Direct Position Determination of Multiple Non-Circular Sources with a Moving Coprime Array
Abstract
:1. Introduction
- (1)
- A coprime array is integrated into DPD. The physical model of DPD with a moving array is extended from a uniform array to a sparse non-uniform array, which effectively improves the positioning accuracy and enables the effective estimation of multiple NS.
- (2)
- A virtual array model is constructed, and non-circular property is used to expand the array manifold, meaning the array DOF is greatly increased. This algorithm can not only realize the effective estimation in overdetermined conditions (the number of sensors in the array is bigger than the source number), but is also suitable for underdetermined conditions (the sensor number is smaller than the source number).
- (3)
- The CRLB is derived under the proposed model, effectively proving that the proposed method achieves a significant decrease in the variance of position estimation.
2. DPD Model with a Moving Array
3. Proposed Algorithm
3.1. DPD Model Based on Coprime Array
3.2. MCA-DPD of Multiple Non-Circular Sources Using a Moving Coprime Array
3.3. Algorithm Steps Conclusion
- Step 1:
- Construct a DPD model with a single moving array according to the coprime array structure.
- Step 2:
- Vectorize the covariance matrix of each observation position, and then construct the virtual array model based on the continuous virtual response using Equations (21)–(24).
- Step 3:
- Apply spatial smoothing to the continuous virtual array response, and perform EVD on the weighted smoothing subarray according to Equation (29).
- Step 4:
- Establish the cost function of the target position using SDF. Using Equation (31), the minimum points can be obtained via a spectral peak search, giving the locations of the target sources.
4. Performance Analysis
4.1. Derivation of the CRLB
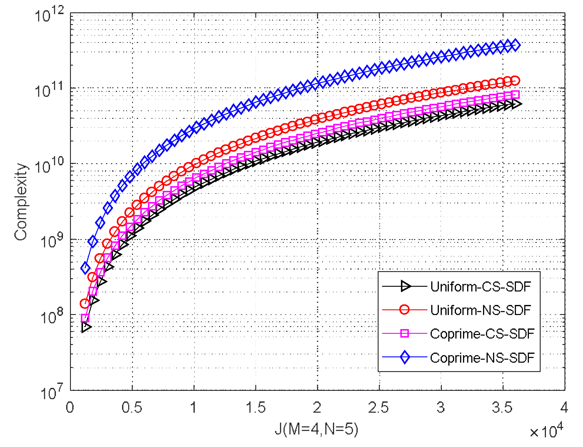
4.2. Complexity Analysis
5. Simulation Results
6. Conclusions
Author Contributions
Acknowledgments
Conflicts of Interest
References
- Amar, A.; Weiss, A.J. Direct position determination of multiple radio signals. EURASIP J. Adv. Signal Process. 2005, 2005, 37–49. [Google Scholar]
- Zheng, W.; Zhang, X.; Zhai, H. A generalized coprime planar array geometry for two-dimensional DOA estimation. IEEE Commun. Lett. 2017, 21, 1075–1078. [Google Scholar] [CrossRef]
- Pal, P.; Vaidyanathan, P.P. Nested arrays: A novel approach to array processing with enhanced degrees of freedom. IEEE Trans. Signal Process. 2010, 58, 4167–4181. [Google Scholar] [CrossRef]
- Qin, S.; Zhang, Y.D.; Amin, M.G. Generalized coprime array configurations for direction-of-arrival estimation. IEEE Trans. Signal Process. 2015, 63, 1377–1390. [Google Scholar] [CrossRef]
- Tahat, A.; Kaddoum, G.; Yousefi, S.; Valaee, S.; Gagnon, F. A look at the recent wireless positioning techniques with a focus on algorithms for moving receivers. IEEE Access 2016, 4, 6652–6680. [Google Scholar] [CrossRef]
- Tzoreff, E.; Weiss, A.J. Expectation-maximization algorithm for direct position determination. Signal Process. 2016, 133, 32–39. [Google Scholar] [CrossRef]
- Xia, W.; Xia, X.; Li, H.; Liu, W.; Hu, J.; He, Z. A noise-constrained distributed adaptive direct position determination algorithm. Signal Process. 2017, 135, 9–16. [Google Scholar] [CrossRef]
- Ziolkowski, C.; Kelner, J.M. Radio bearing of sources with directional antennas in urban environment. arXiv, 2018; arXiv:1803.07011. [Google Scholar]
- Weiss, A.J. Direct position determination of narrowband radio frequency transmitters. IEEE Signal Process. Lett. 2004, 11, 513–516. [Google Scholar] [CrossRef]
- Liu, X.; He, Q.; Sun, Z. Direct position determination by double fixed station based on delay and AOA. In Proceedings of the International Conference on Control, Automation and Artificial Intelligence (CAAI 2017), Wuhan, China, 7–9 April 2017; pp. 447–450. [Google Scholar]
- Lu, Z.-Y.; Ren, Y.-Q.; Ba, B.; Wang, D.-M.; Zhang, J. An improved direct position determination method based on correlation accumulation of short-time signals with variable velocity receivers. Acta Phys. Sin. 2017, 66, 020503. [Google Scholar] [CrossRef]
- Wang, Y.L.; Wu, Y.; Yi, S.C. An efficient direct position determination algorithm combined with time delay and Doppler. Circuits Syst. Signal Process. 2016, 35, 635–649. [Google Scholar] [CrossRef]
- Demissie, B.; Oispuu, M.; Ruthotto, E. Localization of multiple sources with a moving array using subspace data fusion. In Proceedings of the International Conference on Information Fusion, Cologne, Germany, 30 June–3 July 2008; pp. 131–137. [Google Scholar]
- Oispuu, M.; Nickel, U. Direct detection and position determination of multiple sources with intermittent emission. Signal Process. 2010, 90, 3056–3064. [Google Scholar] [CrossRef]
- Yin, J.X.; Wu, Y.; Wang, D. Direct position determination of multiple noncircular sources with a moving array. Circuits Syst. Signal Process. 2017, 36, 4050–4076. [Google Scholar] [CrossRef]
- Zheng, G.; Tang, J. DOD and DOA estimation in bistatic MIMO radar for nested and coprime array with closed-form DOF. Int. J. Electron. 2016, 104, 885–897. [Google Scholar] [CrossRef]
- Vaidyanathan, P.P.; Pal, P. Sparse Sensing With Co-Prime Samplers and Arrays. IEEE Trans. Signal Process. 2011, 59, 573–586. [Google Scholar] [CrossRef]
- Chen, H.; Hou, C.; Zhu, W.P.; Liu, W.; Dong, Y.Y.; Peng, Z.; Wang, Q. ESPRIT-like two-dimensional direction finding for mixed circular and strictly noncircular sources based on joint diagonalization. Signal Process. 2017, 141, 48–56. [Google Scholar] [CrossRef]
- Zhang, Y.D.; Qin, S.; Amin, M.G. Doa estimation exploiting coprime arrays with sparse sensor spacing. In Proceedings of the IEEE International Conference on Acoustics, Speech and Signal Processing (ICASSP 2014), Florence, Italy, 4–9 May 2014; pp. 2267–2271. [Google Scholar]
- Qin, S.; Zhang, Y.D.; Amin, M.G.; Gini, F. Frequency diverse coprime arrays with coprime frequency offsets for multi-target localization. IEEE J. Sel. Top. Signal Process. 2017, 11, 321–335. [Google Scholar] [CrossRef]
- Qin, S.; Zhang, Y.D.; Amin, M.G. Multi-target localization using frequency diverse coprime arrays with coprime frequency offsets. In Proceedings of the Radar Conference, Philadelphia, PA, USA, 2–6 May 2016; pp. 1–5. [Google Scholar]
- Bin, B.; Liu, G.-C.; Li, T.; Lin, Y.-C.; Wang, Y. Joint for time of arrival and direction of arrival estimation algorithm based on the subspace of extended hadamard product. Acta Phys. Sin. 2015, 64, 078403. [Google Scholar] [CrossRef]
- Liu, C.L.; Vaidyanathan, P.P. Cramér–Rao bounds for coprime and other sparse arrays, which find more sources than sensors. Digit. Signal Process. 2017, 61, 43–61. [Google Scholar] [CrossRef]
- Stoica, P.; Nehorai, A. MUSIC, maximum likelihood, and Cramer-Rao bound. IEEE Trans. Acoust. Speech Signal Process. 1989, 37, 720–741. [Google Scholar] [CrossRef]














| Simulation Parameters | Value |
|---|---|
| sensor spacing | |
| antenna number | |
| source number | |
| source position | (−1200, 560), (1000, −574) |
| snapshot number | |
| observation location number | |
| carrier frequency | |
| speed of light | |
| Monte Carlo times | |
| signal-to-noise ratio (SNR) | SNR = 10~20 dB |
© 2018 by the authors. Licensee MDPI, Basel, Switzerland. This article is an open access article distributed under the terms and conditions of the Creative Commons Attribution (CC BY) license (http://creativecommons.org/licenses/by/4.0/).
Share and Cite
Zhang, Y.; Ba, B.; Wang, D.; Geng, W.; Xu, H. Direct Position Determination of Multiple Non-Circular Sources with a Moving Coprime Array. Sensors 2018, 18, 1479. https://doi.org/10.3390/s18051479
Zhang Y, Ba B, Wang D, Geng W, Xu H. Direct Position Determination of Multiple Non-Circular Sources with a Moving Coprime Array. Sensors. 2018; 18(5):1479. https://doi.org/10.3390/s18051479
Chicago/Turabian StyleZhang, Yankui, Bin Ba, Daming Wang, Wei Geng, and Haiyun Xu. 2018. "Direct Position Determination of Multiple Non-Circular Sources with a Moving Coprime Array" Sensors 18, no. 5: 1479. https://doi.org/10.3390/s18051479
APA StyleZhang, Y., Ba, B., Wang, D., Geng, W., & Xu, H. (2018). Direct Position Determination of Multiple Non-Circular Sources with a Moving Coprime Array. Sensors, 18(5), 1479. https://doi.org/10.3390/s18051479

