Inter-Relay Interference Mitigation for Chirp-Based Two-Path Successive Relaying Protocol †
Abstract
:1. Introduction
- To the best of the authors’ knowledge, no research using the relay node in the CSS system has yet been carried out.
- When the operator designs the relay-based CSS system, our analysis can easily offer the parameters to mitigate the IRI effect.
- In the CSS-based TPSR protocol, it is expected that the proposed scheme can increase the data rate and extend the transmission coverage even in a high IRI environment.
2. System Model
2.1. BOK-CSS Scheme
2.2. Two-Path Successive Relaying Protocol
3. MLC Signal Model and IRI Analysis
3.1. MLC Signal Model
3.2. IRI Analysis
3.2.1. Derivation of IRI
3.2.2. IRI Effect on BER Performance
4. Simulation Results
4.1. SR-CCC and IR-CCC Values
- Primary relay: In order to guarantee the best BER performance in a given separating bandwidth, the separating bandwidth with the minimum SR-CCC is preferably allocated to the primary relay.
- Secondary relay
- In order to guarantee the BER performance of the secondary relay without considering the IR-CCC, the separating bandwidth at the minimum SR-CCC is allocated to the secondary relay.
- In order to consider a negative SR-CCC and negative IR-CCC, the separating bandwidth with these conditions can be allocated to the secondary relay.
- In order to guarantee the orthogonality from the primary relay, the separating bandwidth at the IR-CCC is allocated to the secondary relay without considering the SR-CCC.
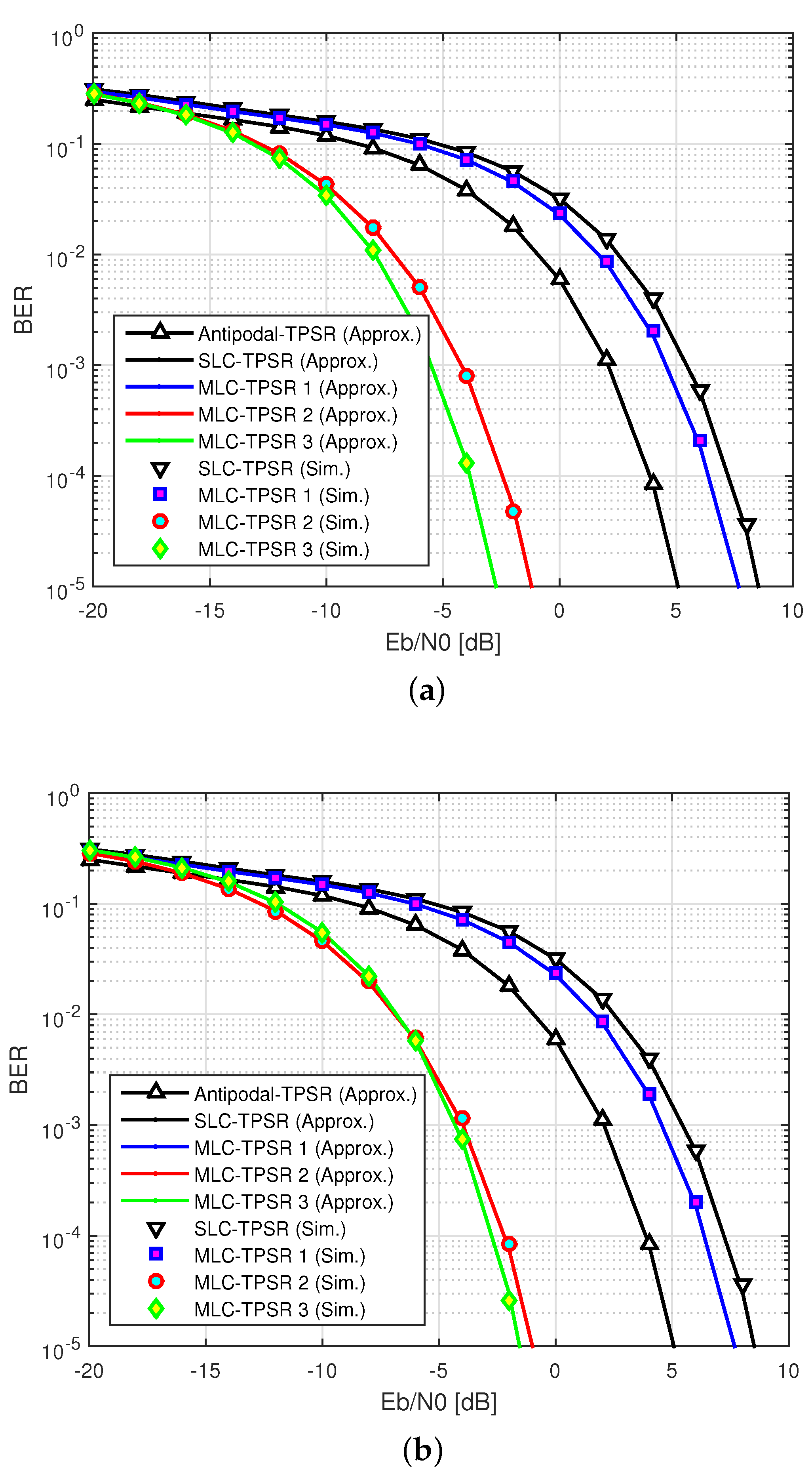
4.2. BER Performance with IRI
4.3. BER Performance with
5. Conclusions
Author Contributions
Funding
Conflicts of Interest
References
- Poisel, R. Modern Communications Jamming: Principles and Techniques; Artech House: Norwood, MA, USA, 2011; Chapter 1. [Google Scholar]
- Cook, C.E.; Bernfeld, M. Radar Signals: An Introduction to Theory and Application; Academic Press: New York, NY, USA, 1967; Chapter 1. [Google Scholar]
- Karapistoli, E.; Pavlidou, F.-N. An overview of the IEEE 802.15.4a standard. IEEE Commun. Mag. 2010, 48, 47–53. [Google Scholar] [CrossRef]
- Adelantado, F.; Vilajosana, X.; Tuset-Peiro, P.; Martinez, B.; Melia-Segui, J.; Watteyne, T. Understanding the limits of LoRaWAN. IEEE Commun. Mag. 2017, 55, 34–40. [Google Scholar] [CrossRef]
- Pinkney, J. Low Complexity Indoor Wireless Data Links Using Chirp Spread Spectrum. Ph.D. Thesis, Department of Electrical and Computer Engineering, University of Calgary, Calgary, AB, Canada, 2003. [Google Scholar]
- El-Khama, S.E.; Shaaban, S.E.; Thabet, E.A. Efficient multiple-access communications using multi-user chirp modulation signals. In Proceedings of the International Symposium on Spread Spectrum Techniques and Applications (ISSSTA’95 ), Mainz, Germany, 25 September 1996; Volume 3, pp. 1209–1213. [Google Scholar]
- Wang, Q. Non-Linear Chirp Spread Spectrum Communication Systems of Binary Orthogonal Keying Mode. Ph.D. Thesis, Department of Engineering & Computer Engineering, University of Western Ontario, London, ON, Canada, 2015. [Google Scholar]
- Kim, K.-Y.; Lee, S.-W.; Hwang, Y.-M.; Kim, Y.-S.; Lee, J.-S.; Kim, J.-Y.; Shin, Y. Correlation-based optimal chirp rate allocation for chirp spread spectrum using multiple linear chirps. IEICE Trans. Fundam. 2017, E100-A, 1088–1091. [Google Scholar] [CrossRef]
- Yoon, T.; Lee, Y.; Park, S.R.; Kim, S.C.; Song, I.; Yoon, S. Analysis of intersymbol interference due to overlap in DM-BPSK. IEICE Trans. Fundam. 2010, E93-B, 1310–1312. [Google Scholar] [CrossRef]
- Laneman, J.N.; Tse, D.N.C.; Wornell, G.W. Cooperative diversity in wireless networks: Efficient protocols and outage behavior. IEEE Trans. Inf. Theory 2004, 5, 3062–3080. [Google Scholar] [CrossRef]
- Jing, Y.; Jafarkhani, H. Single and multiple relay selection schemes and their achievable diversity orders. IEEE Trans. Wirel. Commun. 2009, 8, 1414–1423. [Google Scholar] [CrossRef]
- Zhao, Y.; Adve, R.; Lim, T.J. Improving amplify-and-forward relay networks: Optimal power allocation versus selection. IEEE Trans. Wirel. Commun. 2007, 6, 3114–3123. [Google Scholar]
- Poursajadi, S.; Madani, M.H.; Bizaki, H.K. Power allocation and outage probability analysis of AF relaying systems with multiple antennas at terminal nodes. IEEE Trans. Veh. Technol. 2017, 66, 377–384. [Google Scholar] [CrossRef]
- Chen, Z.; Fan, P.; Wu, D.O. Joint power allocation and strategy selection for half-duplex relay system. IEEE Trans. Veh. Technol. 2017, 66, 2144–2157. [Google Scholar] [CrossRef]
- Yoo, I.; Oh, J.; Han, Y. Opportunistic relay selection protocol under multi-user environment. In Proceedings of the IEEE VTC-Fall 2013, Las Vegas, NV, USA, 2–5 September 2013. [Google Scholar]
- Hidayati, N.; Suwadi; Wirawan. Performance of best relay selection in single relay selection scheme with network coding. In Proceedings of the ICITISEE 2017, Yogyakarta, Indonesia, 1–2 November 2017; pp. 388–391. [Google Scholar]
- ElHalawany, B.M.; Elsabrouty, M.; Muta, O.; Abdelrahman, A.; Furukawa, H. Joint energy-efficient single relay selection and power allocation for analog network coding with three transmission phases. In Proceedings of the IEEE VTC-Spring 2014, Seoul, Korea, 18–21 May 2014; pp. 1–7. [Google Scholar]
- Jain, N.; Dongariya, A.; Verma, A. Comparative study of different types of relay selection scheme for cooperative wireless communication. In Proceedings of the ICICIC 2017, Indore, India, 17–19 August 2017; pp. 1–4. [Google Scholar]
- Rankov, B.; Wittneben, A. Spectral efficient protocols for half-duplex fading relay channels. IEEE J. Sel. Areas Commun. 2007, 25, 379–389. [Google Scholar] [CrossRef]
- Kim, S.H.; Chaitanya, T.V.K.; Le-Ngoc, T.; Kim, J. Rate maximization based power allocation and relay selection with IRI consideration for two-path AF relaying. IEEE Trans. Wirel. Commun. 2015, 14, 6012–6027. [Google Scholar] [CrossRef]
- Kim, K.-Y.; Kim, J.; Shin, Y. Parallelised relaying protocol with opportunistic priority assignment for enhanced spectral efficiency in cross-relay interference. IET Commun. 2019, 13, 934–938. [Google Scholar] [CrossRef]
- Kim, K.-Y.; Shin, Y. Analysis on inter-relay interference in chirp-based two-path successive relaying protocol. In Proceedings of the ICGHIT 2019, Kuala Lumpur, Malaysia, 16–18 January 2019. [Google Scholar]
- Sklar, B. Digital Communications: Fundamentals and Applications; Prentice Hall: Upper Saddle River, NJ, USA, 2001; Chapter 3. [Google Scholar]
- Kim, K.-Y.; Shin, Y.; Hwang, Y.-M.; Kim, J.-Y. Analysis on anti-jamming performance of binary orthogonal keying chirp spread spectrum systems. In Proceedings of the IEEE APWCS 2017, Incheon, Korea, 23–25 August 2017; pp. 1088–1091. [Google Scholar]
- Hu, Y.; Li, K.H.; Teh, K.C. An efficient successive relaying protocol for multiple-relay cooperative networks. IEEE Trans. Wirel. Commun. 2012, 11, 1892–1899. [Google Scholar] [CrossRef]
- Altamirano, D.; de Almeida, C. Evaluation of the effects of the co-channel interference on the bit error rate of cellular systems for BPSK modulation. In Proceedings of the ITS 2010, Manaus, Brazil, 12–17 September 2010; pp. 1–5. [Google Scholar]
- Cheng, E.; Chen, S.; Yuan, F. Design and detection of multilinear chirp signals for underwater acoustic sensor networks. Int. J. Distrib. Sens. Net. 2015, 11, 371579. [Google Scholar] [CrossRef]





| Type | Primary Relay | Secondary Relay | |||
|---|---|---|---|---|---|
| MLC-TPSR 1 | 2.6 | −0.1121 | 2.6 | −0.1121 | 1 |
| MLC-TPSR 2 | 2.6 | −0.1121 | 6.6 | −0.0585 | −0.273 |
| MLC-TPSR 3 | 2.6 | −0.1121 | 9.2 | 0.1513 | 0.007 |
© 2019 by the authors. Licensee MDPI, Basel, Switzerland. This article is an open access article distributed under the terms and conditions of the Creative Commons Attribution (CC BY) license (http://creativecommons.org/licenses/by/4.0/).
Share and Cite
Kim, K.-Y.; Shin, Y. Inter-Relay Interference Mitigation for Chirp-Based Two-Path Successive Relaying Protocol. Sensors 2019, 19, 3346. https://doi.org/10.3390/s19153346
Kim K-Y, Shin Y. Inter-Relay Interference Mitigation for Chirp-Based Two-Path Successive Relaying Protocol. Sensors. 2019; 19(15):3346. https://doi.org/10.3390/s19153346
Chicago/Turabian StyleKim, Kwang-Yul, and Yoan Shin. 2019. "Inter-Relay Interference Mitigation for Chirp-Based Two-Path Successive Relaying Protocol" Sensors 19, no. 15: 3346. https://doi.org/10.3390/s19153346
APA StyleKim, K.-Y., & Shin, Y. (2019). Inter-Relay Interference Mitigation for Chirp-Based Two-Path Successive Relaying Protocol. Sensors, 19(15), 3346. https://doi.org/10.3390/s19153346

