [PubMed]
- Habib, M.; Mohktar, M.; Kamaruzzaman, S.; Lim, K.; Pin, T.; Ibrahim, F. Smartphone-based solutions for fall detection and prevention: Challenges and open issues. Sensors 2014, 14, 7181–7208. [Google Scholar] [CrossRef]
- Kanhere, S.S. Participatory sensing: Crowdsourcing data from mobile smartphones in urban spaces. In Proceedings of the 2011 IEEE 12th International Conference on Mobile Data Management, Lulea, Sweden, 6–9 June 2011; Volume 2, pp. 3–6. [Google Scholar]
- Van Khang, N.; Renault, É. Cooperative Sensing and Analysis for a Smart Pothole Detection. In Proceedings of the 2019 15th International Wireless Communications & Mobile Computing Conference (IWCMC), Tangier, Morocco, 24–28 June 2019; pp. 1785–1790. [Google Scholar]
- Nguyen, V.K.; Renault, É.; Ha, V.H. Road Anomaly Detection Using Smartphone: A Brief Analysis. In Proceedings of the International Conference on Mobile, Secure, and Programmable Networking, Paris, France, 18–20 June 2018; pp. 86–97. [Google Scholar]
- Eriksson, J.; Girod, L.; Hull, B.; Newton, R.; Madden, S.; Balakrishnan, H. The pothole patrol: Using a mobile sensor network for road surface monitoring. In Proceedings of the 6th International Conference on Mobile Systems, Applications, and Services, Breckenridge, CO, USA, 17–20 June 2008; pp. 29–39. [Google Scholar]
- Mohan, P.; Padmanabhan, V.N.; Ramjee, R. Nericell: Rich monitoring of road and traffic conditions using mobile smartphones. In Proceedings of the 6th ACM conference on Embedded Network Sensor Systems, Raleigh, NC, USA, 5–7 November 2008; pp. 323–336. [Google Scholar]
- Vittorio, A.; Rosolino, V.; Teresa, I.; Vittoria, C.M.; Vincenzo, P.G. Automated sensing system for monitoring of road surface quality by mobile devices. Procedia Soc. Behav. Sci. 2014, 111, 242–251. [Google Scholar] [CrossRef]
- Mednis, A.; Strazdins, G.; Zviedris, R.; Kanonirs, G.; Selavo, L. Real time pothole detection using android smartphones with accelerometers. In Proceedings of the 2011 International Conference on Distributed Computing in Sensor Systems and Workshops (DCOSS), Barcelona, Spain, 27–29 June 2011; pp. 1–6. [Google Scholar]
- Perttunen, M.; Mazhelis, O.; Cong, F.; Kauppila, M.; Leppänen, T.; Kantola, J.; Collin, J.; Pirttikangas, S.; Haverinen, J.; Ristaniemi, T.; et al. Distributed road surface condition monitoring using mobile phones. In Proceedings of the International Conference on Ubiquitous Intelligence and Computing, Banff, AB, Canada, 2–4 September 2011; pp. 64–78. [Google Scholar]
- Seraj, F.; van der Zwaag, B.J.; Dilo, A.; Luarasi, T.; Havinga, P. RoADS: A road pavement monitoring system for anomaly detection using smart phones. In Big Data Analytics in the Social and Ubiquitous Context; Springer: Cham, Switzerland, 2014; pp. 128–146. [Google Scholar]
- Bhoraskar, R.; Vankadhara, N.; Raman, B.; Kulkarni, P. Wolverine: Traffic and road condition estimation using smartphone sensors. In Proceedings of the 2012 Fourth International Conference on Communication Systems and Networks (COMSNETS), Bangalore, India, 3–7 January 2012; pp. 1–6. [Google Scholar]
- Grubbs, F.E. Procedures for detecting outlying observations in samples. Technometrics 1969, 11, 1–21. [Google Scholar] [CrossRef]
- Garcia, F. Tests to Identify Outliers in Data Series, Pontifical Catholic University of Rio de Janeiro; Industrial Engineering Department: Rio de Janeiro, Brazil, 2012. [Google Scholar]
- Powers, D.M. Evaluation: From Precision, Recall and F-Measure to ROC, Informedness, Markedness and Correlation. 2011. Available online: http://www.diva-portal.org/smash/record.jsf?pid=diva2%3A635335&dswid=-1937 (accessed on 15 August 2011).
- Goutte, C.; Gaussier, E. A probabilistic interpretation of precision, recall and F-score, with implication for evaluation. In Proceedings of the European Conference on Information Retrieval, Santiago de Compostela, Spain, 21–23 March 2005; Springer: Berlin/Heidelberg, Germany, 2005; pp. 345–359. [Google Scholar]
- Mubashir, M.; Shao, L.; Seed, L. A survey on fall detection: Principles and approaches. Neurocomputing 2013, 100, 144–152. [Google Scholar] [CrossRef]
- Li, Z.; Filev, D.P.; Kolmanovsky, I.; Atkins, E.; Lu, J. A new clustering algorithm for processing GPS-based road anomaly reports with a mahalanobis distance. IEEE Trans. Intell. Transp. Syst. 2017, 18, 1980–1988. [Google Scholar] [CrossRef]
- Mahalanobis, P.C. On the Generalized Distance in Statistics; National Institute of Science of India: Bangalore, India, 1936. [Google Scholar]
- Tiberius, C.; Borre, K. Are GPS data normally distributed. In Geodesy Beyond 2000; Springer: Berlin/Heidelberg, Germany, 2000; pp. 243–248. [Google Scholar]
- Johansson, M. Estimering av GPS Pålitlighet och GPS/INS Fusion. 2013. Available online: http://www.bioinfo.in/journalcontent.php?vol_id=115&id=51&month=12&year=2011 (accessed on 20 June 2019).
- Drane, C.; Macnaughtan, M.; Scott, C. Positioning GSM telephones. IEEE Commun. Mag. 1998, 36, 46–54. [Google Scholar] [CrossRef]
- Langley, R.B. Dilution of precision. GPS World 1999, 10, 52–59. [Google Scholar]
- Comaniciu, D. An algorithm for data-driven bandwidth selection. IEEE Trans. Pattern Anal. Mach. Intell. 2003, 25, 281–288. [Google Scholar] [CrossRef]
- Carreira-Perpinan, M.A. Gaussian mean-shift is an EM algorithm. IEEE Trans. Pattern Anal. Mach. Intell. 2007, 29, 767–776. [Google Scholar] [CrossRef] [PubMed]
- Ramesh, D.C.V.; Meer, P. The variable bandwidth mean shift and data-driven scale selection. In Proceedings of the Eigth International Conference on Computer Vision, Vancouver, BC, Canada, 7–14 July 2001; pp. 438–445. [Google Scholar]
- Carreira-Perpinán, M.A. A review of mean-shift algorithms for clustering. arXiv 2015, arXiv:1503.00687. [Google Scholar]
- Ozertem, U.; Erdogmus, D.; Jenssen, R. Mean shift spectral clustering. Pattern Recognit. 2008, 41, 1924–1938. [Google Scholar] [CrossRef]






| Algorithm | Value | Anomaly Condition |
|---|---|---|
| Z-THRESH | or | |
| Z-DIFF | ||
| STDDEV(Z) | ||
| G-ZERO | ||
| DVA-THRESH |
© 2019 by the authors. Licensee MDPI, Basel, Switzerland. This article is an open access article distributed under the terms and conditions of the Creative Commons Attribution (CC BY) license (http://creativecommons.org/licenses/by/4.0/).
Share and Cite
Nguyen, V.K.; Renault, É.; Milocco, R. Environment Monitoring for Anomaly Detection System Using Smartphones. Sensors 2019, 19, 3834. https://doi.org/10.3390/s19183834
Nguyen VK, Renault É, Milocco R. Environment Monitoring for Anomaly Detection System Using Smartphones. Sensors. 2019; 19(18):3834. https://doi.org/10.3390/s19183834
Chicago/Turabian StyleNguyen, Van Khang, Éric Renault, and Ruben Milocco. 2019. "Environment Monitoring for Anomaly Detection System Using Smartphones" Sensors 19, no. 18: 3834. https://doi.org/10.3390/s19183834
APA StyleNguyen, V. K., Renault, É., & Milocco, R. (2019). Environment Monitoring for Anomaly Detection System Using Smartphones. Sensors, 19(18), 3834. https://doi.org/10.3390/s19183834
