A Low-Profile Dual-Layer Patch Antenna with a Circular Polarizer Consisting of Dual Semicircular Resonators
Abstract
1. Introduction
2. Circular Polarizer and Circularly Polarized Patch Antenna Design
2.1. Design of Circular Polarizer
2.2. Circularly Polarized Patch Antennas Design
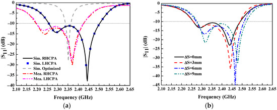
3. Simulations and Experiments
4. Conclusions
Author Contributions
Funding
Conflicts of Interest
References
- Lee, K.F.; Man, K. Microstrip Patch Antennas; Imperial College Press: London, UK, 2011. [Google Scholar]
- Yang, W.W.; Zhou, J.Y.; Yu, Z.Q.; Li, L.S. Single-fed low profile broadband circularly polarized stacked patch antenna. IEEE Trans. Antennas Propag. 2014, 62, 5406–5410. [Google Scholar] [CrossRef]
- Wang, K.X.; Wong, H. A reconfigurable CP/LP antenna with cross-probe feed. IEEE Antennas Wirel. Propag. Lett. 2017, 16, 669–672. [Google Scholar] [CrossRef]
- Pan, Z.K.; Liu, W.X.; Chu, Q.X. Compact wide-beam circularly-polarized microstrip antenna with a parasitic ring for CNSS application. IEEE Trans. Antennas Propag. 2014, 62, 2847–2850. [Google Scholar]
- Elboushi, A.; Sebak, A. MMW sensor for hidden targets detection and warning based on reflection/scattering approach. IEEE Trans. Antennas Propag. 2014, 62, 4890–4894. [Google Scholar] [CrossRef]
- Vena, A.; Perret, E.; Tedjini, S. High-capacity chipless RFID tag insensitive to the polarization. IEEE Trans. Antennas Propag. 2012, 60, 4509–4515. [Google Scholar] [CrossRef]
- Vena, A.; Perret, E.; Tedjni, S. A depolarizing chipless RFID tag for robust detection and its FCC compliant UWB reading system. IEEE Trans. Microw. Theory Tech. 2013, 61, 2982–2994. [Google Scholar] [CrossRef]
- Liu, Q.; Shen, J.Y.; Yin, J.G.; Liu, H.L.; Liu, Y.A. Compact 0.92/2.45-GH dual-band directional circularly polarized microstrip antenna for handheld RFID reader applications. IEEE Trans. Antennas Propag. 2015, 63, 3849–3856. [Google Scholar] [CrossRef]
- Di Renna, R.B.; Corrêa, C.R.B.; Magri, V.P.R.; Ferreira, T.N.; Silva, M.W.B.; Matos, L.J.; Souza, J.A.M. Novel design of a compact RFID chipless tag at 860, 915 MHz, and 2.4 GHz bandwidth. Microw. Opt. Technol. Lett. 2017, 59, 2474–2479. [Google Scholar] [CrossRef]
- Reynolds, M.S. A 500 °C tolerant ultra-high temperature 2.4 GHz 32 Bit chipless RFID tag with a mechanical BPSK modulator. In Proceedings of the 2017 IEEE International Conference on RFID, Phoenix, AZ, USA, 9–11 May 2017; pp. 144–148. [Google Scholar]
- Genovesi, S.; Costa, F.; Monorchio, A.; Manara, G. A novel phase encoding technique exploting linear or circular polarization. In Proceedings of the 2015 9th European Conference on Antennas Propagation (EuCAP), Lisbon, Portugal, 13–17 April 2015. [Google Scholar]
- Mobashsher, A.T.; Islam, M.T.; Misran, N. A novel high-gain dual-band antenna for RFID reader applications. IEEE Antennas Wirel. Propag. Lett. 2010, 9, 653–656. [Google Scholar] [CrossRef]
- Mao, S.G.; Yeh, J.C.; Chen, S.L. Ultrawideband circularly polarized spiral antenna using integrated balun with application to time-domain target detection. IEEE Trans. Antennas Propag. 2009, 57, 1914–1920. [Google Scholar]
- Singh, D.K.; Kanaujia, B.K.; Dwari, S.; Pandey, G.P.; Kumar, S. Multiband circularly polarized stacked microstrip antenna. Prog. Electromagn. Res. C 2015, 56, 55–64. [Google Scholar] [CrossRef]
- Zhu, H.L.; Cheung, S.W.; Liu, X.H.; Yuk, T.I. Design of polarization reconfigurable antenna using metasurface. IEEE Trans. Antennas Propag. 2014, 62, 2891–2898. [Google Scholar] [CrossRef]
- Zhu, H.L.; Cheung, S.W.; Chung, K.L.; Yok, T.I. Linear-to-circular polarization conversion using metasurface. IEEE Trans. Antennas Propag. 2013, 61, 4615–4623. [Google Scholar] [CrossRef]
- Joyal, M.A.; Laurin, I.I. Analysis and design of thin circular polarizer based on meaner line. IEEE Trans. Antennas Propag. 2012, 60, 3007–3011. [Google Scholar] [CrossRef]
- Mutlu, M.; Akosman, A.E.; Serebryannikov, A.E.; Ozbay, E. Asymmetric chiral metamaterial circular polarizer based on four U-shaped split ring resonators. Opt. Lett. 2011, 36, 1653–1656. [Google Scholar] [CrossRef] [PubMed]
- Liu, Z.G.; Cao, Z.X.; Wu, L.N. Compact low-profile circularly polarized Fabry-Perot resonator antenna fed by linearly polarized microstrip patch. IEEE Antennas Wirel. Propag. Lett. 2016, 15, 524–527. [Google Scholar] [CrossRef]
- Ma, X.L.; Huang, C.; Pu, M.B.; Hu, C.H.; Feng, Q.; Luo, X.G. Single-layer circular polarizer using metamaterial and its application in antenna. Microw. Opt. Technol. Lett. 2012, 54, 1770–1774. [Google Scholar] [CrossRef]
- Wu, S.; Huang, X.J.; Xiao, B.X.; Jin, Y.; Yang, H.L. Multi-band circular polarizer based on a twisted triple split-ring resonator. Chin. Phys. B 2014, 23, 127805. [Google Scholar] [CrossRef]
- Akbari, M.; Gupta, S.; Zarbakhsh, S.; Sebak, A.R. A linear to circular polarizer based on frequency selective surface operating 30 GHz application. In Proceedings of the 2016 17th International Symposium on Antenna Technology Applied Electromagn (ANTEM), Montreal, QC, Canada, 10–13 July 2016. [Google Scholar]
- Tang, M.C.; Chen, X.M.; Li, M.; Ziolkowski, R.W. A bandwidth-enhanced, compact, single-feed, low-profile, multi-layered, circularly polarized patch antenna. IEEE Antennas Wirel. Propag. Lett. 2017, 16, 2258–2261. [Google Scholar] [CrossRef]
- Inclan Alonso, J.M.; Calderon, G.A.; Perez, M.S. SIW antenna with polarizer at ku-band. IEEE Trans. Antennas Propag. 2015, 63, 2782–2786. [Google Scholar] [CrossRef]
- Xing, Z.J.; Wang, L.; Wei, K.; Yao, R.G.; Zhang, Z.L.; Nyarko, J.K.N. Study of novel antenna radome for circular polarizer and director. J. Electromagn. Waves Appl. 2016, 30, 651–660. [Google Scholar] [CrossRef]
- Shen, L.C. The elliptical microstrip antenna with circular polarization. IEEE Trans. Antennas Propag. 1981, 29, 90–94. [Google Scholar] [CrossRef]
- Stuart, H.R. Eigenmode analysis of a two element segmented capped monopole antenna. IEEE Trans. Antennas Propag. 2009, 57, 2980–2988. [Google Scholar] [CrossRef]
- Bhartia, P.; Bahl, I.; Garg, R.; Ittipiboon, A. Microstrip Antenna Design Handbook; Artech House: Norwood, MA, USA, 2001. [Google Scholar]
- Zhang, W.; Li, J.Y.; Xie, J. A broadband circular polarizer based on cross-shaped composite frequency selective surfaces. IEEE Trans. Antennas Propag. 2017, 65, 5623–5627. [Google Scholar] [CrossRef]
- Bahl, I.J.; Stijchily, S.S. Analysis of microstrip covered with a lossy dielectric. IEEE Trans. Microw. Theory Tech. 1980, 28, 104–109. [Google Scholar] [CrossRef]
- Bahl, I.; Bhartia, P.; Stuchly, S.S. Design of microstrip antennas covered with a dielectric layer. IEEE Trans. Antennas Propag. 1982, 30, 314–318. [Google Scholar] [CrossRef]










| Parameters | L1 | L2 | L3 | L4 | L5 | W1 | W2 | H1 | H2 | H3 |
| Value | 132 | 39.6 | 3.5 | 1 | 4 | 28 | 2 | 5.5 | 1 | 1.5 |
| Parameters | R1 | R2 | R3 | R4 | R5 | R6 | R7 | R8 | D1 | G1 |
| Value | 29 | 15 | 11 | 9 | 28 | 16 | 12 | 10 | 9.6 | 4 |
| Ref. Work | [20] | [25] | Present Work |
|---|---|---|---|
| 3-dB AR Fractional B.W. (%) | 2.55 | 2.1 | 2.7 |
| Gain (dBi) | 11 | 8.2 | 9 |
| Profile height of antennas (λ0) | 0.43 | 0.13 | 0.063 |
| CP frequency range (GHz) | 13.55–13.9 | 1.547–1.58 | 2.34–2.405 |
© 2018 by the authors. Licensee MDPI, Basel, Switzerland. This article is an open access article distributed under the terms and conditions of the Creative Commons Attribution (CC BY) license (http://creativecommons.org/licenses/by/4.0/).
Share and Cite
Guo, L.; Tang, M.-C.; Li, M. A Low-Profile Dual-Layer Patch Antenna with a Circular Polarizer Consisting of Dual Semicircular Resonators. Sensors 2018, 18, 1773. https://doi.org/10.3390/s18061773
Guo L, Tang M-C, Li M. A Low-Profile Dual-Layer Patch Antenna with a Circular Polarizer Consisting of Dual Semicircular Resonators. Sensors. 2018; 18(6):1773. https://doi.org/10.3390/s18061773
Chicago/Turabian StyleGuo, Li, Ming-Chun Tang, and Mei Li. 2018. "A Low-Profile Dual-Layer Patch Antenna with a Circular Polarizer Consisting of Dual Semicircular Resonators" Sensors 18, no. 6: 1773. https://doi.org/10.3390/s18061773
APA StyleGuo, L., Tang, M.-C., & Li, M. (2018). A Low-Profile Dual-Layer Patch Antenna with a Circular Polarizer Consisting of Dual Semicircular Resonators. Sensors, 18(6), 1773. https://doi.org/10.3390/s18061773

