Ultrasound Systems for Biometric Recognition
Abstract
1. Introduction
2. Fundamentals of Ultrasonics
2.1. Ultrasound Imaging Techniques
2.1.1. Pulse-Echo Imaging
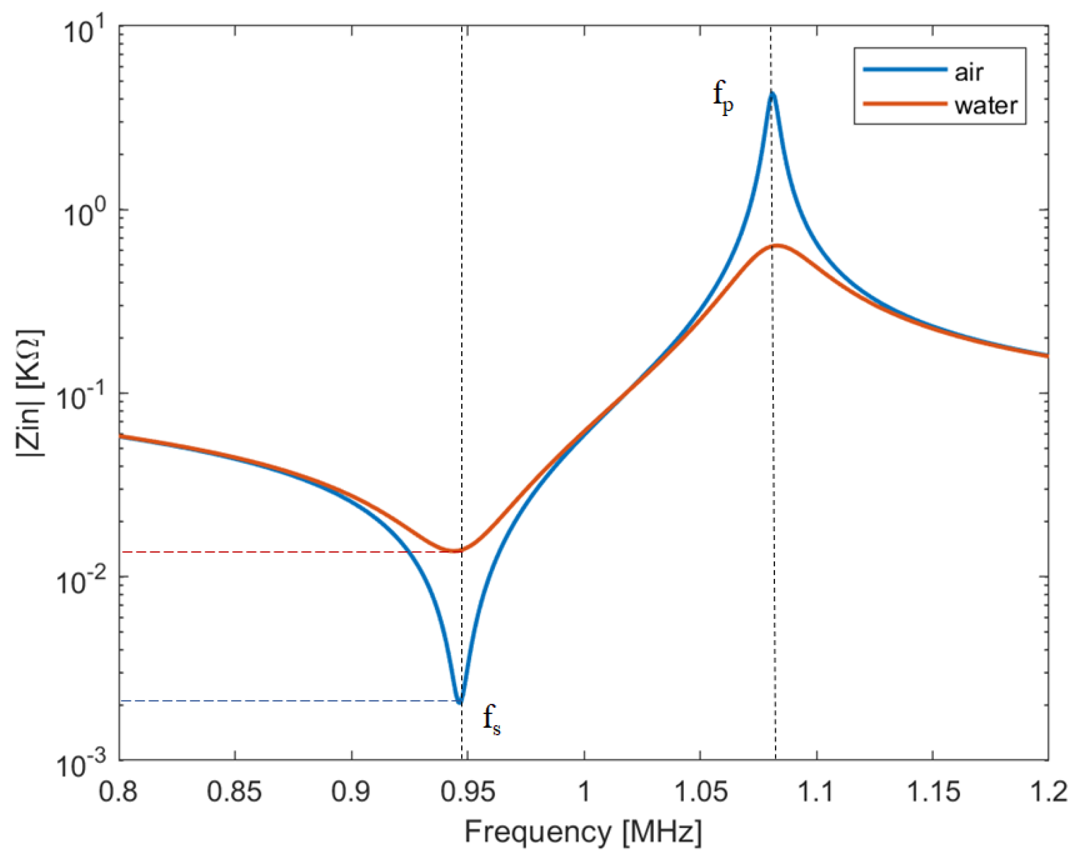
2.1.2. Impediography
2.1.3. Other Techniques
2.2. Transducer Technologies
2.2.1. Piezocomposite Transducers
2.2.2. CMUT
2.2.3. PMUT
3. Biometric Systems Based on Pulse-Echo Imaging
4. Biometric Systems Based on Impediography
5. Other Biometric Systems Based on Ultrasound
6. Conclusions
Funding
Conflicts of Interest
References
- Jain, A.; Ross, A.; Prabhakar, S. An Introduction to Biometric Recognition. IEEE Trans. Circuits Syst. Video Technol. 2004, 14, 4–20. [Google Scholar] [CrossRef]
- Jain, A.; Flynn, P.; Ross, A. Handbook of Biometrics; Springer: Secaucus, NJ, USA, 2007. [Google Scholar]
- Lin, C.; Kumar, A. Contactless and partial 3D fingerprint recognition using multi-view deep representation. Pattern Recognit. 2018, 83, 314–327. [Google Scholar] [CrossRef]
- Lin, C.; Kumar, A. Matching Contactless and Contact-Based Conventional Fingerprint Images for Biometrics Identification. IEEE Trans. Image Process. 2018, 27, 2008–2021. [Google Scholar] [CrossRef] [PubMed]
- Bhairannawar, S.; Sarkar, S.; Raja, K.; Venugopal, K. Implementation of Fingerprint Based Biometric System Using Optimized 5/3 DWT Architecture and Modified CORDIC Based FFT. Circuits Syst. Signal Process. 2018, 37, 342–366. [Google Scholar] [CrossRef]
- Maltoni, D.; Maio, D.; Jain, A.; Prabhakar, S. Handbook of Fingerpint Recognition; Springer: Berlin/Heidelberg, Germany, 2009. [Google Scholar]
- Dai, J.; Zhou, J. Multifeature-based high-resolution palmprint recognition. IEEE Trans. Pattern Anal. Mach. Intell. 2011, 33, 945–957. [Google Scholar]
- Cappelli, R.; Ferrara, M.; Maio, D. A fast and accurate palmprint recognition system based on minutiae. IEEE Trans. Syst. Man Cybern. Part B Cybern. 2012, 42, 956–962. [Google Scholar] [CrossRef]
- Wang, R.; Ramos, D.; Veldhuis, R.; Fierrez, J.; Spreeuwers, L.; Xu, H. Regional fusion for high-resolution palmprint recognition using spectral minutiae representation. IET Biom. 2014, 3, 94–100. [Google Scholar] [CrossRef]
- Huang, D.S.; Jia, W.; Zhang, D. Palmprint verification based on principal lines. Pattern Recognit. 2008, 41, 1316–1328. [Google Scholar] [CrossRef]
- Zhang, L.; Li, H.; Niu, J. Fragile Bits in Palmprint Recognition. IEEE Signal Process. Lett. 2012, 19, 663–666. [Google Scholar] [CrossRef]
- Jagadeesh, P.; Bhuvaneswari, B. Hand vein biometric recognition using repeated line tracking method. Int. J. Pharm. Technol. 2016, 8, 20308–20315. [Google Scholar]
- Kang, W.; Lu, Y.; Li, D.; Jia, W. From noise to feature: Exploiting intensity distribution as a novel soft biometric trait for finger vein recognition. IEEE Trans. Inf. Forensics Secur. 2019, 14, 858–869. [Google Scholar] [CrossRef]
- Lee, J.-C. A novel biometric system based on palm vein image. Pattern Recognit. Lett. 2012, 33, 1520–1528. [Google Scholar] [CrossRef]
- Sharma, S.; Dubey, S.; Singh, S.; Saxena, R.; Singh, R. Identity verification using shape and geometry of human hands. Expert Syst. Appl. 2015, 42, 821–832. [Google Scholar] [CrossRef]
- Zhang, D.; Lu, G. 3D Biometrics: Systems and Applications; Springer: New York, NY, USA, 2013; pp. 1–290. [Google Scholar]
- Kim, W.; Song, J.; Park, K. Multimodal biometric recognition based on convolutional neural network by the fusion of finger-vein and finger shape using near-infrared (NIR) camera sensor. Sensors 2018, 18, 2296. [Google Scholar] [CrossRef]
- Piciucco, E.; Maiorana, E.; Campisi, P. Biometric fusion for palm-vein-based recognition systems. Commun. Comput. Inf. Sci. 2017, 766, 18–28. [Google Scholar]
- Chen, W.S.; Wang, W.C. Fusion of hand-shape and palm-print traits using morphology for bi-modal biometric authentication. Int. J. Biom. 2018, 10, 368–390. [Google Scholar] [CrossRef]
- Kinsley, L.; Frey, A.; Coppens, A.; Sanders, J. Fundamentals of Acoustics; John Wiley and Sons: Hoboken, NJ, USA, 2000. [Google Scholar]
- Waingankar, N.; Goldenberg, E.; Gilbert, B. History of Ultrasound; Springer: New York, NY, USA, 2015; pp. 1–9. [Google Scholar]
- Gallego-Juarez, J. Piezoelectric ceramics and ultrasonic transducers. J. Phys. E Sci. Instrum. 1989, 22, 804–816. [Google Scholar] [CrossRef]
- Kino, G.S. Acoustic Waves: Devices, Imaging and Analog Signal Processing; Prentice Hall: Upper Saddle River, NJ, USA, 1987. [Google Scholar]
- Azhari, H. Basics of Biomed. Ultrasound for Engineers; John Wiley and Sons: Hoboken, NJ, USA, 2010. [Google Scholar]
- Andria, G.; Attivissimo, F.; Lanzolla, A.; Savino, M. A suitable threshold for speckle reduction in ultrasound images. IEEE Trans. Instrum. Meas. 2013, 62, 2270–2279. [Google Scholar] [CrossRef]
- Casciaro, S.; Pisani, P.; Soloperto, G.; Greco, A.; Lay-Ekuakille, A.; Conversano, F. An Innovative Ultrasound Signal Processing Technique to Selectively Detect Nanosized Contrast Agents in Echographic Images. IEEE Trans. Instrum. Meas. 2015, 64, 2136–2145. [Google Scholar] [CrossRef]
- Fenster, A.; Tong, S.; Cardinal, H.; Blake, C.; Downey, D. Three-dimensional ultrasound imaging system for prostate cancer diagnosis and treatment. IEEE Trans. Instrum. Meas. 1998, 47, 1439–1447. [Google Scholar] [CrossRef]
- Fenster, A.; Parraga, G.; Bax, J. Three-dimensional ultrasound scanning. Interface Focus 2011, 1, 503–519. [Google Scholar] [CrossRef]
- Morgan, M.; Broder, J.; Dahl, J.; Herickhoff, C. Versatile Low-cost Volumetric 3D Ultrasound Platform for Existing Clinical 2D Systems. IEEE Trans. Med. Imaging 2018, 37, 2248–2256. [Google Scholar] [CrossRef] [PubMed]
- Han, J.; Gal, C.; Park, J.; Kim, J.; Lee, S.; Yeo, B.; Lee, B.; Park, S.; Park, S. Powder injection molding process for fabrication of piezoelectric 2D array ultrasound transducer. Smart Mater. Struct. 2018, 27, 075058. [Google Scholar] [CrossRef]
- Um, J.Y.; Kim, Y.J.; Cho, S.E.; Chae, M.K.; Song, J.; Kim, B.; Lee, S.; Bang, J.; Kim, Y.; Cho, K.; et al. An analog-digital hybrid RX beamformer chip with non-uniform sampling for ultrasound medical imaging with 2D CMUT array. IEEE Trans. Biomed. Circuits Syst. 2014, 8, 799–809. [Google Scholar] [CrossRef]
- Babcock, D.; Patriquin, H.; LaFortune, M.; Dauzat, M. Power Doppler sonography: Basic principles and clinical applications in children. Pediatr. Radiol. 1996, 26, 109–115. [Google Scholar] [CrossRef]
- Kirk Shung, K. Diagnostic Ultrasound; Taylor & Francis Group: Abingdon, UK, 2006. [Google Scholar]
- Valluru, K.; Willmann, J. Clinical photoacoustic imaging of cancer. Ultrasonography 2016, 35, 267–280. [Google Scholar] [CrossRef]
- Xu, M.; Wang, L. Photoacoustic imaging in biomedicine. Rev. Sci. Instrum. 2006, 77, 041101. [Google Scholar] [CrossRef]
- Fernandez-Grande, E.; Xenaki, A.; Gerstoft, P. A sparse equivalent source method for near-field acoustic holography. J. Acoust. Soc. Am. 2017, 141, 532–542. [Google Scholar] [CrossRef] [PubMed]
- Gururaja, T.; Cross, L.; Newnham, R.; Auld, B.; Wang, Y.; Schulze, W. Piezoelectric Composite Materials for Ultrasonic Transducer Applications. Part I: Resonant Modes of Vibration of PZT Rod-Polymer Composites. IEEE Trans. Sonics Ultrason. 1985, 32, 481–498. [Google Scholar] [CrossRef]
- Goll, J.; Auld, B. Multilayer Impedance Matching Schemes For Broadbanding of Water Loaded Piezoelectric Transducers and High Q Electric Resonators. IEEE Trans. Sonics Ultrason. 1975, 22, 52–53. [Google Scholar] [CrossRef]
- Desilets, C.; Fraser, J.; Kino, G. The Design of Efficient Broad-Band Piezoelectric Transducers. IEEE Trans. Sonics Ultrason. 1978, 25, 115–125. [Google Scholar] [CrossRef]
- Souquet, J.; Defranould, P.; Desbois, J. Design of Low-Loss Wide-Band Ultrasonic Transducers for Noninvasive Medical Application. IEEE Trans. Sonics Ultrason. 1979, 26, 75–80. [Google Scholar] [CrossRef]
- Lamberti, N.; Caliano, G.; Iula, A.; Pappalardo, M. A new approach for the design of ultrasono-therapy transducers. IEEE Trans. Ultrason. Ferroelectr. Freq. Control 1997, 44, 77–84. [Google Scholar] [CrossRef] [PubMed]
- Newnham, R.; Bowen, L.; Klicker, K.; Cross, L. Composite piezoelectric transducers. Int. J. Mater. Eng. Appl. 1980, 11, 93–106. [Google Scholar] [CrossRef]
- Cha, J.; Kang, B.; Jang, J.; Chang, J. A 15-MHz 1–3 piezocomposite concave array transducer for ophthalmic imaging. IEEE Trans. Ultrason. Ferroelectr. Freq. Control 2015, 62, 1994–2004. [Google Scholar] [CrossRef] [PubMed]
- Zapf, M.; Hohlfeld, K.; Ruiter, N.; Pfistner, P.; van Dongen, K.; Gemmeke, H.; Michaelis, A.; Gebhardt, S. Development of Single-Fiber Piezocomposite Transducers for 3-D Ultrasound Computer Tomography. Adv. Eng. Mater. 2018, 20, 1800423. [Google Scholar] [CrossRef]
- Fang, H.; Qiu, Z.; Mulholland, A.; OrLeary, R.; Gachagan, A. Broadband 1–3 Piezoelectric Composite Transducer Design using Sierpinski Gasket Fractal Geometry. IEEE Trans. Ultrason. Ferroelectr. Freq. Control 2018, 65, 2429–2439. [Google Scholar] [CrossRef]
- Haller, M.; Khuri-Yakub, B. A surface micromachined electrostatic ultrasonic air transducer. IEEE Trans. Ultrason. Ferroelectr. Freq. Control 1996, 43, 1–6. [Google Scholar] [CrossRef]
- Savoia, A.; Caliano, G. MEMS-Based Transducers (CMUT) for Medical Ultrasound Imaging. In Frontiers of Medical Imaging; World Scientific: Singapore, 2014; pp. 445–464. [Google Scholar]
- Schindel, D.; Zou, L.; Sayer, M.; Hutchins, D. The Design and Characterization of Micromachined Air-Coupled Capacitance Transducers. IEEE Trans. Ultrason. Ferroelectr. Freq. Control 1995, 42, 42–50. [Google Scholar] [CrossRef]
- Oralkan, O.; Ergun, A.; Cheng, C.H.; Johnson, J.; Karaman, M.; Lee, T.; Khuri-Yakub, B. Volumetric ultrasound imaging using 2-D CMUT arrays. IEEE Trans. Ultrason. Ferroelectr. Freq. Control 2003, 50, 1581–1594. [Google Scholar] [CrossRef]
- Bhuyan, A.; Choe, J.; Lee, B.; Wygant, I.; Nikoozadeh, A.; Oralkan, O.; Khuri-Yakub, B. Integrated circuits for volumetric ultrasound imaging with 2-D CMUT arrays. IEEE Trans. Biomed. Circuits Syst. 2013, 7, 796–804. [Google Scholar] [CrossRef]
- Jin, X.; Ladabaum, I.; Khuri-Yakub, B. The microfabrication of capacitive ultrasonic transducers. J. Microelectromech. Syst. 1998, 7, 295–302. [Google Scholar]
- Caliano, G.; Carotenuto, R.; Cianci, E.; Foglietti, V.; Caronti, A.; Iula, A.; Pappalardo, M. Design, fabrication and characterization of a capacitive micromachined ultrasonic probe for medical imaging. IEEE Trans. Ultrason. Ferroelectr. Freq. Control 2005, 52, 2259–2269. [Google Scholar] [CrossRef]
- Yamaner, F.; Zhang, X.; Oralkan, Ö. A three-mask process for fabricating vacuum-sealed capacitive micromachined ultrasonic transducers using anodic bonding. IEEE Trans. Ultrason. Ferroelectr. Freq. Control 2015, 62, 972–982. [Google Scholar] [CrossRef]
- Eccardt, P.C.; Niederer, K.; Scheiter, T.; Hierold, C. Surface micromachined ultrasound transducers in CMOS technology. In Proceedings of the IEEE Ultrasonics Symposium, San Antonio, TX, USA, 3–6 November 1996; Volume 2, pp. 959–962. [Google Scholar]
- Qiu, Y.; Gigliotti, J.; Wallace, M.; Griggio, F.; Demore, C.; Cochran, S.; Trolier-McKinstry, S. Piezoelectric micromachined ultrasound transducer (PMUT) arrays for integrated sensing, actuation and imaging. Sensors 2015, 15, 8020–8041. [Google Scholar] [CrossRef]
- Muralt, P.; Ledermann, N.; Paborowski, J.; Barzegar, A.; Gentil, S.; Belgacem, B.; Petitgrand, S.; Bosseboeuf, A.; Setter, N. Piezoelectric micromachined ultrasonic transducers based on PZT thin films. IEEE Trans. Ultrason. Ferroelectr. Freq. Control 2005, 52, 2276–2288. [Google Scholar] [CrossRef]
- Sun, C.; Shi, Q.; Yazici, M.S.; Kobayashi, T.; Liu, Y.; Lee, C. Investigation of Broadband Characteristics of Multi-Frequency Piezoelectric Micromachined Ultrasonic Transducer (MF-pMUT). IEEE Sens. J. 2019, 19, 860–867. [Google Scholar] [CrossRef]
- Wang, T.; Kobayashi, T.; Yang, B.; Wang, H.; Lee, C. Highly sensitive piezoelectric micromachined ultrasonic transducer (pMUT) operated in air. In Proceedings of the 2016 IEEE 11th Annual International Conference on Nano/Micro Engineered and Molecular Systems (NEMS 2016), Sendai, Japan, 17–20 April 2016; pp. 294–299. [Google Scholar]
- Lu, Y.; Tang, H.Y.; Fung, S.; Boser, B.; Horsley, D. Pulse-Echo Ultrasound Imaging Using an AlN Piezoelectric Micromachined Ultrasonic Transducer Array with Transmit Beam-Forming. J. Microelectromech. Syst. 2016, 25, 179–187. [Google Scholar] [CrossRef]
- Wang, T.; Lee, C. Zero-Bending Piezoelectric Micromachined Ultrasonic Transducer (pMUT) With Enhanced Transmitting Performance. J. Microelectromech. Syst. 2015, 24, 2083–2091. [Google Scholar] [CrossRef]
- Wang, T.; Kobayashi, T.; Lee, C. Micromachined piezoelectric ultrasonic transducer with ultra-wide frequency bandwidth. Appl. Phys. Lett. 2015, 106, 013501. [Google Scholar] [CrossRef]
- Schneider, J.K.; Wobschall, D.C. Live scan fingerprint imagery using high resolution C-scan ultrasonography. In Proceedings of the 25th Annual 1991 IEEE International Carnahan Conference on Security Technology, Taipei, Taiwan, 1–3 October 1991; pp. 88–95. [Google Scholar]
- Schneider, J.K.; Gojevic, S.M. Ultrasonic imaging systems for personal identification. In Proceedings of the IEEE Ultrasonics Symposium, Atlanta, GA, USA, 7–10 October 2001; Volume 1, pp. 595–601. [Google Scholar]
- Schneider, J. Ultrasonic Fingerprint Sensors; Springer: London, UK, 2008; pp. 63–74. [Google Scholar]
- Maeva, A.; Severin, F. High resolution ultrasonic method for 3D fingerprint recognizable characteristics in biometrics identification. In Proceedings of the IEEE Ultrasonics Symposium, Rome, Italy, 20–23 Serptember 2009. [Google Scholar]
- Maev, R.; Severin, F. High-speed biometrics ultrasonic system for 3D fingerprint imaging. In Proceedings of the International Society for Optical Engineering, Brussels, Belgium, 16–19 April 2012; Volume 8546. [Google Scholar]
- Baradarani, A.; Maev, R.; Severin, F. Resonance based analysis of acoustic waves for 3D deep-layer fingerprint reconstruction. In Proceedings of the IEEE International Ultrasonics Symposium (IUS), Prague, Czech Republic, 21–25 July 2013; pp. 713–716. [Google Scholar]
- Savoia, A.; Caliano, G.; Iula, A.; Longo, C.; Caronti, A.; Carotenuto, R.; Pappalardo, M. Design and fabrication of a cMUT probe for ultrasound imaging of fingerprints. In Proceedings of the IEEE Ultrasonics Symposium, San Diego, CA, USA, 11–14 October 2010; pp. 1877–1880. [Google Scholar]
- Lamberti, N.; Caliano, G.; Iula, A.; Savoia, A. A high frequency cMUT probe for ultrasound imaging of fingerprints. Sens. Actuators A Phys. 2011, 172, 561–569. [Google Scholar] [CrossRef]
- Iula, A.; Savoia, A.; Caliano, G. Capacitive micro-fabricated ultrasonic transducers for biometric applications. Microelectron. Eng. 2011, 88, 2278–2280. [Google Scholar] [CrossRef]
- Lu, Y.; Tang, H.; Fung, S.; Wang, Q.; Tsai, J.; Daneman, M.; Boser, B.; Horsley, D. Ultrasonic fingerprint sensor using a piezoelectric micromachined ultrasonic transducer array integrated with complementary metal oxide semiconductor electronics. Appl. Phys. Lett. 2015, 106, 263503. [Google Scholar] [CrossRef]
- Tang, H.; Lu, Y.; Fung, S.; Tsai, J.; Daneman, M.; Horsley, D.; Boser, B. Pulse-echo ultrasonic fingerprint sensor on a chip. In Proceedings of the 2015 18th International Conference on Solid-State Sensors, Actuators and Microsystems (TRANSDUCERS 2015), Anchorage, AK, USA, 21–25 June 2015; pp. 674–677. [Google Scholar]
- Fung, S.; Lu, Y.; Tang, H.Y.; Tsai, J.; Daneman, M.; Boser, B.; Horsley, D. Theory and experimental analysis of scratch resistant coating for ultrasonic fingerprint sensors. In Proceedings of the 2015 IEEE International Ultrasonics Symposium (IUS 2015), Taipei, Taiwan, 21–24 October 2015. [Google Scholar]
- Tang, H.Y.; Lu, Y.; Jiang, X.; Ng, E.; Tsai, J.; Horsley, D.; Boser, B. 3-D Ultrasonic Fingerprint Sensor-on-a-Chip. IEEE J. Solid-State Circuits 2016, 51, 2522–2533. [Google Scholar] [CrossRef]
- Horsley, D.; Lu, Y.; Tang, H.Y.; Jiang, X.; Boser, B.; Tsai, J.; Ng, E.; Daneman, M. Ultrasonic fingerprint sensor based on a PMUT array bonded to CMOS circuitry. In Proceedings of the IEEE International Ultrasonics Symposium (IUS), Tours, France, 18–21 September 2016. [Google Scholar]
- Jiang, X.; Tang, H.Y.; Lu, Y.; Li, X.; Tsai, J.; Ng, E.; Daneman, M.; Lim, M.; Assaderaghi, F.; Boser, B.; et al. Monolithic 591 × 438 DPI ultrasonic fingerprint sensor. In Proceedings of the IEEE International Conference on Micro Electro Mechanical Systems (MEMS), Shanghai, China, 24–28 January 2016; pp. 107–110. [Google Scholar]
- Jiang, X.; Tang, H.Y.; Lu, Y.; Ng, E.; Tsai, J.; Daneman, M.; Boser, B.; Horsley, D. Inter-element coupling effects in pulse-echo ultrasonic fingerprint sensors. In Proceedings of the IEEE International Conference on Micro Electro Mechanical Systems (MEMS), Las Vegas, NV, USA, 22–26 January 2017; pp. 1192–1195. [Google Scholar]
- Jiang, X.; Lu, Y.; Tang, H.Y.; Tsai, J.; Ng, E.; Daneman, M.; Horsley, D.; Boser, B. Monolithic ultrasound fingerprint sensor. Microsyst. Nanoeng. 2017, 3, 17059. [Google Scholar] [CrossRef]
- Jiang, X.; Tang, H.Y.; Lu, Y.; Ng, E.J.; Tsai, J.M.; Boser, B.E.; Horsley, D.A. Ultrasonic fingerprint sensor with transmit beamforming based on a PMUT array bonded to CMOS circuitry. IEEE Trans. Ultrason. Ferroelectr. Freq. Control 2017, 64, 1401–1408. [Google Scholar] [CrossRef] [PubMed]
- Chen, Y.Q.; Li, Y.X.; Chen, Y.; Ju, Z.Y.; Tao, L.Q.; Pang, Y.; Yang, Y.; Ren, T.L. Large-scale and high-density pMUT array based on isolated sol-gel PZT membranes for fingerprint imaging. J. Electrochem. Soc. 2017, 164, B377–B381. [Google Scholar] [CrossRef]
- Park, H.; Roh, Y. Design of ultrasonic fingerprint sensor made of 1–3 piezocomposites by finite element method. Jpn. J. Appl. Phys. 2017, 56, 07JD06. [Google Scholar] [CrossRef]
- Narayanasamy, G.; Fowlkes, J.; Kripfgans, O.; Jacobson, J.; De Maeseneer, M.; Schmitt, R.; Carson, P. Ultrasound of the Fingers for Human Identification Using Biometrics. Ultrasound Med. Biol. 2008, 34, 392–399. [Google Scholar] [CrossRef] [PubMed]
- Iula, A.; De Santis, M.; Caliano, G.; Pappalardo, M. Experimental evaluation of the moving linear array technique applied to livescan biometrics. In Proceedings of the IEEE Ultrasonics Symposium, Rome, Italy, 20–23 September 2009. [Google Scholar]
- Iula, A.; De Santis, M. Experimental evaluation of an ultrasound technique for the biometric recognition of human hand anatomic elements. Ultrasonics 2011, 51, 683–688. [Google Scholar] [CrossRef] [PubMed]
- Iula, A.; Savoia, A.; Longo, C.; Caliano, G.; Caronti, A.; Pappalardo, M. 3D Ultrasonic imaging of the human hand for biometric purposes. In Proceedings of the IEEE Ultrasonics Symposium, San Diego, CA, USA, 11–14 October 2010; pp. 37–40. [Google Scholar]
- Iula, A.; Savoia, A.S.; Caliano, G. An ultrasound technique for 3D palmprint extraction. Sens. Actuators A Phys. 2014, 212, 18–24. [Google Scholar] [CrossRef]
- Zhang, D.; Lu, G.; Li, W.; Zhang, L.; Luo, N. Palmprint recognition using 3-D information. IEEE Trans. Syst. Man Cybern. Part C Appl. Rev. 2009, 39, 505–519. [Google Scholar] [CrossRef]
- Iula, A.; Savoia, A.; Caliano, G. 3D Ultrasound palm vein pattern for biometric recognition. In Proceedings of the 2012 IEEE International Ultrasonics Symposium, Dresden, Germany, 7–10 October 2012; pp. 1–4. [Google Scholar]
- Iula, A.; Hine, G.E.; Ramalli, A.; Guidi, F.; Boni, E.; Savoia, A.S.; Caliano, G. An enhanced ultrasound technique for 3D palmprint recognition. In Proceedings of the 2013 IEEE International Ultrasonics Symposium (IUS), Prague, Czech Republic, 21–25 July 2013; pp. 978–981. [Google Scholar]
- Iula, A.; Hine, G.; Ramalli, A.; Guidi, F.; Boni, E. 2d and 3d palmprint extraction by an automated ultrasound system. Appl. Electron. Pervading Ind. Environ. Soc. 2016, 351, 83–89. [Google Scholar]
- Tortoli, P.; Bassi, L.; Boni, E.; Dallai, A.; Guidi, F.; Ricci, S. ULA-OP: An advanced open platform for ultrasound research. IEEE Trans. Ultrason. Ferroelectr. Freq. Control 2009, 56, 2207–2216. [Google Scholar] [CrossRef]
- Iula, A.; Nardiello, D. Three-dimensional ultrasound palmprint recognition using curvature methods. J. Electron. Imaging 2016, 25, 033009. [Google Scholar] [CrossRef]
- Iula, A.; Nardiello, D. A Method for Biometric Recognition of Ultrasound Palmprint Based on Principal Lines. Int. J. Future Comput. Commun. 2016, 5, 13. [Google Scholar] [CrossRef]
- Nardiello, D.; Iula, A. Experimental evaluation of 3D ultrasound Palmprint recognition techniques based on curvature methods and under skin principal lines. Lect. Notes Electr. Eng. 2017, 429, 201–207. [Google Scholar]
- Iula, A.; Nardiello, D. 3D Ultrasound Palmprint Recognition System Based On Principal Lines Extracted at Several Under Skin Depths. IEEE Trans. Instrum. Meas. 2019. [Google Scholar] [CrossRef]
- De Santis, M.; Agnelli, S.; Nardiello, D.; Iula, A. 3D Ultrasound Palm Vein recognition through the centroid method for biometric purposes. In Proceedings of the 2017 IEEE International Ultrasonics Symposium (IUS), Washington, DC, USA, 6–9 September 2017. [Google Scholar]
- Iula, A.; Emile Hine, G.; Ramalli, A.; Guidi, F. Wide 3D ultrasound palmprint for biometric recognition. In Proceedings of the IEEE International Ultrasonics Symposium (IUS), Chicago, IL, USA, 3–6 September 2014; pp. 1388–1391. [Google Scholar]
- Iula, A.; Hine, G.; Ramalli, A.; Guidi, F. An improved ultrasound system for biometric recognition based on hand geometry and palmprint. Procedia Eng. 2014, 87, 1338–1341. [Google Scholar] [CrossRef]
- Iula, A.; Nardiello, D.; Ramalli, A.; Guidi, F. 3D Ultrasound Palmprint recognition system based on a mechanically tilted linear probe. In Proceedings of the 2015 IEEE International Ultrasonics Symposium (IUS 2015), Taipei, Taiwan, 21–24 October 2015. [Google Scholar]
- Nardiello, D.; Calia, M.; Iula, A. An improved ultrasound system for biometric recognition based on 3D Palmprint. In Proceedings of the 2016 IEEE International Ultrasonics Symposium (IUS), Tours, France, 18–21 September 2016. [Google Scholar]
- Nardiello, D.; Iula, A. A new recognition procedure for palmprint features extraction from ultrasound images. Lect. Notes Electr. Eng. 2019, 512, 113–118. [Google Scholar]
- Schmitt, R.; Scott, W.; Irving, R. Numerical validation of an advanced finger print sensor based on 1–3 piezo-composites. In Proceedings of the IEEE Ultrasonics Symposium, Honolulu, HI, USA, 5–8 October 2003; Volume 1, pp. 1074–1077. [Google Scholar]
- Schmitt, R.; Scott, W.; Irving, R.; Arnold, J.; Bardons, C.; Halpert, D.; Parker, L. Ultrasonic imaging of fingerprints using acoustical impediography. In Proceedings of the IEEE Ultrasonics Symposium, Montreal, QC, Canada, 23–27 August 2004; Volume 1, pp. 680–688. [Google Scholar]
- Schmitt, R.; Scott, W.; Irving, R.; Arnold, J.; Bardons, C.; Halpert, D.; Parker, L. Surface acoustic impediography: A new technology for fingerprint mapping and biometric identification: A numerical study. In Proceedings of the International Society for Optical Engineering, Denver, CO, USA, 2–3 August 2004; Volume 5403, pp. 309–316. [Google Scholar]
- Schmitt, R.; Zeichman, J.; Casanova, A.; Delong, D. Model based development of a commercial, acoustic fingerprint sensor. In Proceedings of the IEEE International Ultrasonics Symposium (IUS), Dresden, Germany, 7–10 October 2012; pp. 1075–1085. [Google Scholar]
- Schmitt, R.; Owen, J. Acoustic impediography: Imaging surface acoustic impedance using 1–3 piezo-composite for Integrated fingerprinting. In Proceedings of the Electronic Components and Technology Conference, Lake Buena Vista, FL, USA, 31 May–3 June 2011; pp. 1296–1299. [Google Scholar]
- Kwak, Y.S.; Choi, W.Y.; Park, K.K. Fingerprint Imaging Using Capacitive Micromachined Ultrasonic Transducer Impediography with Glass Waveguide. In Proceedings of the 2017 IEEE International Ultrasonics Symposium (IUS), Washington, DC, USA, 6–9 September 2017. [Google Scholar]
- Choi, W.; Kwak, Y.; Park, K. Fingerprint Imaging System Based on Capacitive Micromachined Ultrasonic Transducer by Using Impediography Method Including Direct Touch and Waveguide Methods. IEEE Trans. Ultrason. Ferroelectr. Freq. Control 2019, 66, 402–411. [Google Scholar] [CrossRef] [PubMed]
- Hoople, J.; Kuo, J.; Abdel-Moneum, M.; Lal, A. Chipscale GHz ultrasonic channels for fingerprint scanning. In Proceedings of the 2015 IEEE International Ultrasonics Symposium (IUS 2015), Taipei, Taiwan, 21–24 October 2015. [Google Scholar]
- Kuo, J.; Lal, A. Wideband material detection for spoof resistance in GHz ultrasonic fingerprint sensing. In Proceedings of the IEEE International Ultrasonics Symposium (IUS), Washington, DC, USA, 6–9 September 2017. [Google Scholar]
- Kuo, J.; Hoople, J.; Abdelmejeed, M.; Abdel-Moneum, M.; Lal, A. 64-Pixel solid state CMOS compatible ultrasonic fingerprint reader. In Proceedings of the IEEE International Conference on Micro Electro Mechanical Systems (MEMS), Las Vegas, NV, USA, 22–26 January 2017; pp. 9–12. [Google Scholar]
- Choi, W.; Park, K. Fingerprint imaging of dry finger using photoacoustics. J. Acoust. Soc. Am. 2017, 141, EL205–EL209. [Google Scholar] [CrossRef]
- Zemp, R.; Bitton, R.; Li, M.L.; Shung, K.; Stoica, G.; Wang, L. Photoacoustic imaging of the microvasculature with a high-frequency ultrasound array transducer. J. Biomed. Opt. 2007, 12, 010501. [Google Scholar] [CrossRef] [PubMed]
- Wang, Y.; Li, Z.; Vu, T.; Nyayapathi, N.; Oh, K.; Xu, W.; Xia, J. A robust and secure palm vessel biometric sensing system based on photoacoustics. IEEE Sens. J. 2018, 18, 5993–6000. [Google Scholar] [CrossRef]
- Bicz, W.; Banasiak, D.; Bruciak, P.; Gumienny, Z.; Gumuliński, S.; Kosz, D.; Krysiak, A.; Kuczyński, W.; Pluta, M.; Rabiej, G. Fingerprint structure imaging based on an ultrasound camera. Instrum. Sci. Technol. 1999, 27, 295–303. [Google Scholar] [CrossRef]
- Bicz, W.; Bicz, A. Development of ultrasonic finger reader based on ultrasonic holography having sensor area with 80 mm diameter. In Proceedings of the 2016 International Conference of the Biometrics Special Interest Group (BIOSIG), Darmstadt, Germany, 21–23 September 2016; Volume P-260. [Google Scholar]
- Sonavation, Inc. 2019. Available online: http://www.sonavation.com/ (accessed on 13 March 2019).
- Invensense, Inc. 2019. Available online: https://www.invensense.com (accessed on 13 March 2019).
- Qualcomm Technologies, Inc. 2019. Available online: https://www.qualcomm.com/solutions/mobile-computing/features/fingerprint-sensors (accessed on 13 March 2019).






© 2019 by the author. Licensee MDPI, Basel, Switzerland. This article is an open access article distributed under the terms and conditions of the Creative Commons Attribution (CC BY) license (http://creativecommons.org/licenses/by/4.0/).
Share and Cite
Iula, A. Ultrasound Systems for Biometric Recognition. Sensors 2019, 19, 2317. https://doi.org/10.3390/s19102317
Iula A. Ultrasound Systems for Biometric Recognition. Sensors. 2019; 19(10):2317. https://doi.org/10.3390/s19102317
Chicago/Turabian StyleIula, Antonio. 2019. "Ultrasound Systems for Biometric Recognition" Sensors 19, no. 10: 2317. https://doi.org/10.3390/s19102317
APA StyleIula, A. (2019). Ultrasound Systems for Biometric Recognition. Sensors, 19(10), 2317. https://doi.org/10.3390/s19102317
