Channel Covariance Matrix Estimation via Dimension Reduction for Hybrid MIMO MmWave Communication Systems
Abstract
1. Introduction
- We show that the mmWave MIMO channel covariance matrix follows a Kronecker product expansion model [18]. Following [18,19,20], we show that this model can be used for reducing the effective dimension of the large-dimensional channel covariance matrices in mmWave MIMO systems. We further show that permutation can reduce the rank of the mmWave channel covariance matrix, which admits an expression of the summation of vector outer products. We thus formulate the channel covariance matrix estimation problem as a low-rank matrix sensing problem.
- Although the aforementioned low-rank matrix sensing problem has a smaller size than the original problem, the complexity can still be high when the numbers of the transmitter/receiver antennas are large. In order to reduce the complexity, we further exploit the structures of the ULA or USPA to reduce the dimensionality of the problem and formulate the problem as a structured low-rank matrix sensing problem. We adapt the recently proposed generalized conditional gradient and alternating minimization (GCG-Alt) algorithm [21], which has low computational complexity, to find the solution. Numerical results with ULA and USPA suggest that our proposed estimator is effective in estimating the mmWave channel covariance matrix.
2. Spatial Channel Model
3. Structured Low-Rank Covariance Matrix Sensing
3.1. Rank Reduction By Permutation
3.2. Dimension Reduction by Exploiting the Toeplitz–Hermitian Structure
3.3. Training
3.4. Low-Rank Matrix Sensing Problem
| Algorithm 1 The GCG-Alt Algorithm for Estimating of Equation (28) |
3.5. Computational Complexity
3.6. Extension to the USPA System
4. Simulations
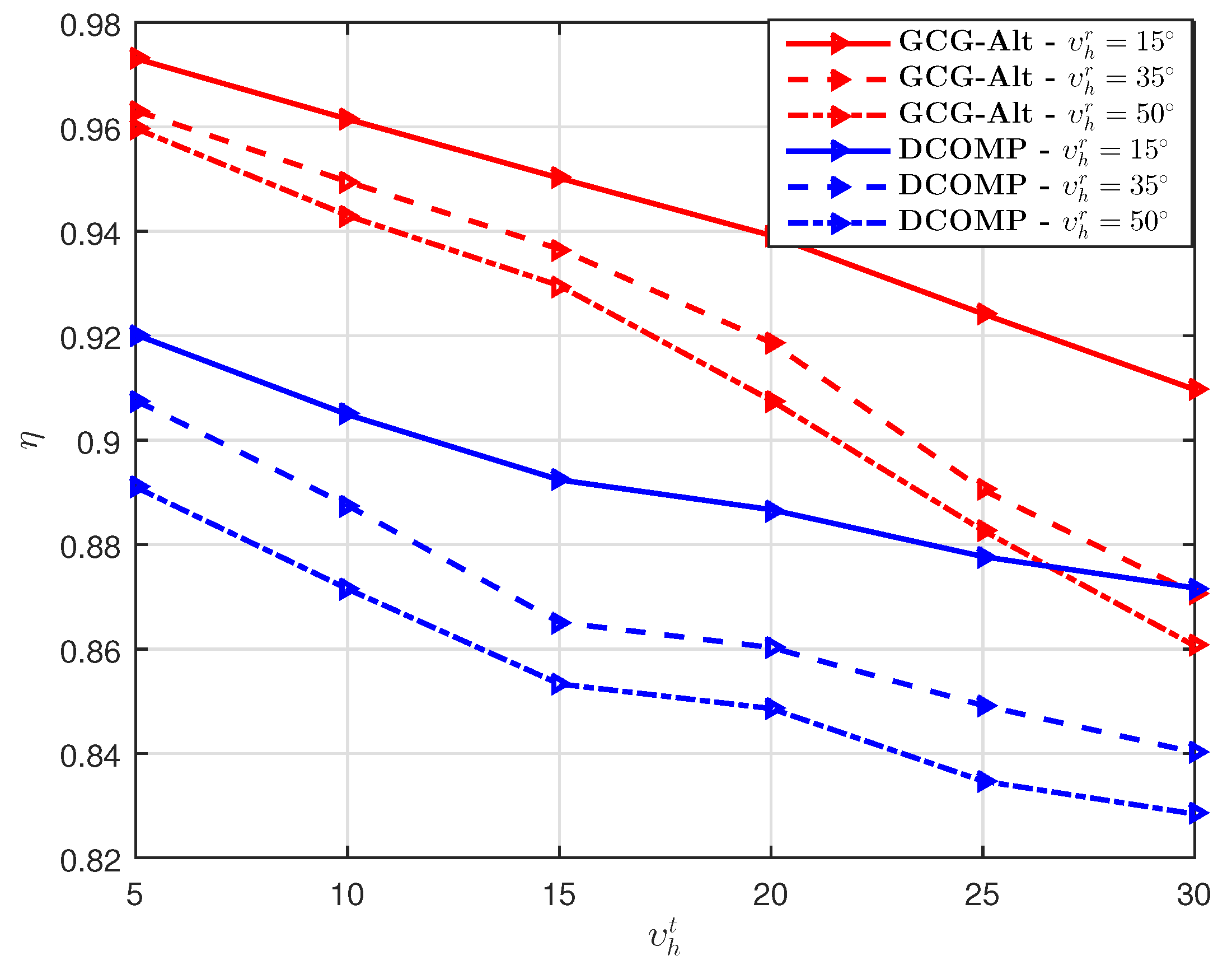
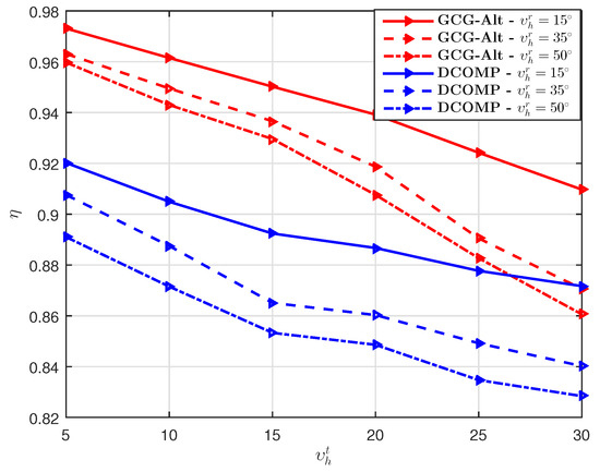
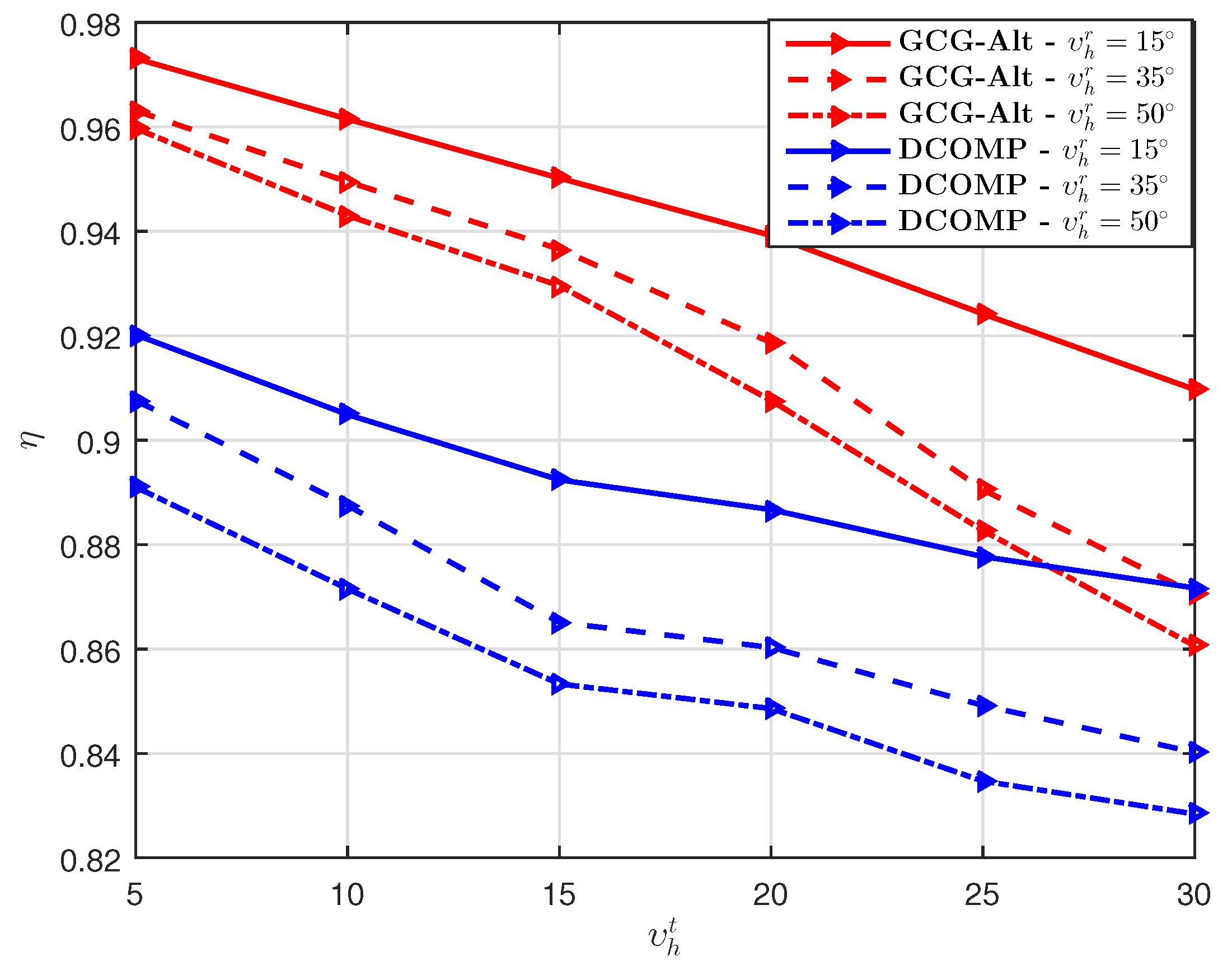
4.1. The ULA System
4.2. The USPA System
5. Conclusions
Author Contributions
Conflicts of Interest
Abbreviations
| mmWave | Millimeter wave |
| MIMO | Multiple-input multiple-output |
| CSI | Channel state information |
| CS | Compressive sensing |
| AoA | Angle of arrival |
| AoD | Angle of departure |
| ULA | Uniform linear arrays |
| USPA | Uniform squared planar arrays |
| RF | Radio frequency |
| NMSE | Normalized mean square error |
| PNR | Pilot-to-noise ratio |
References
- Niu, Y.; Li, Y.; Jin, D.; Su, L.; Vasilakos, A.V. A survey of millimeter wave communications (mmWave) for 5G: Opportunities and challenges. Wirel. Netw. 2015, 21, 2657–2676. [Google Scholar] [CrossRef]
- Wang, X.; Kong, L.; Kong, F.; Qiu, F.; Xia, M.; Arnon, S.; Chen, G. Millimeter wave communication: A comprehensive survey. IEEE Commun. Surv. Tuts. 2018, 20, 1616–1653. [Google Scholar] [CrossRef]
- Alkhateeb, A.; Ayach, O.E.; Leus, G.; Heath, R.W. Channel estimation and hybrid precoding for millimeter wave cellular systems. IEEE J. Sel. Top. Signal Process. 2018, 8, 831–846. [Google Scholar] [CrossRef]
- Méndez-Rial, R.; Rusu, C.; González-Prelcic, N.; Alkhateeb, A.; Heath, R.W. Hybrid MIMO architectures for millimeter wave communications: Phase shifters or switches? IEEE Access 2016, 4, 247–267. [Google Scholar] [CrossRef]
- Ayach, O.E.; Rajagopal, S.; Abu-Surra, S.; Pi, Z.; Heath, R.W. Spatially sparse precoding in millimeter wave MIMO systems. IEEE Trans. Wirel. Commun. 2014, 13, 1499–1513. [Google Scholar] [CrossRef]
- Yu, X.; Shen, J.-C.; Zhang, J.; Letaief, K.B. Alternating minimization algorithms for hybrid precoding in millimeter wave MIMO systems. IEEE J. Sel. Top. Signal Process. 2016, 10, 485–500. [Google Scholar] [CrossRef]
- Lee, J.; Gil, G.-T.; Lee, Y.H. Channel estimation via orthogonal matching pursuit for hybrid MIMO systems in millimeter wave communications. IEEE Trans. Commun. 2016, 64, 2370–2386. [Google Scholar] [CrossRef]
- Li, Y.; Yin, Q.; Sun, L.; Chen, H.; Wang, H.M. A channel quality metric in opportunistic selection with outdated CSI over Nakagami-m fading channels. IEEE Trans. Veh. Technol. 2012, 61, 1427–1432. [Google Scholar] [CrossRef]
- Li, Z.; Han, S.; Sangodoyin, S.; Wang, R.; Molisch, A.F. Joint optimization of hybrid beamforming for multi-user massive MIMO downlink. IEEE Trans. Wirel. Commun. 2018, 17, 3600–3614. [Google Scholar] [CrossRef]
- Park, S.; Heath, R.W. Spatial channel covariance estimation for the hybrid MIMO architecture: A compressive sensing based approach. IEEE Trans. Wirel. Commun. 2018, 17, 8047–8062. [Google Scholar] [CrossRef]
- Adhikary, A.; Nam, J.; Ahn, J.Y.; Caire, G. Joint spatial division and multiplexing–The large-scale array regime. IEEE Trans. Inf. Theory 2013, 59, 6441–6463. [Google Scholar] [CrossRef]
- Park, S.; Heath, R.W. Spatial channel covariance estimation for mmWave hybrid MIMO architecture. In Proceedings of the 2016 50th Asilomar Conference on Signals, Systems and Computers, Pacific Grove, CA, USA, 6–9 November 2016. [Google Scholar]
- Xie, H.; Gao, F.; Jin, S.; Fang, J.; Liang, Y.C. Channel estimation for TDD/FDD massive MIMO systems with channel covariance computing. IEEE Trans. Wirel. Commun. 2018, 17, 4206–4218. [Google Scholar] [CrossRef]
- Haghighatshoar, S.; Caire, G. Massive MIMO Channel Subspace Estimation From Low-Dimensional Projections. IEEE Trans. Signal Process. 2017, 65, 303–318. [Google Scholar] [CrossRef]
- Zhou, Z.; Fang, J.; Yang, L.; Li, H.; Chen, Z.; Blum, R.S. Low-Rank Tensor Decomposition-Aided Channel Estimation for Millimeter Wave MIMO-OFDM Systems. IEEE J. Sel. Areas Commun. 2017, 35, 1524–1538. [Google Scholar] [CrossRef]
- Wen, F.; Garcia, N.; Kulmer, J.; Witrisal, K.; Wymeersch, H. Tensor Decomposition Based Beamspace ESPRIT for Millimeter Wave MIMO Channel Estimation. In Proceedings of the 2018 IEEE Global Communications Conference (GLOBECOM), Abu Dhabi, UAE, 9–13 December 2018. [Google Scholar]
- Park, S.; Ali, A.; González-Prelcic, N.; Heath, R.W. Spatial channel covariance estimation for the hybrid architecture at a base station: A tensor-decomposition-based approach. In Proceedings of the 2018 IEEE Global Conference on Signal and Information Processing (GlobalSIP), Anaheim, CA, USA, 26–29 November 2018. [Google Scholar]
- Chi, Y. Kronecker covariance sketching for spatial-temporal data. In Proceedings of the 2016 24th European Signal Processing Conference (EUSIPCO), Budapest, Hungary, 29 August–2 September 2016. [Google Scholar]
- Tsiligkaridis, T.; Hero, A.O. Covariance estimation in high dimensions via kronecker product expansions. IEEE Trans. Signal Process. 2013, 61, 5347–5360. [Google Scholar] [CrossRef]
- Greenewald, K.; Tsiligkaridis, T.; Hero, A.O. Kronecker Sum Decompositions of Space-Time Data. In Proceedings of the 2013 5th IEEE International Workshop on Computational Advances in Multi-Sensor Adaptive Processing (CAMSAP), St. Martin, France, 15–18 December 2013. [Google Scholar]
- Hu, R.; Tong, J.; Xi, J.; Guo, Q.; Yu, Y. Matrix completion-based channel estimation for mmWave communication systems with array-inherent impairments. IEEE Access 2018, 6, 62915–62931. [Google Scholar] [CrossRef]
- Akdeniz, M.; Liu, Y.; Samimi, M.; Sun, S.; Rangan, S.; Rappaport, T.; Erkip, E. Millimeter wave channel modeling and cellular capacity evaluation. IEEE J. Sel. Areas Commun 2014, 32, 1164–1179. [Google Scholar] [CrossRef]
- Loan, C.F.V. The ubiquitous Kronecker product. J. Comput. Appl. Math 2000, 123, 85–100. [Google Scholar] [CrossRef]
- Sun, G.; He, Z.; Tong, J.; Zhang, X. Knowledge-aided covariance matrix estimation via Kronecker product expansions for airborne STAP. IEEE Geosci. Remote Sens. Lett. 2018, 15, 527–531. [Google Scholar] [CrossRef]
- Zhong, K.; Jain, P.; Dhillon, I.S. Efficient matrix sensing using rank-1 gaussian measurements. In Proceedings of the International Conference on Algorithmic Learning Theory, Banff, AB, Canada, 4–6 October 2015. [Google Scholar]
- Yu, A.W.; Ma, W.; Yu, Y.; Carbonell, J.; Sra, S. Efficient structured matrix rank minimization. In Proceedings of the Neural Information Processing Systems Conference, Montreal, QC, Canada, 8–13 December 2014. [Google Scholar]









© 2019 by the authors. Licensee MDPI, Basel, Switzerland. This article is an open access article distributed under the terms and conditions of the Creative Commons Attribution (CC BY) license (http://creativecommons.org/licenses/by/4.0/).
Share and Cite
Hu, R.; Tong, J.; Xi, J.; Guo, Q.; Yu, Y. Channel Covariance Matrix Estimation via Dimension Reduction for Hybrid MIMO MmWave Communication Systems. Sensors 2019, 19, 3368. https://doi.org/10.3390/s19153368
Hu R, Tong J, Xi J, Guo Q, Yu Y. Channel Covariance Matrix Estimation via Dimension Reduction for Hybrid MIMO MmWave Communication Systems. Sensors. 2019; 19(15):3368. https://doi.org/10.3390/s19153368
Chicago/Turabian StyleHu, Rui, Jun Tong, Jiangtao Xi, Qinghua Guo, and Yanguang Yu. 2019. "Channel Covariance Matrix Estimation via Dimension Reduction for Hybrid MIMO MmWave Communication Systems" Sensors 19, no. 15: 3368. https://doi.org/10.3390/s19153368
APA StyleHu, R., Tong, J., Xi, J., Guo, Q., & Yu, Y. (2019). Channel Covariance Matrix Estimation via Dimension Reduction for Hybrid MIMO MmWave Communication Systems. Sensors, 19(15), 3368. https://doi.org/10.3390/s19153368

