Sub-THz Imaging Using Non-Resonant HEMT Detectors
Abstract
:1. Introduction
2. Materials and Methods
2.1. Si/SiGe MODFET
2.2. Technology-CAD (TCAD) Simulation
2.3. Terahertz Measurements and Imaging
3. Results and Discussion
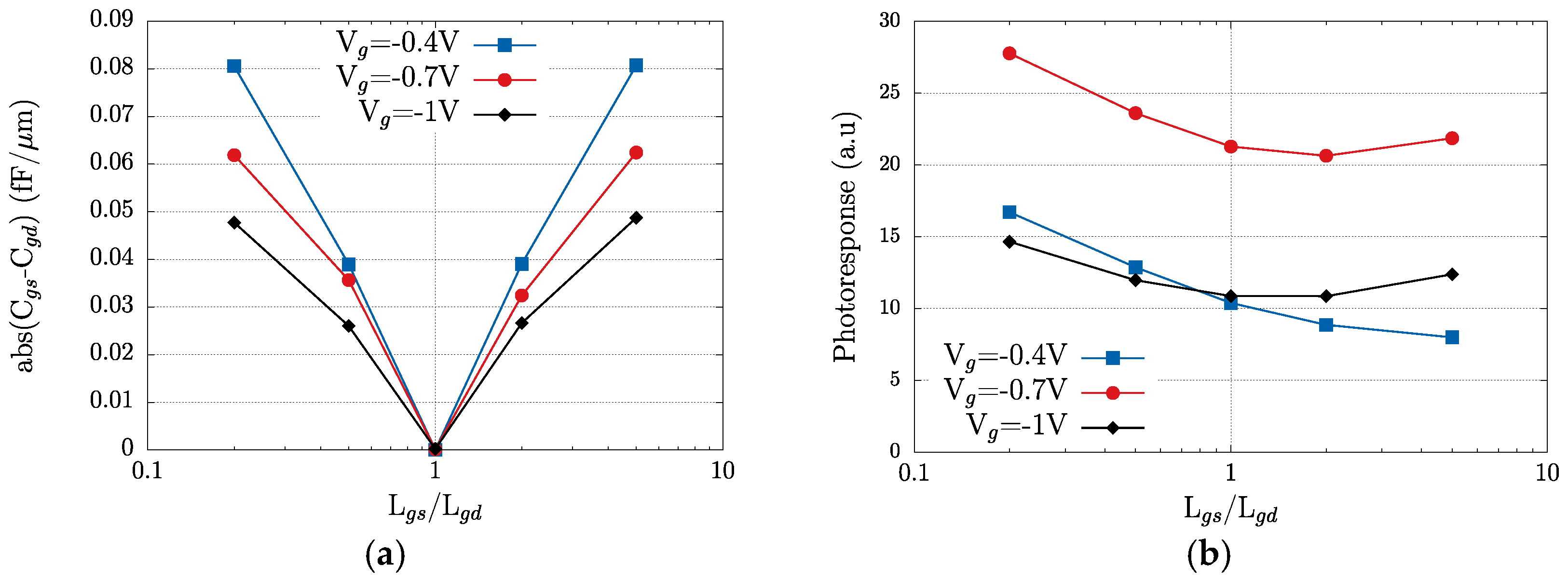
3.1. Electrical Characterization
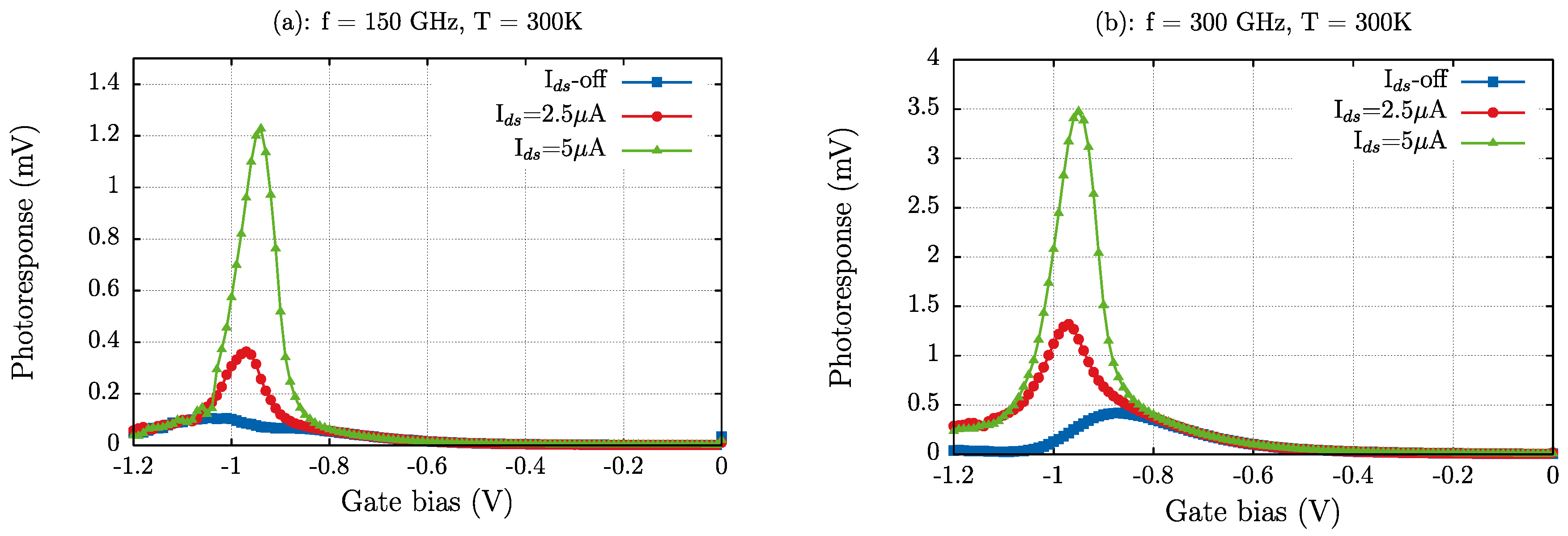
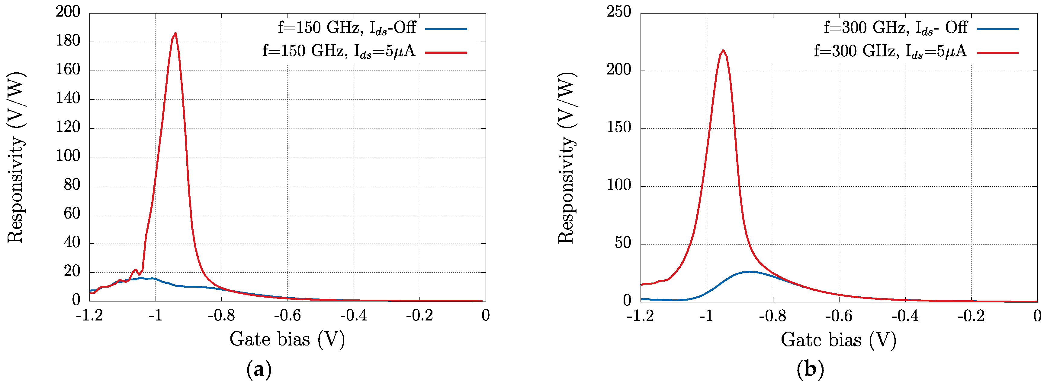
3.2. Terahertz: TCAD and Experimental Characterization. THz Imaging
4. Conclusions
Acknowledgments
Author Contributions
Conflicts of Interest
References
- Rainsford, T.; Mickan, S.P.; Abbott, D. T-ray sensing applications: Review of global developments. In Proceedings of the Conference on Smart Structures, Devices, and Systems II, Sydney, Australia, 13–15 December 2004; pp. 826–838. [Google Scholar]
- Siegel, P.H. Terahertz technology. IEEE Trans. Microw. Theory Tech. 2002, 50, 910–928. [Google Scholar] [CrossRef]
- Siegel, P.H. THz instruments for space. IEEE Trans. Antennas Propag. 2007, 55, 2957–2965. [Google Scholar] [CrossRef]
- De Lucia, F. Spectroscopy in the terahertz spectral region. In Sensing with Terahertz Radiation; Mittleman, D., Ed.; Springer: Berlin, Germany, 2003; pp. 39–115. [Google Scholar]
- Crowe, T.W.; Globus, T.; Woolard, D.L.; Hesler, J.L. Terahertz sources and detectors and their application to biological sensing. Philos. Trans. R. Soc. Lond. A Math. Phys. Eng. Sci. 2004, 362, 365–374. [Google Scholar] [CrossRef] [PubMed]
- Chen, W.; Peng, Y.; Jiang, X.; Zhao, J.; Zhao, H.; Zhu, Y. Isomers identification of 2-hydroxyglutarate acid disodium salt (2HG) by terahertz time-domain spectroscopy. Sci. Rep. 2017, 7, 12166. [Google Scholar] [CrossRef] [PubMed]
- Petrov, V.; Pyattaev, A.; Moltchanov, D.; Koucheryavy, Y. Terahertz band communications: Applications, research challenges, and standardization activities. In Proceedings of the 8th International Congress on Ultra Modern Telecommunications and Control Systems and Workshops (ICUMT), Lisbon, Portugal, 18–20 October 2016; pp. 183–190. [Google Scholar]
- Blin, S.; Tohme, L.; Coquillat, D.; Horiguchi, S.; Minamikata, Y.; Hisatake, S.; Nouvel, P.; Cohen, T.; Penarier, A.; Cano, F.; et al. Wireless communication at 310 GHz using gaas high-electron-mobility transistors for detection. J. Commun. Netw. 2013, 15, 559–568. [Google Scholar] [CrossRef]
- Federici, J.F.; Schulkin, B.; Huang, F.; Gary, D.; Barat, R.; Oliveira, F.; Zimdars, D. THz imaging and sensing for security applications—Explosives, weapons and drugs. Semiconduct. Sci. Technol. 2005, 20, S266–S280. [Google Scholar] [CrossRef]
- Kleine-Ostmann, T. THz metrology. In Proceedings of the 38th International Conference on Infrared, Millimeter, and Terahertz Waves (IRMMW-THz), Mainz, Germany, 1–6 September 2013. [Google Scholar]
- Chan, W.L.; Deibel, J.; Mittleman, D.M. Imaging with terahertz radiation. Rep. Prog. Phys. 2007, 70, 1325–1379. [Google Scholar] [CrossRef]
- Woodward, R.M.; Wallace, V.P.; Pye, R.J.; Cole, B.E.; Arnone, D.D.; Linfield, E.H.; Pepper, M. Terahertz pulse imaging of ex vivo basal cell carcinoma. J. Investig. Dermatol. 2003, 120, 72–78. [Google Scholar] [CrossRef] [PubMed]
- Dyakonov, M.; Shur, M. Shallow-water analogy for a ballistic field-effect transistor: New mechanism of plasma-wave generation by DC current. Phys. Rev. Lett. 1993, 71, 2465–2468. [Google Scholar] [CrossRef] [PubMed]
- Dyakonov, M.I.; Shur, M.S. 2-dimensional electronic flute. Appl. Phys. Lett. 1995, 67, 1137–1139. [Google Scholar] [CrossRef]
- Dyakonov, M.; Shur, M. Detection, mixing, and frequency multiplication of terahertz radiation by two-dimensional electronic fluid. IEEE Trans. Electron Devices 1996, 43, 380–387. [Google Scholar] [CrossRef]
- Knap, W.; Deng, Y.; Rumyantsev, S.; Shur, M.S. Resonant detection of subterahertz and terahertz radiation by plasma waves in submicron field-effect transistors. Appl. Phys. Lett. 2002, 81, 4637–4639. [Google Scholar] [CrossRef]
- Lisauskas, A.; Pfeiffer, U.; Oejefors, E.; Bolivar, P.H.; Glaab, D.; Roskos, H.G. Rational design of high-responsivity detectors of terahertz radiation based on distributed self-mixing in silicon field-effect transistors. J. Appl. Phys. 2009, 105, 114511. [Google Scholar] [CrossRef]
- Preu, S.; Kim, S.; Verma, R.; Burke, P.G.; Vinh, N.Q.; Sherwin, M.S.; Gossard, A.C. Terahertz detection by a homodyne field effect transistor multiplicative mixer. IEEE Trans. Terahertz Sci. Technol. 2012, 2, 278–283. [Google Scholar] [CrossRef]
- Knap, W.; Kachorovskii, V.; Deng, Y.; Rumyantsev, S.; Lu, J.Q.; Gaska, R.; Shur, M.S.; Simin, G.; Hu, X.; Khan, M.A.; et al. Nonresonant detection of terahertz radiation in field effect transistors. J. Appl. Phys. 2002, 91, 9346–9353. [Google Scholar] [CrossRef]
- Knap, W.; Teppe, F.; Meziani, Y.; Dyakonova, N.; Lusakowski, J.; Boeuf, F.; Skotnicki, T.; Maude, D.; Rumyantsev, S.; Shur, M.S. Plasma wave detection of sub-terahertz and terahertz radiation by silicon field-effect transistors. Appl. Phys. Lett. 2004, 85, 675–677. [Google Scholar] [CrossRef]
- Meziani, Y.M.; Lusakowski, J.; Dyakonova, N.; Knap, W.; Seliuta, D.; Sirmulis, E.; Devenson, J.; Valusis, G.; Boeuf, F.; Skotnicki, T. Non resonant response to terahertz radiation by submicron cmos transistors. IEICE Trans. Electron. 2006, E89-C, 993–998. [Google Scholar] [CrossRef]
- Tauk, R.; Teppe, F.; Boubanga, S.; Coquillat, D.; Knap, W.; Meziani, Y.M.; Gallon, C.; Boeuf, F.; Skotnicki, T.; Fenouillet-Beranger, C.; et al. Plasma wave detection of terahertz radiation by silicon field effects transistors: Responsivity and noise equivalent power. Appl. Phys. Lett. 2006, 89, 253511. [Google Scholar] [CrossRef]
- Oejefors, E.; Lisauskas, A.; Glaab, D.; Roskos, H.G.; Pfeiffer, U.R. Terahertz imaging detectors in CMOS technology. J. Infrared Millim. Terahertz Waves 2009, 30, 1269–1280. [Google Scholar]
- Schuster, F.; Coquillat, D.; Videlier, H.; Sakowicz, M.; Teppe, F.; Dussopt, L.; Giffard, B.; Skotnicki, T.; Knap, W. Broadband terahertz imaging with highly sensitive silicon CMOS detectors. Opt. Express 2011, 19, 7827–7832. [Google Scholar] [CrossRef] [PubMed]
- Kurita, Y.; Ducournau, G.; Coquillat, D.; Satou, A.; Kobayashi, K.; Tombet, S.B.; Meziani, Y.M.; Popov, V.V.; Knap, W.; Suemitsu, T.; et al. Ultrahigh sensitive sub-terahertz detection by InP-based asymmetric dual-grating-gate high-electron-mobility transistors and their broadband characteristics. Appl. Phys. Lett. 2014, 104, 251114. [Google Scholar] [CrossRef]
- Watanabe, T.; Boubanga-Tombet, S.A.; Tanimoto, Y.; Fateev, D.; Popov, V.; Coquillat, D.; Knap, W.; Meziani, Y.M.; Wang, Y.; Minamide, H.; et al. InP- and gaas-based plasmonic high-electron-mobility transistors for room-temperature ultrahigh-sensitive terahertz sensing and imaging. IEEE Sens. J. 2013, 13, 88–89. [Google Scholar] [CrossRef]
- Otsuji, T. Trends in the research of modern terahertz detectors: Plasmon detectors. IEEE Trans. Terahertz Sci. Technol. 2015, 5, 1110–1120. [Google Scholar]
- Fobelets, K.; Jeamsaksiri, W.; Papavasilliou, C.; Vilches, T.; Gaspari, V.; Velazquez-Perez, J.E.; Michelakis, K.; Hackbarth, T.; Konig, U. Comparison of sub-micron Si: SiGe heterojunction nFETs to Si nMOSFET in present-day technologies. Solid-State Electron. 2004, 48, 1401–1406. [Google Scholar] [CrossRef]
- Delgado-Notario, J.A.; Meziani, Y.M.; Velazquez-Perez, J.E.; Fobelets, K. Optimization of THz response of strained-Si MODFETs. Phys. Status Solidi C Curr. Top. Solid State Phys. 2015, 12, 1401–1404. [Google Scholar] [CrossRef]
- Delgado Notario, J.A.; Javadi, E.; Calvo-Gallego, J.; Diez, E.; Velazquez, J.E.; Meziani, Y.M.; Fobelets, K. Sub-micron gate length field effect transistors as broad band detectors of terahertz radiation. Fundam. Appl. Probl. Terahertz Devices Technol. 2017, 58, 87–95. [Google Scholar]
- Meziani, Y.M.; Garcia-Garcia, E.; Velazquez-Perez, J.E.; Coquillat, D.; Dyakonova, N.; Knap, W.; Grigelionis, I.; Fobelets, K. Terahertz imaging using strained-Si MODFETs as sensors. Solid-State Electron. 2013, 83, 113–117. [Google Scholar] [CrossRef]
- Rumyantsev, S.L.; Fobelets, K.; Veksler, D.; Hackbarth, T.; Shur, M.S. Strained-Si modulation doped field effect transistors as detectors of terahertz and sub-terahertz radiation. Semiconduct. Sci. Technol. 2008, 23, 105001. [Google Scholar] [CrossRef]
- Gaspari, V.; Fobelets, K.; Velazquez-Perez, J.E.; Hackbarth, T. Dc performance of deep submicrometer schottky-gated n-channel Si: SiGe HFETs at low temperature. IEEE Trans. Electron Devices 2005, 52, 2067–2074. [Google Scholar] [CrossRef]
- Grasser, T.; Tang, T.W.; Kosina, H.; Selberherr, S. A review of hydrodynamic and energy-transport models for semiconductor device simulation. Proc. IEEE 2003, 91, 251–274. [Google Scholar] [CrossRef]
- Meinerzhagen, B.; Engl, W.L. The influence of the thermal-equilibrium approximation on the accuracy of classical two-dimensional numerical modeling of silicon submicrometer mos-transistors. IEEE Trans. Electron Devices 1988, 35, 689–697. [Google Scholar] [CrossRef]
- Taurus Medici: Taurus Taurus User Guide; Version X-2005; Synopsys, Inc.: Mountain View, CA, USA, 2005.
- Martinez, M.J.M.; Pardo, D.; Velazquez, J.E. 2D bipolar monte carlo calculation of current fluctuations at the onset of quasisaturation of a Si BJT. Phys. B Condens. Matter 1999, 272, 263–266. [Google Scholar] [CrossRef]
- Martin, M.J.; Pardo, D.; Velazquez, J.E. Microscopic analysis of the influence of Ge profiles on the current-noise operation mode of n-Si/p-Si1-xGex heterostructures. Semiconduct. Sci. Technol. 2000, 15, 277–285. [Google Scholar] [CrossRef]
- Schaffler, F. High-mobility Si and Ge structures. Semiconduct. Sci. Technol. 1997, 12, 1515–1549. [Google Scholar] [CrossRef]
- Roldan, J.B.; Gamiz, F.; Cartujo-Cassinello, R.; Cartujo, P.; Carceller, J.E.; Roldan, A. Strained-Si on Si1-xGex mosfet mobility model. IEEE Trans. Electron Devices 2003, 50, 1408–1411. [Google Scholar] [CrossRef]
- Caughey, D.M.; Thomas, R.E. Carrier Mobilities in Silicon Empirically Related to Doping and Field. Proc. IEEE 1967, 55, 2192–2193. [Google Scholar] [CrossRef]
- Roldan, J.B.; Gamiz, F.; LopezVillanueva, J.A.; Carceller, J.E. A monte carlo study on the electron-transport properties of high-performance strained-Si on relaxed Si1-xGex channel mosfets. J. Appl. Phys. 1996, 80, 5121–5128. [Google Scholar] [CrossRef]
- Gaspari, V.; Fobelets, K.; Velazquez-Perez, J.E.; Ferguson, R.; Michelakis, K.; Despotopoulos, S.; Papavassilliou, C. Effect of temperature on the transfer characteristic of a 0.5 μm-gate Si: SiGe depletion-mode n-MODFET. Appl. Surf. Sci. 2004, 224, 390–393. [Google Scholar] [CrossRef]
- Delgado Notario, J.A.; Meziani, Y.M.; Velazquez-Perez, J.E. TCAD study of sub-THz photovoltaic response of strained-Si MODFET. In Proceedings of the 19th International Conference on Electron Dynamics in Semiconductors, Optoelectronics and Nanostructures, Salamanca, Spain, 29 June–2 July 2015; Gonzalez, T., Martin-Martinez, M.J., Mateos, J., Eds.; Institute of Physics Publishing: Bristol, UK, 2015; Volume 647. [Google Scholar]
- Teixeira, F.L. Time-domain finite-difference and finite-element methods for maxwell equations in complex media. IEEE Trans. Antennas Propag. 2008, 56, 2150–2166. [Google Scholar] [CrossRef]
- Meziani, Y.M.; Garcia, E.; Calvo, J.; Diez, E.; Velázquez, E.; Fobelets, K.; Knap, W. Detection of Terahertz Radiation from Submicron Plasma Waves Transistors. In Bolometers; Unil Perera, A.G., Ed.; Intech: Rijeka, Croatia, 2012; pp. 137–150. ISBN 978-953-51-0235-9. [Google Scholar]
- Lu, J.Q.; Shur, M.S. Terahertz detection by high-electron-mobility transistor: Enhancement by drain bias. Appl. Phys. Lett. 2001, 78, 2587–2588. [Google Scholar] [CrossRef]
- Popov, V.V.; Fateev, D.V.; Otsuji, T.; Meziani, Y.M.; Coquillat, D.; Knap, W. Plasmonic terahertz detection by a double-grating-gate field-effect transistor structure with an asymmetric unit cell. Appl. Phys. Lett. 2011, 99, 243504. [Google Scholar] [CrossRef]
- Sakowicz, M.; Lusakowski, J.; Karpierz, K.; Grynberg, M.; Gwarek, W.; Boubanga, S.; Coquillat, D.; Knap, W.; Shchepetov, A.; Bollaert, S. A high mobility field-effect transistor as an antenna for sub-THz radiation. AIP Conf. Proc. 2010, 1199, 503–504. [Google Scholar]











| Frequency (GHZ) | Ids (μA) | RV,max (V/W) | NEPmin (pW/√Hz) |
|---|---|---|---|
| 150 | 0 | 16 | 320 |
| 150 | 5 | 186 | 81 |
| 300 | 0 | 26 | 300 |
| 300 | 5 | 218 | 70 |
© 2018 by the authors. Licensee MDPI, Basel, Switzerland. This article is an open access article distributed under the terms and conditions of the Creative Commons Attribution (CC BY) license (http://creativecommons.org/licenses/by/4.0/).
Share and Cite
Delgado-Notario, J.A.; Velazquez-Perez, J.E.; Meziani, Y.M.; Fobelets, K. Sub-THz Imaging Using Non-Resonant HEMT Detectors. Sensors 2018, 18, 543. https://doi.org/10.3390/s18020543
Delgado-Notario JA, Velazquez-Perez JE, Meziani YM, Fobelets K. Sub-THz Imaging Using Non-Resonant HEMT Detectors. Sensors. 2018; 18(2):543. https://doi.org/10.3390/s18020543
Chicago/Turabian StyleDelgado-Notario, Juan A., Jesus E. Velazquez-Perez, Yahya M. Meziani, and Kristel Fobelets. 2018. "Sub-THz Imaging Using Non-Resonant HEMT Detectors" Sensors 18, no. 2: 543. https://doi.org/10.3390/s18020543
APA StyleDelgado-Notario, J. A., Velazquez-Perez, J. E., Meziani, Y. M., & Fobelets, K. (2018). Sub-THz Imaging Using Non-Resonant HEMT Detectors. Sensors, 18(2), 543. https://doi.org/10.3390/s18020543

