Toward the Required Detection Limits for Volatile Organic Constituents in Marine Environments with Infrared Evanescent Field Chemical Sensors
Abstract
1. Introduction
2. Experimental
2.1. Materials and Reagents
2.2. Polymer Coating
2.3. Sample Preparation
2.4. Instrumentation and Data Processing
3. Results and Discussion
3.1. Analysis of Pollutants in Seawater
3.2. Enrichment Process
3.3. Regeneration
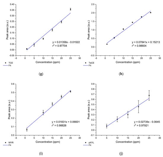
3.4. Sensor Calibration
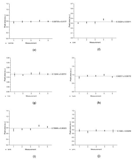
3.5. Reproducibility
4. Conclusions
Author Contributions
Funding
Acknowledgments
Conflicts of Interest
References
- Tornero, V.; Hanke, G. Chemical contaminants entering the marine environment from sea-based sources: A review with a focus on European seas. Mar. Pollut. Bull. 2016, 112, 17–38. [Google Scholar] [CrossRef] [PubMed]
 - Spietelun, A.; Marcinkowski, Ł.; Kloskowski, A.; Namieśnik, J. Determination of volatile organic compounds in water samples using membrane-solid phase microextraction (M-SPME) (headspace version). Analyst 2013, 138, 5099. [Google Scholar] [CrossRef] [PubMed]
 - Sacks, R.; Akard, M. High-Speed GC Analysis of VOCs: Tunable Selectivity and Column Selection. Environ. Sci. Technol. 1994, 28, 428A–433A. [Google Scholar] [PubMed]
 - López, S.H.; Gómez, M.J.; Hernando, M.D.; Fernández-Alba, A.R. Automated dynamic headspace followed by a comprehensive two-dimensional gas chromatography full scan time-of-flight mass spectrometry method for screening of volatile organic compounds (VOCs) in water. Anal. Methods 2013, 5, 1165–1177. [Google Scholar] [CrossRef]
 - Williams, P.; Benton, L.; Warmerdam, J.; Sheehans, P. Comparative risk analysis of six volatile organic compounds in California drinking water. Environ. Sci. Technol. 2002, 36, 4721–4728. [Google Scholar] [CrossRef] [PubMed]
 - Kostopoulou, M.N.; Golfinopoulos, S.K.; Nikolaou, A.D.; Xilourgidis, N.K.; Lekkas, T.D. Volatile organic compounds in the surface waters of northern Greece. Chemosphere 2000, 40, 527–532. [Google Scholar] [CrossRef]
 - Wu, T.; Chen, W.; Fertein, E.; Cazier, F.; Dewaele, D.; Gao, X. Development of an open-path incoherent broadband cavity-enhanced spectroscopy based instrument for simultaneous measurement of HONO and NO2 in ambient air. Appl. Phys. B Lasers Opt. 2012, 106, 501–509. [Google Scholar] [CrossRef]
 - Barber, L.B.; Thurman, E.M.; Takahashi, Y.; Noriega, M.C. Comparison of purge and trap GC/MS and purgeable organic chloride analysis for monitoring volatile chlorinated hydrocarbons. Ground Water 1992, 30, 836–842. [Google Scholar] [CrossRef]
 - Campbell, D.P.; Gottfried, D.S.; Cobb-Sullivan, J.M. Groundwater monitoring of VOCs with an interferometric optical waveguide sensor. Proc. SPIE 2004, 5586, 136–143. [Google Scholar]
 - Schmidt, T.C.; Haderlein, S.B.; Pfister, R.; Forster, R. Occurrence and fate modeling of MTBE and BTEX compounds in a Swiss Lake used as drinking water supply. Water Res. 2004, 38, 1520–1529. [Google Scholar] [CrossRef]
 - Martínez, E.; Lacorte, S.; Llobet, I.; Viana, P.; Barceló, D. Multicomponent analysis of volatile organic compounds in water by automated purge and trap coupled to gas chromatography-mass spectrometry. J. Chromatogr. A 2002, 959, 181–190. [Google Scholar] [CrossRef]
 - Al-Mudhaf, H.F.; Alsharifi, F.A.; Abu-Shady, A.S.I. A survey of organic contaminants in household and bottled drinking waters in Kuwait. Sci. Total Environ. 2009, 407, 1658–1668. [Google Scholar] [CrossRef]
 - Campillo, N.; Viñas, P.; López-García, I.; Aguinaga, N.; Hernández-Córdoba, M. Purge-and-trap capillary gas chromatography with atomic emission detection for volatile halogenated organic compounds determination in waters and beverages. J. Chromatogr. A 2004, 1035, 1–8. [Google Scholar] [CrossRef] [PubMed]
 - Kavcar, P.; Odabasi, M.; Kitis, M.; Inal, F.; Sofuoglu, S.C. Occurrence, oral exposure and risk assessment of volatile organic compounds in drinking water for İzmir. Water Res. 2006, 40, 3219–3230. [Google Scholar] [CrossRef]
 - Brown, M.A.; Miller, S.; Emmert, G.L. On-line purge and trap gas chromatography for monitoring of trihalomethanes in drinking water distribution systems. Anal. Chim. Acta 2007, 592, 154–161. [Google Scholar] [CrossRef]
 - Golfinopoulos, S.K.; Lekkas, T.D.; Nikolaou, A.D. Comparison of methods for determination of volatile organic compounds in drinking water. Chemosphere 2001, 45, 275–284. [Google Scholar] [CrossRef]
 - Safarova, V.I.; Sapelnikova, S.V.; Djazhenko, E.V.; Teplova, G.I.; Shajdulina, G.F.; Kudasheva, F.K. Gas chromatography-mass spectrometry with headspace for the analysis of volatile organic compounds in waste water. J. Chromatogr. B Anal. Technol. Biomed. Life Sci. 2004, 800, 325–330. [Google Scholar] [CrossRef]
 - Gomez-Belinchon, J.I.; Grimalt, J.O.; Albaigès, J. Volatile organic compounds in two polluted rivers in Barcelona (Catalonia, Spain). Water Res. 1991, 25, 577–589. [Google Scholar] [CrossRef]
 - Zoeteman, B.C.J.; Harmsen, K.; Linders, J.B.H.J.; Morra, C.F.H.; Slooff, W. Persistent organic pollutants in river water and ground water of the Netherlands. Chemosphere 1980, 9, 231–249. [Google Scholar] [CrossRef]
 - Huybrechts, T.; Thas, O.; Dewulf, J.; Van Langenhove, H. How to estimate moments and quantiles of environmental data sets with non-detected observations? A case study on volatile organic compounds in marine water samples. J. Chromatogr. A 2002, 975, 123–133. [Google Scholar] [CrossRef]
 - Bravo-Linares, C.M.; Mudge, S.M.; Loyola-Sepulveda, R.H. Occurrence of volatile organic compounds (VOCs) in Liverpool Bay, Irish Sea. Mar. Pollut. Bull. 2007, 54, 1742–1753. [Google Scholar] [CrossRef] [PubMed]
 - Emmert, G.L.; Geme, G.; Brown, M.A.; Simone, P.S. A single automated instrument for monitoring total trihalomethane and total haloacetic acid concentrations in near real-time. Anal. Chim. Acta 2009, 656, 1–7. [Google Scholar] [CrossRef]
 - Kameyama, S.; Tanimoto, H.; Inomata, S.; Tsunogai, U.; Ooki, A.; Takeda, S.; Obata, H.; Tsuda, A.; Uematsu, M. High-resolution measurement of multiple volatile organic compounds dissolved in seawater using equilibrator inlet-proton transfer reaction-mass spectrometry (EI-PTR-MS). Mar. Chem. 2010, 122, 59–73. [Google Scholar] [CrossRef]
 - Auer, N.R.; Manzke, B.U.; Schulz-Bull, D.E. Development of a purge and trap continuous flow system for the stable carbon isotope analysis of volatile halogenated organic compounds in water. J. Chromatogr. A 2006, 1131, 24–36. [Google Scholar] [CrossRef] [PubMed]
 - Cavalcante, R.M.; de Andrade, M.V.F.; Marins, R.V.; Oliveira, L.D.M. Development of a headspace-gas chromatography (HS-GC-PID-FID) method for the determination of VOCs in environmental aqueous matrices: Optimization, verification and elimination of matrix effect and VOC distribution on the Fortaleza Coast, Brazil. Microchem. J. 2010, 96, 337–343. [Google Scholar] [CrossRef]
 - Schwarzenbach, R.P.; Bromund, R.H.; Gschwend, P.M.; Zafiriou, O.C. Volatile organic compounds in coastal seawater. Org. Geochem. 1978, 1, 93–107. [Google Scholar] [CrossRef]
 - Martínez, E.; Llobet, I.; Lacorte, S.; Viana, P.; Barceló, D. Patterns and levels of halogenated volatile compounds in Portuguese surface waters. J. Environ. Monit. 2002, 4, 253–257. [Google Scholar] [CrossRef] [PubMed]
 - Mesarchaki, E.; Yassaa, N.; Hein, D.; Lutterbeck, H.E.; Zindler, C.; Williams, J. A novel method for the measurement of VOCs in seawater using needle trap devices and GC-MS. Mar. Chem. 2014, 159, 1–8. [Google Scholar] [CrossRef]
 - Crise, A.; Kaberi, H.; Ruiz, J.; Zatsepin, A.; Arashkevich, E.; Giani, M.; Karageorgis, A.P.; Prieto, L.; Pantazi, M.; Gonzalez-Fernandez, D.; et al. A MSFD complementary approach for the assessment of pressures, knowledge and data gaps in Southern European Seas: The PERSEUS experience. Mar. Pollut. Bull. 2015, 95, 28–39. [Google Scholar] [CrossRef] [PubMed]
 - Freije, A.M. Heavy metal, trace element and petroleum hydrocarbon pollution in the Arabian Gulf: Review. J. Assoc. Arab Univ. Basic Appl. Sci. 2015, 17, 90–100. [Google Scholar] [CrossRef]
 - United States Environmental Protection Agency. Release Detection for Underground Storage Tanks And Piping: Straight Talk On Tanks. EPA’s Publication Distributor: Cincinnati, OH, USA, 2016; ISBN 3016043408. [Google Scholar]
 - Nikolaou, A.D.; Golfinopoulos, S.K.; Kostopoulou, M.N.; Kolokythas, G.A.; Lekkas, T.D. Determination of volatile organic compounds in surface waters and treated wastewater in Greece. Water Res. 2002, 36, 2883–2890. [Google Scholar] [CrossRef]
 - Huybrechts, T.; Dewulf, J.; Van Langenhove, H. Priority volatile organic compounds in surface waters of the southern North Sea. Environ. Pollut. 2005, 133, 255–264. [Google Scholar] [CrossRef] [PubMed]
 - Pecoraino, G.; Scalici, L.; Avellone, G.; Ceraulo, L.; Favara, R.; Candela, E.G.; Provenzano, M.C.; Scaletta, C. Distribution of volatile organic compounds in Sicilian groundwaters analysed by head space-solid phase micro extraction coupled with gas chromatography mass spectrometry (SPME/GC/MS). Water Res. 2008, 42, 3563–3577. [Google Scholar] [CrossRef]
 - Antoniou, C.V.; Koukouraki, E.E.; Diamadopoulos, E. Determination of chlorinated volatile organic compounds in water and municipal wastewater using headspace-solid phase microextraction-gas chromatography. J. Chromatogr. A 2006, 1132, 310–314. [Google Scholar] [CrossRef] [PubMed]
 - Ji, J.; Deng, C.; Shen, W.; Zhang, X. Field analysis of benzene, toluene, ethylbenzene and xylene in water by portable gas chromatography-microflame ionization detector combined with headspace solid-phase microextraction. Talanta 2006, 69, 894–899. [Google Scholar] [CrossRef]
 - Wittkamp, B.L.; Hawthorne, S.B.; Tilotta, D.C. Determination of Aromatic Compounds in Water by Solid Phase Microextraction and Ultraviolet Absorption Spectroscopy. 1. Methodology. Anal. Chem. 1997, 69, 1197–1203. [Google Scholar] [CrossRef]
 - Vogt, F.; Tacke, M.; Jakusch, M.; Mizaikoff, B. A UV spectroscopic method for monitoring aromatic hydrocarbons dissolved in water. Anal. Chim. Acta 2000, 422, 187–198. [Google Scholar] [CrossRef]
 - Wittkamp, B.L.; Tilotta, D.C. Determination of BTEX Compounds in Water by Solid-Phase Microextraction and Raman Spectroscopy. Anal. Chem. 1995, 67, 600–605. [Google Scholar] [CrossRef]
 - Lima, K.M.G.; Raimundo, I.M.; Pimentel, M.F. Simultaneous determination of BTX and total hydrocarbons in water employing near infrared spectroscopy and multivariate calibration. Sens. Actuators B Chem. 2011, 160, 691–697. [Google Scholar] [CrossRef]
 - Carr, J.W.; Harris, J.M. In situ fluorescence detection of polycyclic aromatic hydrocarbons following preconcentration on alkylated silica adsorbents. Anal. Chem. 1988, 60, 698–702. [Google Scholar] [CrossRef]
 - Beyer, T.; Hahn, P.; Hartwig, S.; Konz, W.; Scharring, S.; Katzir, A.; Steiner, H.; Jakusch, M.; Kraft, M.; Mizaikoff, B. Mini spectrometer with silver halide sensor fiber for in situ detection of chlorinated hydrocarbons. Sens. Actuators B Chem. 2003, 90, 319–323. [Google Scholar] [CrossRef]
 - Mizaikoff, B. Mid-IR fiber-optic sensors. Anal. Chem. 2003, 75, 258A–267A. [Google Scholar] [CrossRef]
 - Raichlin, Y.; Katzir, A. Fiber-Optic Evanescent Wave Spectroscopy in. Appl. Spectrosc. 2008, 62, 32A–72A. [Google Scholar] [CrossRef]
 - Steiner, H.; Jakusch, M.; Kraft, M.; Karlowatz, M.; Baumann, T.; Niessner, R.; Konz, W.; Brandenburg, A.; Michel, K.; Boussard-Pledel, C.; et al. In situ sensing of volatile organic compounds in groundwater: First field tests of a mid-infrared fiber-optic sensing system. Appl. Spectrosc. 2003, 57, 607–613. [Google Scholar] [CrossRef]
 - Mizaikoff, B.; Göbel, R.; Krska, R.; Taga, K.; Kellner, R.; Tacke, M.; Katzir, A. Infrared fiber-optical chemical sensors with reactive surface coatings. Sens. Actuators B 1995, 29, 58–63. [Google Scholar] [CrossRef]
 - Walsh, J.E.; MacCraith, B.D.; Meaney, M.; Vos, J.G.; Regan, F.; Lancia, A.; Artjushenko, S. Sensing of chlorinated hydrocarbons and pesticides in water using polymer coated mid-infrared optical fibres. Analyst 1996, 121, 789–792. [Google Scholar] [CrossRef]
 - Charlton, C.; Katzir, A.; Mizaikoff, B. Infrared evanescent field sensing with quantum cascade lasers and planar silver halide waveguides. Anal. Chem. 2005, 77, 4398–4403. [Google Scholar] [CrossRef] [PubMed]
 - Lu, R.; Mizaikoff, B.; Li, W.-W.; Qian, C.; Katzir, A.; Raichlin, Y.; Sheng, G.-P.; Yu, H.-Q. Determination of chlorinated hydrocarbons in water using highly sensitive mid-infrared sensor technology. Sci. Rep. 2013, 3, 2525–2531. [Google Scholar] [CrossRef]
 - Lu, R.; Sheng, G.; Li, W.; Yu, H.; Raichlin, Y.; Katzir, A.; Mizaikoff, B. IR-ATR Chemical Sensors Based on Planar Silver Halide Waveguides Coated with an Ethylene/Propylene Copolymer for Detection of Multiple Organic Contaminants in Water. Angew. Chem. 2013, 125, 2321–2324. [Google Scholar] [CrossRef]
 - Kosower, E.M.; Markovich, G.; Raichlin, Y.; Borz, G.; Katzir, A. Surface-Enhanced Infrared Absorption and Amplified Spectra on Planar Silver Halide Fiber. J. Phys. Chem. B 2004, 108, 12633–12636. [Google Scholar] [CrossRef]
 - Göbel, R.; Krska, R.; Kellner, R.; Katzir, A. Development of protective polymer coatings for silver halide fibers and their application as threshold level sensors for chlorinated hydrocarbons in sea water. Fresenius. J. Anal. Chem. 1994, 348, 780–781. [Google Scholar] [CrossRef]
 - Göbel, R.; Seitz, R.W.; Tomellini, S.A.; Krska, R.; Kellner, R. Infrared attenuated total reflection spectroscopic investigations of the diffusion behaviour of chlorinated hydrocarbons into polymer membranes. Vib. Spectrosc. 1995, 8, 141–149. [Google Scholar] [CrossRef]
 - Göbel, R.; Krska, R.; Kellner, R.; Seitz, R.W.; Tomellini, S.A. Investigation of Different Polymers as Coating Materials for IR/ATR Spectroscopic Trace Analysis of Chlorinated Hydrocarbons in Water. Appl. Spectrosc. 1994, 48, 678–683. [Google Scholar] [CrossRef]
 - Howley, R.; MacCraith, B.D.; O’Dwyer, K.; Kirwan, P.; McLoughlin, P. A study of the factors affecting the diffusion of chlorinated hydrocarbons into polyisobutylene and polyethylene-co-propylene for evanescent wave sensing. Vib. Spectrosc. 2003, 31, 271–278. [Google Scholar] [CrossRef]
 - Göbel, R.; Krska, R.; Neal, S.; Kellner, R. Performance studies of an IR fiber optic sensor for chlorinated hydrocarbons in water. Fresenius J. Anal. Chem. 1994, 350, 514–519. [Google Scholar] [CrossRef]
 - Jakusch, M.; Mizaikoff, B.; Kellner, R.; Katzir, A. Towards a remote IR fiber-optic sensor system for the determination of chlorinated hydrocarbons in water. Sens. Actuators B 1997, 38, 83–87. [Google Scholar] [CrossRef]
 - Murphy, B.; McLoughlin, P. Determination of chlorinated hydrocarbon species in aqueous solution using Teflon coated ATR waveguide/FTIR spectroscopy. Int. J. Environ. Anal. Chem. 2003, 83, 653–662. [Google Scholar] [CrossRef]
 - Flavin, K.; Hughes, H.; Dobbyn, V.; Kirwan, P.; Murphy, K.; Steiner, H.; Mizaikoff, B.; Mcloughlin, P. A comparison of polymeric materials as pre-concentrating media for use with ATR/FTIR sensing. Int. J. Environ. Anal. Chem. 2006, 86, 401–415. [Google Scholar] [CrossRef]
 - Howley, R.; MacCraith, B.D.; O’Dwyer, K.; Masterson, H.; Kirwan, P.; McLoughlin, P. Determination of hydrocarbons using sapphire fibers coated with poly(dimethylsiloxane). Appl. Spectrosc. 2003, 57, 400–406. [Google Scholar] [CrossRef] [PubMed]
 - Kraft, M.; Jakusch, M.; Karlowatz, M.; Katzir, A.; Mizaikoff, B. New frontiers for mid-infrared sensors: Towards deep sea monitoring with a submarine FT-IR sensor system. Appl. Spectrosc. 2003, 57, 591–599. [Google Scholar] [CrossRef]
 - Mizaikoff, B.; Kraft, M.; Jakusch, M. Water monitoring using infrared fiber optic sensors. IEEE Ocean. Eng. Soc. Ocean. Conf. Proc. (Cat. No.98CH36259) 1998, 3, 1401–1404. [Google Scholar]
 - Krska, R.; Taga, K.; Kellner, R. New IR Fiber-Optic Chemical Sensor for In Situ Measurements of Chlorinated Hydrocarbons in Water. Appl. Spectrosc. 1993, 47, 1484–1487. [Google Scholar] [CrossRef]
 - Hahn, P.; Tacke, M.; Jakusch, M.; Mizaikoff, B.; Spector, O.; Katzir, A. Detection of hydrocarbons in water by MIR evanescent-wave spectroscopy with flattened silver halide fibers. Appl. Spectrosc. 2001, 55, 39–43. [Google Scholar] [CrossRef]
 - Lu, R.; Li, W.-W.; Mizaikoff, B.; Katzir, A.; Raichlin, Y.; Sheng, G.-P.; Yu, H.-Q. High-sensitivity infrared attenuated total reflectance sensors for in situ multicomponent detection of volatile organic compounds in water. Nat. Protoc. 2016, 11, 377–386. [Google Scholar] [CrossRef]
 - Kraft, M.; Mizaikoff, B. A Mid-Infrared Sensor for Monitoring of Chlorinated Hydrocarbons in the Marine Environment. Int. J. Environ. Anal. Chem. 2000, 78, 367–383. [Google Scholar] [CrossRef]
 - SCHeMA Project—Integrated in Situ Chemical Mapping probes. Available online: http://www.schema-ocean.eu/ (accessed on 20 August 2019).
 - Wallace, W.E. Infrared Spectra in NIST Chemistry WebBook, NIST Standard Reference Database Number 69; Linstrom, P.J., Mallard, W.G., Eds.; National Institute of Standards and Technology: Gaithersburg, MD, USA, 2018; p. 20899.
 - Mizaikoff, B. Mid-infrared evanescent wave sensors—A novel approach for subsea monitoring. Meas. Sci. Technol. 1999, 10, 1185–1194. [Google Scholar] [CrossRef]
 










| Substance | Peak Area (cm−1) | 
|---|---|
| 13DCB | 1583–1574 | 
| pCYM | 1521–1506 | 
| EB | 1498–1489 | 
| 12DCB | 1437–1431 | 
| 124TCB | 104–1028 | 
| CAR | 1002–981 | 
| TCE | 939–926 | 
| TeCE | 915–899 | 
| MYR | 898–883 | 
| pXYL | 803–793 | 
| VOC | Wavenumber (cm−1) | Linear Fit | LOD (ppm) | LOQ (ppm) | |
|---|---|---|---|---|---|
| 13DCB | 1577 | ||||
| pCYM | 1515 | ||||
| EB | 1495 | ||||
| 12DCB | 1434 | ||||
| 124TCB | 1035 | ||||
| CAR | 989 | ||||
| TCE | 931 | ||||
| TeCE | 910 | ||||
| MYR | 892 | ||||
| pXYL | 795 | 
© 2019 by the authors. Licensee MDPI, Basel, Switzerland. This article is an open access article distributed under the terms and conditions of the Creative Commons Attribution (CC BY) license (http://creativecommons.org/licenses/by/4.0/).
Share and Cite
Dettenrieder, C.; Raichlin, Y.; Katzir, A.; Mizaikoff, B. Toward the Required Detection Limits for Volatile Organic Constituents in Marine Environments with Infrared Evanescent Field Chemical Sensors. Sensors 2019, 19, 3644. https://doi.org/10.3390/s19173644
Dettenrieder C, Raichlin Y, Katzir A, Mizaikoff B. Toward the Required Detection Limits for Volatile Organic Constituents in Marine Environments with Infrared Evanescent Field Chemical Sensors. Sensors. 2019; 19(17):3644. https://doi.org/10.3390/s19173644
Chicago/Turabian StyleDettenrieder, Carina, Yosef Raichlin, Abraham Katzir, and Boris Mizaikoff. 2019. "Toward the Required Detection Limits for Volatile Organic Constituents in Marine Environments with Infrared Evanescent Field Chemical Sensors" Sensors 19, no. 17: 3644. https://doi.org/10.3390/s19173644
APA StyleDettenrieder, C., Raichlin, Y., Katzir, A., & Mizaikoff, B. (2019). Toward the Required Detection Limits for Volatile Organic Constituents in Marine Environments with Infrared Evanescent Field Chemical Sensors. Sensors, 19(17), 3644. https://doi.org/10.3390/s19173644
        