Evaluating Heavy Metal Stress Levels in Rice Based on Remote Sensing Phenology
Abstract
:1. Introduction
2. Study Area and Materials
2.1. Study Area
2.2. Data Collection
3. Methods
3.1. Creation of Daily Continuous NDVI Time Series
3.2. Derivation of Rice Phenological Characteristics
3.3. Acquisition of WRT Based on Assimilation Algorithm
4. Results
4.1. Agreement Assessment of NDVI Time Series
4.2. Extraction of Rice Phenology and WRT
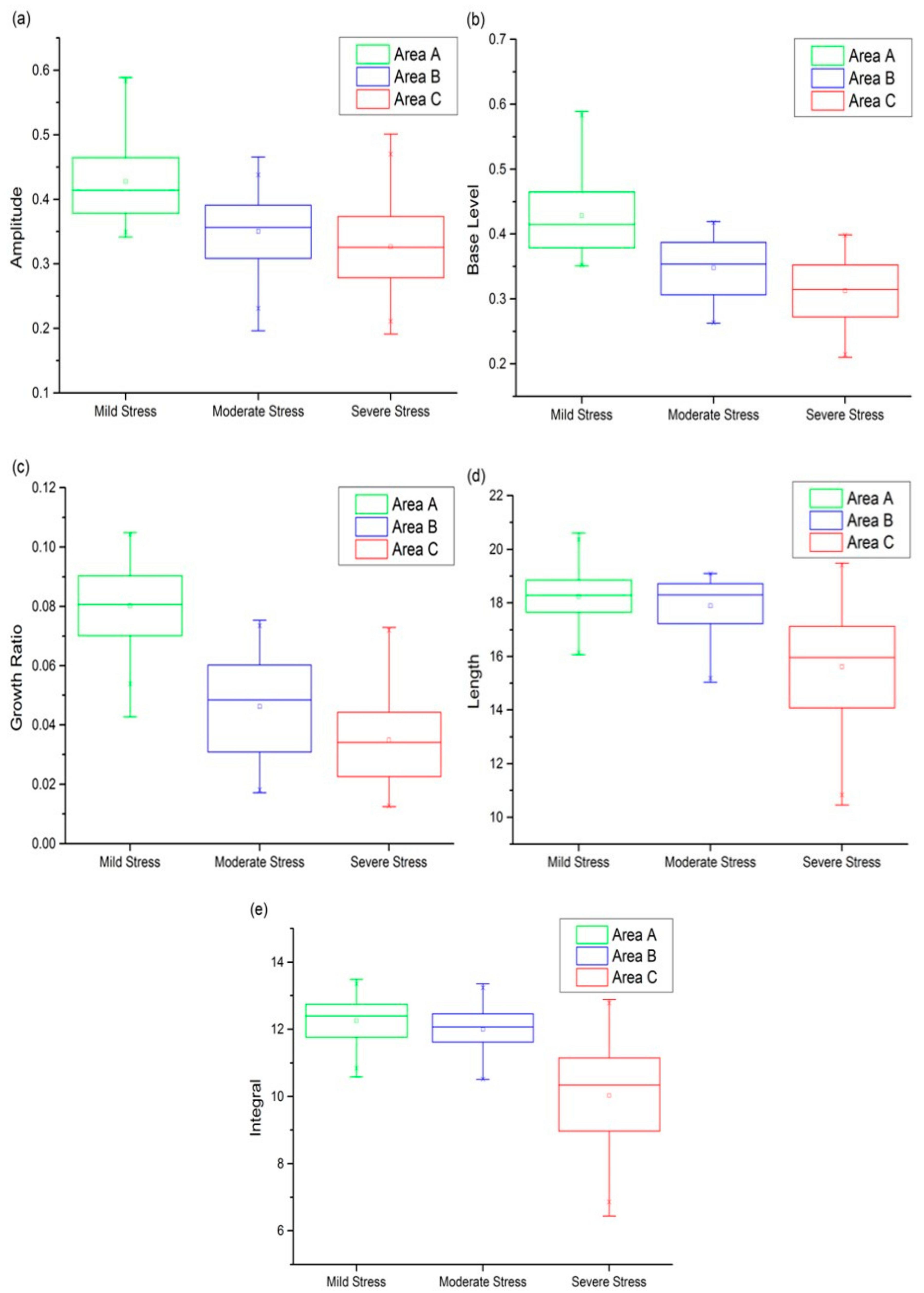
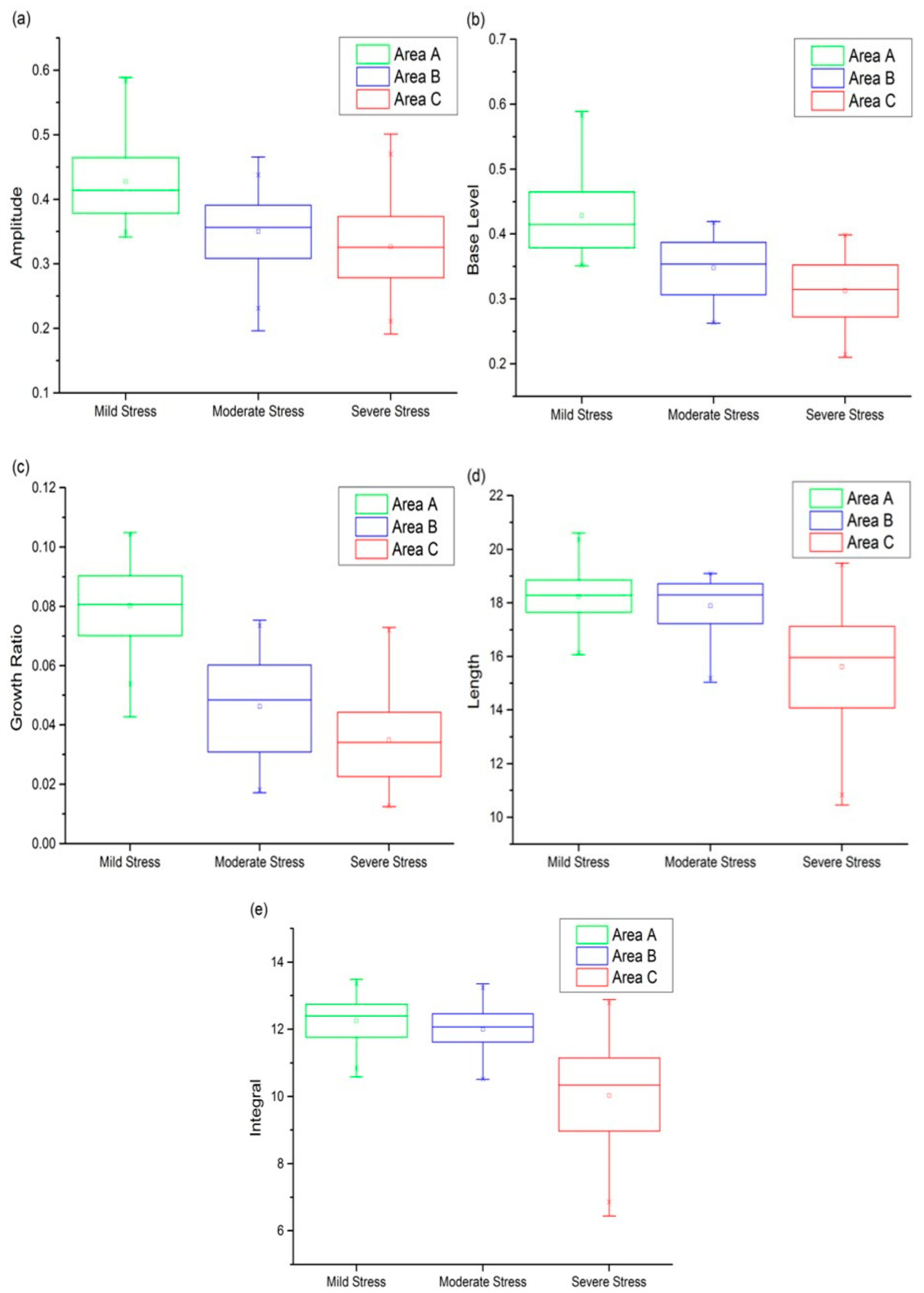
4.3. Sensitivity Analysis of Different Phenological Indicators during Heavy Metal Stress
4.4. Differentiation of Heavy Metal Stress Levels Based on Feature Space
5. Discussion and Conclusions
Acknowledgments
Author Contributions
Conflicts of Interest
References
- Lei, M.; Tie, B.Q.; Song, Z.G.; Liao, B.H.; Lepo, J.E.; Huang, Y.Z. Heavy metal pollution and potential health risk assessment of white rice around mine areas in Hunan Province, China. Food Secur. 2015, 7, 45–54. [Google Scholar] [CrossRef]
- Zhang, X.; Zhong, T.; Liu, L.; Ouyang, X. Impact of soil heavy metal pollution on food safety in China. PLoS ONE 2015, 10, e0135182. [Google Scholar] [CrossRef] [PubMed]
- Dias, M.C.; Monteiro, C.; Moutinho-Pereira, J.; Correia, C.; Gonçalves, B.; Santos, C. Cadmium toxicity affects photosynthesis and plant growth at different levels. Acta Physiol. Plant. 2013, 35, 1281–1289. [Google Scholar] [CrossRef]
- Li, W.; Xu, B.; Song, Q.; Liu, X.; Xu, J.; Brookes, P.C. The identification of ‘hotspots’ of heavy metal pollution in soil-rice systems at a regional scale in eastern China. Sci. Total Environ. 2014, 472, 407–420. [Google Scholar] [CrossRef] [PubMed]
- Wei, S.; Chen, B.M.; Lin, L. Soil heavy metal pollution of cultivated land in China. Res. Soil Water Conserv. 2013, 20, 293–298. [Google Scholar]
- Deng-Wei, W.U.; Yun-Zhao, W.U.; Hong-Rui, M.A. Review on remote sensing monitoring on contaminated plant. Remote Sens. Technol. Appl. 2009, 24, 238–245. [Google Scholar]
- Liu, F.; Liu, X.; Zhao, L.; Ding, C.; Jiang, J.; Wu, L. The dynamic assessment model for monitoring cadmium stress levels in rice based on the assimilation of remote sensing and the WOFOST model. IEEE J. Sel. Top. Appl. Earth Obs. Remote Sens. 2015, 8, 1330–1338. [Google Scholar] [CrossRef]
- Ren, H.Y.; Zhuang, D.F.; Pan, J.J.; Shi, X.Z.; Wang, H.J. Hyper-spectral remote sensing to monitor vegetation stress. J. Soils Sediments 2008, 8, 323–326. [Google Scholar] [CrossRef]
- Wagner, G.J. Accumulation of cadmium in crop plants and its consequences to human health. Adv. Agron. 1993, 51, 173–212. [Google Scholar]
- Wang, Q.E.; Zeng, Y.; Mei, L.I. Advances on the effect of cadmium damage on physiology and ecology of rice. North Rice 2007, 4, 12–26. [Google Scholar]
- Rengel, Z.; Elliott, D.C. Mechanism of aluminum inhibition of net 45Ca2+ uptake by Amaranthus protoplasts. Plant Physiol. 1992, 98, 632–638. [Google Scholar] [CrossRef] [PubMed]
- Zhao, H.; Yang, Z.; Di, L.; Pei, Z. Evaluation of Temporal Resolution Effect in Remote Sensing Based Crop Phenology Detection Studies; Springer: Berlin/Heidelberg, Germany, 2011; pp. 135–150. [Google Scholar]
- Brown, M.E.; Beurs, K.M.D. Evaluation of multi-sensor semi-arid crop season parameters based on NDVI and rainfall. Remote Sens. Environ. 2008, 112, 2261–2271. [Google Scholar] [CrossRef]
- Dubovyk, O.; Landmann, T.; Dietz, A.; Menz, G. Quantifying the impacts of environmental factors on vegetation dynamics over climatic and management gradients of central Asia. Remote Sens. 2016, 8, 600. [Google Scholar] [CrossRef]
- Liu, S.; Liu, X.; Liu, M.; Wu, L.; Ding, C.; Huang, Z. Extraction of rice phenological differences under heavy metal stress using EVI time-series from HJ-1A/B Data. Sensors 2017, 17, 1243. [Google Scholar] [CrossRef]
- Menzel, A. Trends in phenological phases in Europe between 1951 and 1996. Int. J. Biometeorol. 2000, 44, 76–81. [Google Scholar] [CrossRef] [PubMed]
- Reed, B.C.; Brown, J.F.; Vanderzee, D.; Loveland, T.R.; Merchant, J.W.; Ohlen, D.O. Measuring phenological variability from satellite imagery. J. Veg. Sci. 1994, 5, 703–714. [Google Scholar] [CrossRef]
- Carlson, T.N.; Ripley, D.A. On the relation between NDVI, fractional vegetation cover, and leaf area index. Remote Sens. Environ. 1997, 62, 241–252. [Google Scholar] [CrossRef]
- Clauss, K.; Yan, H.; Kuenzer, C. Mapping paddy rice in China in 2002, 2005, 2010 and 2014 with modis time series. Remote Sens. 2016, 8, 434. [Google Scholar] [CrossRef]
- Dong, J.; Xiao, X.; Kou, W.; Qin, Y.; Zhang, G.; Li, L.; Jin, C.; Zhou, Y.; Wang, J.; Biradar, C. Tracking the dynamics of paddy rice planting area in 1986–2010 through time series Landsat images and phenology-based algorithms. Remote Sens. Environ. 2015, 160, 99–113. [Google Scholar] [CrossRef]
- Kanda, E.; Torigoe, Y.; Kobayashi, T. The methods to estimate the increase of leaf numbers for predicting phenology of rice plant. Jpn. J. Crop Sci. 1999, 68, 62–63. [Google Scholar]
- Singha, M.; Wu, B.; Zhang, M. An object-based paddy rice classification using multi-spectral data and crop phenology in Assam, Northeast India. Remote Sens. 2016, 8, 479. [Google Scholar] [CrossRef]
- Son, N.T.; Chen, C.F.; Chen, C.R.; Duc, H.N.; Chang, L.Y. A phenology-based classification of time-series modis data for rice crop monitoring in the Mekong Delta, Vietnam. Remote Sens. 2013, 6, 135–156. [Google Scholar] [CrossRef]
- Boschetti, M.; Stroppiana, D.; Brivio, P.A.; Bocchi, S. Multi-year monitoring of rice crop phenology through time series analysis of MODIS images. Int. J. Remote Sens. 2009, 30, 4643–4662. [Google Scholar] [CrossRef]
- Chen, C.R.; Chen, C.F.; Son, N.T.; Change, L.Y. Blending multi-temporal SPOT and MODIS imageries for rice crop phenology detection. In Proceedings of the ACRS 2013 Conference, Bali, Indonesia, 20–24 October 2013. [Google Scholar]
- De Bernardis, C.; Vicenteguijalba, F.; Martinezmarin, T.; Lopezsanchez, J. Particle filter approach for real-time estimation of crop phenological states using time series of NDVI images. Remote Sens. 2016, 8, 610. [Google Scholar] [CrossRef]
- Motohka, T.; Nasahara, K.N.; Oguma, H.; Tsuchida, S. Applicability of green-red vegetation index for remote sensing of vegetation phenology. Remote Sens. 2010, 2, 2369–2387. [Google Scholar] [CrossRef]
- Pan, Z.; Huang, J.; Zhou, Q.; Wang, L.; Cheng, Y.; Zhang, H.; Blackburn, G.A.; Yan, J.; Liu, J. Mapping crop phenology using NDVI time-series derived from HJ-1 A/B Data. Int. J. Appl. Earth Obs. Geoinf. 2015, 34, 188–197. [Google Scholar] [CrossRef]
- Studer, S.; Stöckli, R.; Appenzeller, C.; Vidale, P.L. A comparative study of satellite and ground-based phenology. Int. J. Biometeorol. 2007, 51, 405–414. [Google Scholar] [CrossRef] [PubMed]
- Zheng, H.; Cheng, T.; Yao, X.; Deng, X.; Tian, Y.; Cao, W.; Zhu, Y. Detection of rice phenology through time series analysis of ground-based spectral index data. Field Crops Res. 2016, 198, 131–139. [Google Scholar] [CrossRef]
- Das, P.; Samantaray, S.; Rout, G.R. Studies on cadmium toxicity in plants: A review. Environ. Pollut. 1997, 98, 29–36. [Google Scholar] [CrossRef]
- Daud, M.K.; Sun, Y.Q.; Dawood, M.; Hayat, Y.; Variath, M.T.; Wu, Y.X.; Mishkat, U.; Salahuddin; Najeeb, U. Cadmium-induced functional and ultrastructural alterations in roots of two transgenic cotton cultivars. Cotton Sci. 2008, 161, 463–473. [Google Scholar]
- Singh, R.; Jwa, N.S. Understanding the responses of rice to environmental stress using proteomics. J. Proteome Res. 2013, 12, 4652. [Google Scholar] [CrossRef] [PubMed]
- Wu, L.; Liu, X.; Wang, P.; Zhou, B.; Liu, M.; Li, X. The assimilation of spectral sensing and the wofost model for the dynamic simulation of cadmium accumulation in rice tissues. Int. J. Appl. Earth Obs. Geoinf. 2013, 25, 66–75. [Google Scholar] [CrossRef]
- Diepen, C.A.; Wolf, J.; Keulen, H.; Rappoldt, C. Wofost: A simulation model of crop production. Soil Use Manag. 2010, 5, 16–24. [Google Scholar] [CrossRef]
- Fen, Y.U.; Qian, H.S.; Duan, H.L. Climate suitability of rice and its changes in Huaihe Watershed. Sci. Geogr. Sin. 2008, 28, 537–542. [Google Scholar]
- Zhai, Z.H.; Lin, Z.G.; Chen, H.H.; Chen, Z.H.; Center, G.C. Temporal and spatial variation of temperature suitability index for Brassica parachinesis in Guangdong. Guangdong Agric. Sci. 2016, 3, 14. [Google Scholar]
- Liu, Y.; Tang, Q.; Bai, Z.; Zhang, X.; Zhang, B. The resarch of heavy metals pollution in soil based on the connection of geoaccumulation index and Nemero index. Chin. Agric. Sci. Bull. 2009, 20, 41. [Google Scholar]
- Anderson, J.H.; Weber, K.T.; Gokhale, B.; Chen, F. Intercalibration and evaluation of Resourcesat-1 and Landsat-5 NDVI. Can. J. Remote Sens. 2011, 37, 213–219. [Google Scholar] [CrossRef]
- Peng, L.; Jiang, L.; Feng, Z. Cross-comparison of vegetation indices derived from Landsat-7 enhanced thematic mapper plus (ETM+) and Landsat-8 operational land imager (OLI) sensors. Remote Sens. 2013, 6, 310–329. [Google Scholar]
- Ji, L.; Eidenshink, J.C.; Eidenshink, J.C.; Dwyer, J. Agreement evaluation of AVHRR and MODIS 16-day composite NDVI data sets. Int. J. Remote Sens. 2008, 29, 4839–4861. [Google Scholar] [CrossRef]
- Hird, J.N.; Mcdermid, G.J. Noise reduction of NDVI time series: An empirical comparison of selected techniques. Remote Sens. Environ. 2009, 113, 248–258. [Google Scholar] [CrossRef]
- Julien, Y.; Sobrino, J.A. Comparison of cloud-reconstruction methods for time series of composite NDVI data. Remote Sens. Environ. 2010, 114, 618–625. [Google Scholar] [CrossRef]
- Lipovetsky, S. Double logistic curve in regression modeling. J. Appl. Stat. 2010, 37, 1785–1793. [Google Scholar] [CrossRef]
- Madden, H.H. Comments on the Savitzky-Golay convolution method for least-squares-fit smoothing and differentiation of digital data. Anal. Chem. 1978, 50, 1383–1386. [Google Scholar] [CrossRef]
- Jonsson, P.; Eklundh, L. Seasonality extraction by function fitting to time-series of satellite sensor data. IEEE Trans. Geosci. Remote Sens. 2002, 40, 1824–1832. [Google Scholar] [CrossRef]
- Jönsson, P.; Eklundh, L. Timesat—A program for analyzing time-series of satellite sensor data. Comput. Geosci. 2004, 30, 833–845. [Google Scholar] [CrossRef]
- Beck, P.S.A.; Atzberger, C.; Høgda, K.A.; Johansen, B.; Skidmore, A.K. Improved monitoring of vegetation dynamics at very high latitudes: A new method using modis NDVI. Remote Sens. Environ. 2006, 100, 321–334. [Google Scholar] [CrossRef]
- Julien, Y.; Sobrino, J.A. Global land surface phenology trends from GIMMS database. Int. J. Remote Sens. 2009, 30, 3495–3513. [Google Scholar] [CrossRef]
- Sun, H.S.; Huang, J.F.; Peng, D.L. Detecting major growth stages of paddy rice using MODIS data. J. Remote Sens. 2009, 13, 1122–1137. [Google Scholar]
- Eklundha, L.; Jönssonb, P. Timesat 3.1 Software Manual; Lund University: Lund, Sweden, 2012. [Google Scholar]
- Zhang, J.; Xu, Y. Detecting major phenological stages of rice using modis-EVI data and SYMLET11 wavelet in Northeast China. Acta Ecol. Sin. 2012, 32, 2091–2098. [Google Scholar]
- Jia, Y.; Li, B.; Cheng, Y.; Liu, T.; Guo, Y.; Wu, X.; Wang, L. Comparison between GF-1 images and Landsat-8 images in monitoring maize lai. Trans. Chin. Soc. Agric. Eng. 2015, 31, 173–179. [Google Scholar]
- Kennedy, J.; Eberhart, R. Particle swarm optimization. In Proceedings of the IEEE International Conference on Neural Networks, Piscataway, NJ, USA, 27 November–1 December 1995; pp. 1942–1948. [Google Scholar]
- Eerens, H.; Haesen, D.; Rembold, F.; Urbano, F.; Tote, C.; Bydekerke, L. Image time series processing for agriculture monitoring. Environ. Model. Softw. 2014, 53, 154–162. [Google Scholar] [CrossRef]
- Tong, X.; Brandt, M.; Hiernaux, P.; Herrmann, S.M.; Tian, F.; Prishchepov, A.V.; Fensholt, R. Revisiting the coupling between NDVI trends and cropland changes in the Sahel drylands: A case study in Western Niger. Remote Sens. Environ. 2017, 191, 286–296. [Google Scholar] [CrossRef]
- Du, Y.; Wang, Y.; Xu, M. The source of heavy metal pollution and its effects on the growth and development of rice. Tillage Cultiv. 2004, 61, 13–15. [Google Scholar]












| Study Area | Geographic Location | Content of Cd in Soil (mg/kg) | Quality Standard | Pollution Level |
|---|---|---|---|---|
| A | 113°06′E 27°47′ N | 1.38 | 0.3–1.0 | Mild |
| B | 113°10′E 27°40′ N | 2.31 | Moderate | |
| C | 113°02′E 27°50′ N | 3.28 | Severe |
| Characteristic | CCD | ETM+ | OLI |
|---|---|---|---|
| Spatial Resolution (m) | 30 | 30 | 30 |
| Swath Width (km) | 360 | 185 | 185 |
| Revisit Cycle (days) | 2 | 16 | 16 |
| Scan Technology | push-broom scan | push-broom scan | push-broom scan |
| Sensor Height (km) | 649 | 705 | 705 |
| Spectral Resolution (μm) | band1: 0.43–0.52 | band1: 0.45–0.52 | band1: 0.45–0.51 |
| band2: 0.52–0.60 | band2: 0.52–0.60 | band2: 0.53–0.59 | |
| band3: 0.63–0.69 | band3: 0.63–0.69 | band3: 0.64–0.67 | |
| band4: 0.76–0.90 | band4: 0.76–0.90 | band4: 0.85–0.88 |
| Variable | Definition | Reported Unit |
|---|---|---|
| Start of Season | Starting point of the growing season | Day of year |
| End of Season | Ending point of the growing season | Day of year |
| Length of Season | Interval elapsed from the start to the end of the season | Number of days |
| Base Level | Average of the left and right minimum values | NDVI unit |
| Largest Value | Highest value of a year | NDVI unit |
| Seasonal Amplitude | Difference between the maximum value and the base level | NDVI unit |
| Seasonal Integral | Integral of the function describing the season from season start to season end | (NDVI unit)·(time unit) |
| Rate of Increase or Decrease | Ratio of the difference between the left or right 20% and 80% levels and the corresponding time difference | (NDVI unit)/(time unit) |
| Original | Double Logistic Fitting | Savitzky-Golay Filter | Threshold Wavelet | Forced Wavelet | |
|---|---|---|---|---|---|
| average value | 0.5820 | 0.5946 | 0.5925 | 0.5921 | 0.5919 |
| standard deviation | 0.1351 | 0.1178 | 0.1171 | 0.1205 | 0.1204 |
| root mean square error | / | 0.0624 | 0.0577 | 0.0620 | 0.0649 |
| correlation coefficient | / | 0.8752 | 0.8957 | 0.8775 | 0.8636 |
© 2018 by the authors. Licensee MDPI, Basel, Switzerland. This article is an open access article distributed under the terms and conditions of the Creative Commons Attribution (CC BY) license (http://creativecommons.org/licenses/by/4.0/).
Share and Cite
Liu, T.; Liu, X.; Liu, M.; Wu, L. Evaluating Heavy Metal Stress Levels in Rice Based on Remote Sensing Phenology. Sensors 2018, 18, 860. https://doi.org/10.3390/s18030860
Liu T, Liu X, Liu M, Wu L. Evaluating Heavy Metal Stress Levels in Rice Based on Remote Sensing Phenology. Sensors. 2018; 18(3):860. https://doi.org/10.3390/s18030860
Chicago/Turabian StyleLiu, Tianjiao, Xiangnan Liu, Meiling Liu, and Ling Wu. 2018. "Evaluating Heavy Metal Stress Levels in Rice Based on Remote Sensing Phenology" Sensors 18, no. 3: 860. https://doi.org/10.3390/s18030860
APA StyleLiu, T., Liu, X., Liu, M., & Wu, L. (2018). Evaluating Heavy Metal Stress Levels in Rice Based on Remote Sensing Phenology. Sensors, 18(3), 860. https://doi.org/10.3390/s18030860
