Development of a Novel Piezoelectric Harvester Excited by Raindrops
Abstract
1. Introduction
2. Theoretical Background
2.1. Impact Mechanics
2.2. Raindrop Harvester Vibrations
3. Development and Testing of the Prototype
- Filled spoon or dry spoon.
- Dry spoon with rigid masses corresponding to water mass.
- Open-circuit and on-load circuit with resistive load.
4. Experimental Results
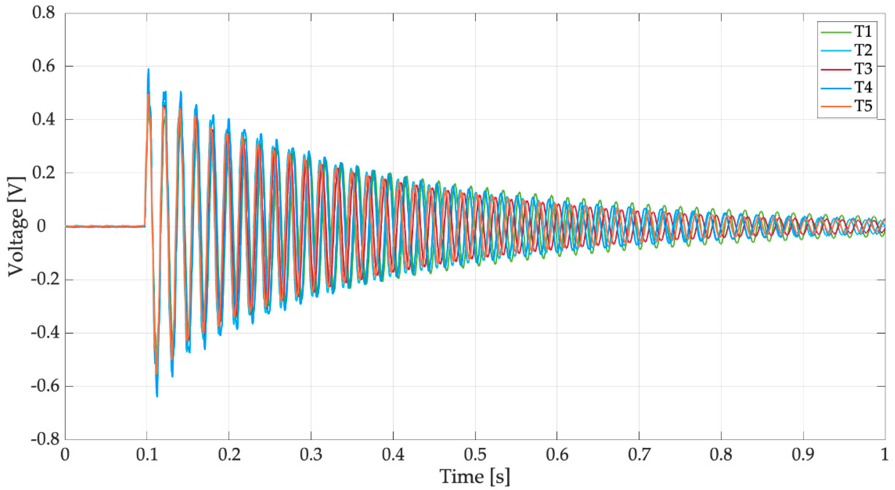
4.1. Open-Circuit Voltage
4.2. On-Load Voltage
5. Conclusions
Author Contributions
Funding
Conflicts of Interest
Appendix A
| Material | Elastic Modulus E [GPa] | Poisson’s Ratio ν | Density |
|---|---|---|---|
| Polyester | 3.65 | 0.48 | 1380 |
| Copper | 110 | 0.34 | 1300 |
| Steel AISI 304 | 193 | 0.29 | 8000 |
| Polyimide | 4.1 | 0.34 | 1410 |
| Property | Symbol | Value | Unit |
|---|---|---|---|
| Relative permittivity | 3800 | ||
| Piezoelectric constant | [C/N] | ||
| Piezoelectric constant | [C/N] | ||
| Young’s modulus | [Pa] | ||
| Young’s modulus | [Pa] | ||
| Density |
| Geometric Property | Symbol | Value [mm] |
|---|---|---|
| Cantilever Length | L | 42.9 |
| Cantilever width | b | 23.3 |
| Cantilever thickness | h | 0.41 |
| PZT 5H thickness | hPZT | 0.15 |
| Steel thickness | hSt | 0.15 |
| Copper thickness | hCu | 0.03 |
| Polyimide thickness | hPm | 0.03 |
| Polyester thickness | hPs | 0.05 |
| Lateral edge | Le | 1.25 |
| Tip edge | Te | 1.80 |
References
- Guigon, R.; Chaillout, J.-J.; Jäger, T.; Despesse, G. Harvesting raindrop energy: Theory. Smart Mater. Struct. 2008, 17, 15038. [Google Scholar] [CrossRef]
- Guigon, R.; Chaillout, J.-J.; Jäger, T.; Despesse, G. Harvesting raindrop energy: Experimental study. Smart Mater. Struct. 2008, 17, 15039. [Google Scholar] [CrossRef]
- Wong, C.H.; Dahari, Z.; Manaf, A.; Miskam, M.A. Harvesting raindrop energy with piezoelectrics: A review. J. Electron. Mater. 2015, 44, 13–21. [Google Scholar] [CrossRef]
- Rincon-Mora, G.A.; Yang, S. Tiny Piezoelectric Harvesters: Principles, Constraints, and Power Conversion. IEEE Trans. Circuits Syst. I Regul. Pap. 2016, 63, 1–11. [Google Scholar] [CrossRef]
- Chua, K.G.; Hor, Y.F.; Lim, H.C. Raindrop kinetic energy piezoelectric harvesters and relevant interface circuits: Review, issues and outlooks. Sens. Transducers 2016, 100, 1–15. [Google Scholar]
- Wong, V.-K.; Ho, J.-H.; Chai, A.-B. Performance of a piezoelectric energy harvester in actual rain. Energy 2017, 124, 364–371. [Google Scholar] [CrossRef]
- Viola, F. Comparison among different rainfall energy harvesting structures. Appl. Sci. 2018, 8, 955. [Google Scholar] [CrossRef]
- Wong, C.H.; Dahari, Z.; Jumali, M.H.; Mohamed, K.; Mohamed, J.J. Simulation and Fabrication of Wagon-Wheel-Shaped Piezoelectric Transducer for Raindrop Energy Harvesting Application. J. Electron. Mater. 2017, 46, 1587–1597. [Google Scholar] [CrossRef]
- Wong, C.H.; Dahari, Z. Development of vibration-based piezoelectric raindrop energy harvesting system. J. Electron. Mater. 2017, 46, 1869–1882. [Google Scholar] [CrossRef]
- Vatansever, D.; Hadimani, R.; Shah, T.; Siores, E. An investigation of energy harvesting from renewable sources with PVDF and PZT. Smart Mater. Struct. 2011, 20, 55019. [Google Scholar] [CrossRef]
- Abidin, N.A.K.Z.; Nayan, N.M.; Azizan, M.M.; Ali, A. Analysis of voltage multiplier circuit simulation for rain energy harvesting using circular piezoelectric. Mech. Syst. Signal. Process. 2018, 101, 211–218. [Google Scholar] [CrossRef]
- Acciari, G.; Caruso, M.; Fricano, M.; Imburgia, A.; Miceli, R.; Romano, P.; Schettino, G.; Viola, F. Experimental investigation on different rainfall energy harvesting structures. In Proceedings of the 2018 Thirteenth International Conference on Ecological Vehicles and Renewable Energies (EVER), Monte-Carlo, Monaco, 10–12 April 2018; IEEE: Piscataway, NJ, USA, 2018. [Google Scholar]
- Acciari, G.; Caruso, M.; Miceli, R.; Riggi, L.; Romano, P.; Schettino, G.; Viola, F. Piezoelectric Rainfall Energy Harvester Performance by an Advanced Arduino-Based Measuring System. IEEE Trans. Ind. Appl. 2018, 54, 458–468. [Google Scholar] [CrossRef]
- Wong, V.-K.; Ho, J.-H.; Yap, E.H.; Chai, A.B. Dynamics of a piezoelectric energy harvester in a simulated rain environment. Proc. Inst. Mech. Eng. Part C J. Mech. Eng. Sci. 2018, 232, 2642–2654. [Google Scholar] [CrossRef]
- Mundo, C.; Tropea, C.; Sommerfeld, M. Numerical and experimental investigation of spray characteristics in the vicinity of a rigid Wall. Exp. Therm. Fluid Sci. 1997, 15, 228–237. [Google Scholar] [CrossRef]
- Wong, V.-K.; Ho, J.-H.; Sam, H.-K. On accumulation of water droplets in piezoelectric energy harvesting. J. Intell. Mater. Syst. Struct. 2017, 28, 521–530. [Google Scholar] [CrossRef]
- Wong, V.-K.; Ho, J.-H.; Yap, E.H. Dynamics of a piezoelectric beam subjected to water droplet impact with water layer formed on the surface. J. Intell. Mater. Syst. Struct. 2015, 26, 2170–2180. [Google Scholar] [CrossRef]
- Ibrahim, R.A. Liquid Sloshing Dynamics—Theory and Applications; Cambridge University Press: Cambridge, UK, 2005. [Google Scholar]
- Priya, S.; Inman, D.J. Energy Harvesting Technologies; Springer: New York, NY, USA, 2009. [Google Scholar]
- Inman, D.J. Engineering Vibration, 4th ed.; Prentice Hall: Upper Saddle River, NJ, USA, 2013. [Google Scholar]
- Brach, R.M. Mechanical Impact Dynamics; John Wiley & Sons: New York, NY, USA, 1991. [Google Scholar]
- Perera, K.C.R.; Sampath, B.G.; Dassanayake, V.P.C.; Hapuwatte, B.M. Harvesting of kinetic energy of the raindrops. Int. J. Energy Power Eng. 2014, 8, 325–330. [Google Scholar]
- Rein, M. Phenomena of liquid drop impact on solid and liquid surfaces. Fluid Dyn. Res. 1993, 12, 61–93. [Google Scholar] [CrossRef]
- Yarin, A. DROP IMPACT DYNAMICS: Splashing, Spreading, Receding, Bouncing…. Annu. Rev. Fluid Mech. 2006, 38, 159–192. [Google Scholar] [CrossRef]
- Wildeman, S.; Visser, C.W.; Sun, C.; Lohse, D. On the spreading of impacting drops. J. Fluid Mech. 2016, 805, 636–655. [Google Scholar] [CrossRef]
- Rioboo, R.; Marengo, M.; Tropea, C. Time evolution of liquid drop impact onto solid, dry surfaces. Exp. Fluids 2002, 33, 112–124. [Google Scholar] [CrossRef]
- Ilyas, M.A.; Swingler, J. Piezoelectric energy harvesting from raindrop impacts. Energy 2015, 90, 796–806. [Google Scholar] [CrossRef]
- Berberović, E.; Van Hinsberg, N.P.; Jakirlić, S.; Roisman, I.V.; Tropea, C. Drop impact onto a liquid layer of finite thickness: Dynamics of the cavity evolution. Phys. Rev. 2009, 79. [Google Scholar] [CrossRef] [PubMed]
- Pumphrey, H.C.; Elmore, P.A. The entrainment of bubbles by drop impacts. J. Fluid Mech. 1990, 220, 539. [Google Scholar] [CrossRef]
- Fedorchenko, A.I.; Wang, A.-B. On some common features of drop impact on liquid surfaces. Phys. Fluids 2004, 16, 1349. [Google Scholar] [CrossRef]
- Viola, F.; Romano, P.; Miceli, R.; Acciari, G.; Spataro, C. Piezoelectric model of rainfall energy harvester. In Proceedings of the 2014 Ninth International Conference on Ecological Vehicles and Renewable Energies (EVER), Monte-Carlo, Monaco, 25–27 March 2014; IEEE: Piscataway, NJ, USA, 2014; pp. 1–7. [Google Scholar]
- Spataro, C.; Viola, F.; Romano, P.; Miceli, R. Performances of rainfall energy harvester. In Proceedings of the 20th IMEKO TC4 International Symposium and 18th International Workshop on ADC Modelling and Testing Research on Electric and Electronic Measurement for the Economic Upturn, Benevento, Italy, 15–17 September 2014. [Google Scholar]
- Doria, A.; Medè, C.; Fanti, G.; Desideri, D.; Maschio, A.; Moro, F. Development of Piezoelectric Harvesters with Integrated Trimming Devices. Appl. Sci. 2018, 8, 557. [Google Scholar] [CrossRef]
- Erturk, A.; Inman, D.J. A Distributed Parameter Electromechanical Model for Cantilevered Piezoelectric Energy Harvesters. J. Vib. Acoust. 2008, 130, 041002. [Google Scholar] [CrossRef]
- Erturk, A.; Inman, D.J. An experimentally validated bimorph cantilever model for piezoelectric energy harvesting from base excitations. Smart Mater. Struct. 2009, 18, 25009. [Google Scholar] [CrossRef]
- Doria, A.; Medè, C.; Desideri, D.; Maschio, A.; Codecasa, L.; Moro, F. On the performance of piezoelectric harvesters loaded by finite width impulses. Mech. Syst. Signal. Process. 2018, 100, 28–42. [Google Scholar] [CrossRef]
- Erturk, A.; Inman, D. On Mechanical Modeling of Cantilevered Piezoelectric Vibration Energy Harvesters. J. Intell. Mater. Syst. Struct. 2008, 19, 1311–1325. [Google Scholar] [CrossRef]
- Doria, A.; Medè, C.; Fanti, G.; Desideri, D.; Maschio, A.; Moro, F. Tuning of a Piezoelectric Harvester by Means of a Cantilever Spring-Mass System. In Proceedings of the ASME 2018 International Design Engineering Technical Conferences and Computers and Information in Engineering Conference, Québec, QC, Canada, 26–29 August 2018. [Google Scholar]
- Dicken, J.; Mitcheson, P.D.; Stoianov, I.; Yeatman, E.M. Power-Extraction Circuits for Piezoelectric Energy Harvesters in Miniature and Low-Power Applications. IEEE Trans. Power Electron. 2012, 27, 4514–4529. [Google Scholar] [CrossRef]


















| Test Case | Mean Peak-to-Peak Voltage | Standard Deviation |
|---|---|---|
| Harvester with full spoon | 3.22 V | 0.68 V |
| Harvester with dry spoon plus 3.0 g added mass | 0.65 V | 0.15 V |
| Harvester with dry spoon plus 6.3 g added mass | 0.41 V | 0.18 V |
© 2019 by the authors. Licensee MDPI, Basel, Switzerland. This article is an open access article distributed under the terms and conditions of the Creative Commons Attribution (CC BY) license (http://creativecommons.org/licenses/by/4.0/).
Share and Cite
Doria, A.; Fanti, G.; Filipi, G.; Moro, F. Development of a Novel Piezoelectric Harvester Excited by Raindrops. Sensors 2019, 19, 3653. https://doi.org/10.3390/s19173653
Doria A, Fanti G, Filipi G, Moro F. Development of a Novel Piezoelectric Harvester Excited by Raindrops. Sensors. 2019; 19(17):3653. https://doi.org/10.3390/s19173653
Chicago/Turabian StyleDoria, Alberto, Giulio Fanti, Gino Filipi, and Federico Moro. 2019. "Development of a Novel Piezoelectric Harvester Excited by Raindrops" Sensors 19, no. 17: 3653. https://doi.org/10.3390/s19173653
APA StyleDoria, A., Fanti, G., Filipi, G., & Moro, F. (2019). Development of a Novel Piezoelectric Harvester Excited by Raindrops. Sensors, 19(17), 3653. https://doi.org/10.3390/s19173653

