Mobile User Connectivity in Relay-Assisted Visible Light Communications
Abstract
1. Introduction
2. Relay-VLC Deployment in the Indoor Environment
3. System Model
3.1. VLC Channel
3.2. Mobile User
3.3. Noise
3.4. Modulation
3.5. Relay Assisted Models
3.5.1. Analytical Performance of AF Relaying
3.5.2. Analytical Performance of Selective DF Relaying
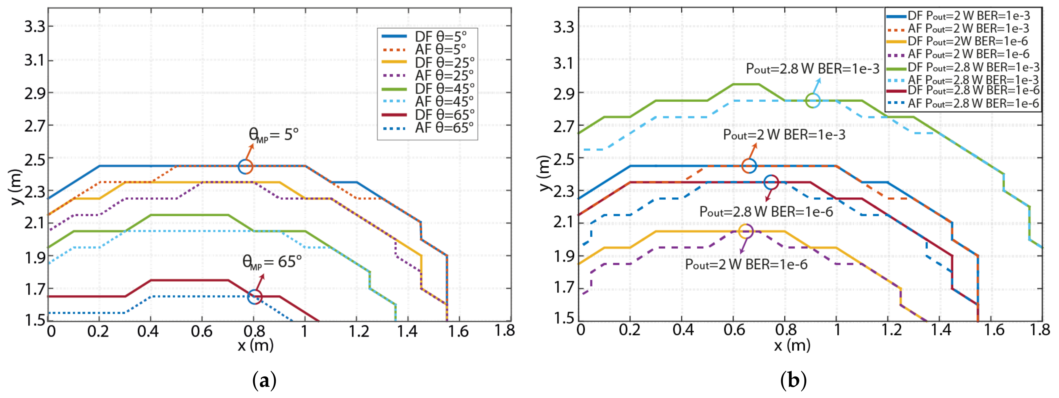
4. Simulation Results
5. Conclusions
Acknowledgments
Author Contributions
Conflicts of Interest
References
- Barnett, T.J.; Sumits, A.; Jain, S.; Andra, U. Cisco Visual Networking in Update Global Mobile Data Traffic Forecast, 2016–2021—White paper. Available online: https://cisco.com (accessed on 28 November 2017).
- Ghassemlooy, Z.; Alves, L.N.; Zvanovec, S.; Khalighi, M.A. Visible Light Communications Theory and Applications; Taylor & Francis Group: New York, NY, USA, 2017; ISBN 9781498767538. [Google Scholar]
- Ghassemlooy, Z.; Arnon, S.; Uysal, M.; Xu, Z.; Cheng, J. Emerging Optical Wireless Communications-Advances and Challenges. IEEE J. Sel. Areas Commun. 2015, 33, 1738–1749. [Google Scholar] [CrossRef]
- Elgala, H.; Mesleh, R.; Haas, H. Indoor Optical Wireless Communication: Potential and State-of-the-Art. IEEE Commun. Mag. 2008, 49, 56–62. [Google Scholar] [CrossRef]
- Grubor, J.; Randel, S.; Langer, K.D.; Walewski, J.W. Broadband Information Broadcasting using LED-Based Interior Lighting. J. Light. Technol. 2008, 26, 3883–3892. [Google Scholar] [CrossRef]
- Rajbhandari, S.; McKendry, J.J.D.; Herrnsdorf, J.; Chun, H.; Faulkner, G.; Haas, H.; Watson, I.M.; O’Brien, D. A Review of Gallium Nitride LEDs for Multi-Gigabit-per-Second Visible Light Data Communications. Semicond. Sci. Technol. 2017, 32, 23001. [Google Scholar] [CrossRef]
- Wang, Y.; Huang, X.; Tao, L.; Shi, J.; Chi, N. 4.5-Gb/s RGB-LED Based WDM Visible Light Communication System Employing CAP Modulation and RLS Based Adaptive Equalization. Opt. Express 2015, 23, 13626–13633. [Google Scholar] [CrossRef] [PubMed]
- Huang, X.; Wang, Z.; Shi, J.; Wang, Y.; Chi, N. 1.6 Gbit/s Phosphorescent White LED Based VLC Transmission using a Cascaded Pre-Equalization Circuit and a Differential Outputs PIN Receiver. Opt. Express 2015, 23, 22034–22042. [Google Scholar] [CrossRef] [PubMed]
- Ding, D.; Ke, X. A New Indoor VLC Channel Model Based on Reflection. Optoelectron. Lett. 2010, 6, 295–298. [Google Scholar] [CrossRef]
- Wang, Q.; Wang, Z.; Dai, L. Multiuser MIMO-OFDM for Visible Light Communications. IEEE Photonics J. 2015, 7, 1–11. [Google Scholar] [CrossRef]
- Chvojka, P.; Zvanovec, S.; Haigh, P.A.; Ghassemlooy, Z. Channel Characteristics of Visible Light Communications within Dynamic Indoor Environment. J. Light. Technol. 2015, 33, 1719–1725. [Google Scholar] [CrossRef]
- Chen, Z.; Tsonev, D.; Haas, H. Improving SINR in Indoor Cellular Visible Light Communication Networks. In Proceedings of the 2014 IEEE International Conference on Communications, Sydney, Australia, 10–14 June 2014; pp. 3383–3388. [Google Scholar]
- Burton, A.; Ghassemlooy, Z.; Rajbhandari, S.; Liaw, S.K. Design and Analysis of an Angular-Segmented Full-Mobility Visible Light Communications Receiver. Trans. Emerg. Telecommun. Technol. 2014, 25, 591–599. [Google Scholar] [CrossRef]
- 802.15.7-2011—IEEE Standard for Local and Metropolitan Area Networks–Part 15.7: Short-Range Wireless Optical Communication Using Visible Light; IEEE: Piscataway, NJ, USA, 2011; pp. 1–309. [CrossRef]
- Yang, H.; Pandharipande, A. Full-Duplex Relay VLC in LED Lighting Triangular System Topology. In Proceedings of the 2014 6th International Symposium on Communications, Control and Signal Processing, Athens, Greece, 21–23 May 2014; pp. 85–88. [Google Scholar]
- Chowdhury, H.; Katz, M. Cooperative Multihop Connectivity Performance in Visible Light Communications. In Proceedings of the 2013 IFIP Wireless Days, Valencia, Spain, 13–15 November 2013; pp. 1–4. [Google Scholar]
- Kashef, M.; Torky, A.; Abdallah, M.; Al-Dhahir, N.; Qaraqe, K. On the Achievable Rate of a Hybrid PLC/VLC/RF Communication System. In Proceedings of the 2015 IEEE Global Communications Conference, San Diego, CA, USA, 6–10 December 2015; pp. 1–6. [Google Scholar]
- Hussain, S.I.; Abdallah, M.M.; Qaraqe, K.A. Hybrid Radio-Visible Light Downlink Performance in RF Sensitive Indoor Environments. In Proceedings of the 2014 6th International Symposium on Communications, Control and Signal Processing, Athens, Greece, 21–23 May 2014; pp. 81–84. [Google Scholar]
- Narmanlioglu, O.; Kizilirmak, R.C.; Uysal, M. Relay-Assisted OFDM-Based Visible Light Communications over Multipath Channels. In Proceedings of the 2015 17th International Conference on Transparent Optical Networks, Budapest, Hungary, 5–9 July 2015; pp. 1–4. [Google Scholar]
- Kizilirmak, R.C.; Narmanlioglu, O.; Uysal, M. Relay-Assisted OFDM-Based Visible Light Communications. IEEE Trans. Commun. 2015, 63, 3765–3778. [Google Scholar] [CrossRef]
- Komine, T.; Nakagawa, M. Fundamental Analysis for Visible-Light Communication System using LED Lights. IEEE Trans. Consum. Electron. 2004, 50, 100–107. [Google Scholar] [CrossRef]
- Lee, K.; Park, H.; Barry, J.R. Indoor Channel Characteristics for Visible Light Communications. IEEE Commun. Lett. 2011, 15, 217–219. [Google Scholar] [CrossRef]
- Hayasaka, N.; Ito, T. Channel Modeling of Nondirected Wireless Infrared Indoor Diffuse Link. Electron. Commun. Jpn. 2007, 90, 9–19. [Google Scholar] [CrossRef]
- Chen, Y.; Sung, C.W.; Ho, S.W.; Wong, W.S. BER Analysis for Interfering Visible Light Communication Systems. In Proceedings of the 2016 10th International Symposium on Communication Systems, Networks and Digital Signal Processing, Prague, Czech Republic, 20–22 July 2016; pp. 1–6. [Google Scholar]
- Cisco Service Provider Wi-Fi: A Platform for Business Innovation and Revenue Generation. Available online: https://cisco.com (accessed on 28 November 2017).
- Miramirkhani, F.; Uysal, M. Channel Modeling and Characterization for Visible Light Communications. IEEE Photon. J. 2015, 7, 1–16. [Google Scholar] [CrossRef]
- Rodriguez, S.P.; Perez-Jimenez, R.; Lopez-Hernandez, F.J.; Gonzalez, O.; Ayala, A. Reflection Model for Calculation of the Impulse Response on IR-Wireless Indoor Channels using Ray-Tracing Algorithm. Microw. Opt. Technol. Lett. 2002, 32, 296–300. [Google Scholar] [CrossRef]
- Rodriguez, S.P.; Perez-Jimenez, R.; Mendoza, B.R.; Lopez-Hernandez, F.J.; Ayala, A. Simulation of Impulse Response for Indoor Visible Light Communications using 3D CAD Models. EURASIP J. Wirel. Commun. Netw. 2013, 2013, 1–10. [Google Scholar] [CrossRef]
- Del Campo-Jimenez, G.; Perandones, J.M.; Lopez-Hernandez, F.J. A VLC-Based Beacon Location System for Mobile Applications. In Proceedings of the 2013 International Conference on Localization and GNSS, Turin, Italy, 25–27 June 2013; pp. 3–6. [Google Scholar]
- How Do Users Really Hold Mobile Devices? Available online: http://uxmatters.com (accessed on 20 November 2017).
- Ding, N.; Wagner, D.; Chen, X.; Hu, Y.C.; Rice, A. Characterizing and Modeling the Impact of Wireless Signal Strength on Smartphone Battery Drain. ACM SIGMETRICS Perform. Eval. Rev. 2013, 41, 29–40. [Google Scholar] [CrossRef]
- Yu, M.; Li, J. Is Amplify-and-Forward Practically Better than Decode-and-Forward or Vice Versa? In Proceedings of the 2005 IEEE International Conference on Acoustics, Speech and Signal Processing, Philadelphia, PA, USA, 23 March 2005; pp. 365–368. [Google Scholar]
- Bhatnagar, M.R. Performance Analysis of Decode-and-Forward Relaying in Gamma-Gamma Fading Channels. IEEE Photon. Technol. Lett. 2012, 24, 545–547. [Google Scholar] [CrossRef]








| Parameter | Symbol | Value | 
|---|---|---|
| Room size | - | 5 × 5 × 3 m | 
| No. of rays | - | 100,000 | 
| No. of reflection | - | 5 | 
| Time resolution | 0.2 ns | |
| Bit rate | - | 100 Mb/s | 
| Reflectivity of walls | 0.74 | |
| Reflectivity of ceiling | 0.38 | |
| Reflectivity of floor | 0.61 | |
| Smoothness of the reflecting material | u | 1 | 
| Tx position | - | 2.5 × 2.5 × 2.8 m | 
| Tx power per LED | - | 20 mW | 
| Size of the LED array | - | 60 × 60 | 
| Semiangle at half power | 60 | |
| Tx elevation | - | –90 | 
| Tx azimuth | - | 0 | 
| Parameter | Symbol | Value | 
|---|---|---|
| Rx area | 1 cm | |
| Effective area of a photodiode | 50 | |
| Photodetector responsivity | 0.53 A/W | |
| Optical filter concentrator | 1 | |
| Optical concentrator gain | g | 3 | 
| User position | - | 0.5 × 0.5 × 1.2 m | 
| Rx elevation | - | 50 | 
| Rx azimuth | - | 90 | 
| TxRN power per LED | - | 200 mW | 
| Size of LEDs | - | 1 × 10, 1 × 14 | 
| Semiangle at half power | 60 | |
| Background dark current | 10 nA | |
| Noise bandwidth factors | , | 0.562, 0.0868 | 
| Absolute temperature | 295 K | |
| Open-loop voltage gain | G | 10 | 
| Capacitance | 112 × 10-8 F/m2 | |
| FET channel noise factor | 1.5 | |
| FET transconductance | 0.03 S | 
© 2018 by the authors. Licensee MDPI, Basel, Switzerland. This article is an open access article distributed under the terms and conditions of the Creative Commons Attribution (CC BY) license (http://creativecommons.org/licenses/by/4.0/).
Share and Cite
Pešek, P.; Zvanovec, S.; Chvojka, P.; Bhatnagar, M.R.; Ghassemlooy, Z.; Saxena, P. Mobile User Connectivity in Relay-Assisted Visible Light Communications. Sensors 2018, 18, 1125. https://doi.org/10.3390/s18041125
Pešek P, Zvanovec S, Chvojka P, Bhatnagar MR, Ghassemlooy Z, Saxena P. Mobile User Connectivity in Relay-Assisted Visible Light Communications. Sensors. 2018; 18(4):1125. https://doi.org/10.3390/s18041125
Chicago/Turabian StylePešek, Petr, Stanislav Zvanovec, Petr Chvojka, Manav R. Bhatnagar, Zabih Ghassemlooy, and Prakriti Saxena. 2018. "Mobile User Connectivity in Relay-Assisted Visible Light Communications" Sensors 18, no. 4: 1125. https://doi.org/10.3390/s18041125
APA StylePešek, P., Zvanovec, S., Chvojka, P., Bhatnagar, M. R., Ghassemlooy, Z., & Saxena, P. (2018). Mobile User Connectivity in Relay-Assisted Visible Light Communications. Sensors, 18(4), 1125. https://doi.org/10.3390/s18041125
 
        




 
       