Fast Focal Point Correction in Prism-Coupled Total Internal Reflection Scanning Imager Using an Electronically Tunable Lens
Abstract
1. Introduction
2. Materials and Methods
2.1. Total Internal Reflection Oblique-Incidence Reflectivity Difference Microscope (TIR OI-RD)
2.2. Microarray Fabrication and Reaction
2.3. Microarray Detection with the TIR OI-RD Scanning Microscope
3. Results
3.1. Protein Microarray Image Acquired with the Prism-Coupled TIR OI-RD Scanning Microscope without Focal Correction
3.2. Characterization of the Combination of a Tunable Lens and the Fixed F-Theta Lens
3.3. TIR OI-RD Image of the Protein Microarray with Focal Point Correction
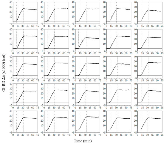
3.4. Association-Dissociation Curves of Biochemical Reactions on a Solid Support Acquired with the Focus-Corrected TIR OI-RD Scanning Microscope
4. Discussion and Conclusions
Acknowledgments
Author Contributions
Conflicts of Interest
References
- Shaw, J.E.; Oreopoulos, J.; Wong, D.; Hsu, J.C.Y.; Yip, C.M. Coupling evanescent-wave fluorescence imaging and spectroscopy with scanning probe microscopy: Challenges and insights from TIRF-AFM. Surf. Interface Anal. 2006, 38, 1459–1471. [Google Scholar] [CrossRef]
- Schneckenburger, H. Total internal reflection fluorescence microscopy: Technical innovations and novel applications. Curr. Opin. Biotechnol. 2005, 16, 13–18. [Google Scholar] [CrossRef] [PubMed]
- Woods, D.A.; Bain, C.D. Total internal reflection spectroscopy for studying soft matter. Soft Matter 2014, 10, 1071–1096. [Google Scholar] [CrossRef] [PubMed]
- Woods, D.A.; Bain, C.D. Total internal reflection Raman spectroscopy. Analyst 2012, 137, 35–48. [Google Scholar] [CrossRef] [PubMed]
- Sund, S.E.; Axelrod, D. Actin dynamics at the living cell submembrane imaged by total internal reflection fluorescence photobleaching. Biophys. J. 2000, 79, 1655–1669. [Google Scholar] [CrossRef]
- Maisonneuve, M.; Song, I.H.; Patskovsky, S.; Meunier, M. Polarimetric total internal reflection biosensing. Opt. Express 2011, 19, 7410–7416. [Google Scholar] [CrossRef] [PubMed]
- Liu, L.; Viallat, A.; Jin, G. Vesicle adhesion visualized with total internal reflection imaging ellipsometry biosensor. Sens. Actuator B-Chem. 2014, 190, 221–226. [Google Scholar] [CrossRef]
- Sun, Y.S.; Landry, J.P.; Fei, Y.Y.; Zhu, X.D. Effect of fluorescently labeling protein probes on kinetics of protein-ligand reactions. Langmuir 2008, 24, 13399–13405. [Google Scholar] [CrossRef] [PubMed]
- Kazarian, S.G.; Chan, K.L.A. Micro- and macro-attenuated total reflection fourier transform infrared spectroscopic imaging. Appl. Spectrosc. 2010, 64, 135A–152A. [Google Scholar] [CrossRef] [PubMed]
- Liebermann, T.; Knoll, W. Parallel multispot detection of target hybridization to surface-bound probe oligonucleotides of different base mismatch by surface-plasmon field-enhanced fluorescence microscopy. Langmuir 2003, 19, 1567–1572. [Google Scholar] [CrossRef]
- Zeng, Y.J.; Hu, R.; Wang, L.; Gu, D.Y.; He, J.N.; Wu, S.Y.; Ho, H.P.; Li, X.J.; Qu, J.L.; Gao, B.Z.; et al. Recent advances in surface plasmon resonance imaging: Detection speed, sensitivity, and portability. Nanophotonics 2017, 6, 1017–1030. [Google Scholar] [CrossRef]
- Sun, Y.S. Use of microarrays as a high-throughput platform for label-free biosensing. J. Lab. Autom. 2015, 20, 334–353. [Google Scholar] [CrossRef] [PubMed]
- Boozer, C.; Kim, G.; Cong, S.X.; Guan, H.W.; Londergan, T. Looking towards label-free biomolecular interaction analysis in a high-throughput format: A review of new surface plasmon resonance technologies. Curr. Opin. Biotechnol. 2006, 17, 400–405. [Google Scholar] [CrossRef] [PubMed]
- Ichihashi, K.; Maehara, T.; Mizutani, Y.; Iwata, T. Proposal of a new optical system for prism-based surface-plasmon-resonance imaging. Opt. Rev. 2017, 24, 156–164. [Google Scholar] [CrossRef]
- Zhang, L.L.; Chen, X.; Wei, H.T.; Li, H.; Sun, J.H.; Cai, H.Y.; Chen, J.L.; Cui, D.F. An electrochemical surface plasmon resonance imaging system targeting cell analysis. Rev. Sci. Instrum. 2013, 84, 085005. [Google Scholar] [CrossRef] [PubMed]
- Chan, K.L.A.; Kazarian, S.G. Attenuated total reflection-fourier transform infrared imaging of large areas using inverted prism crystals and combining imaging and mapping. Appl. Spectrosc. 2008, 62, 1095–1101. [Google Scholar] [CrossRef] [PubMed]
- Chan, K.L.A.; Kazarian, S.G. New opportunities in micro- and macro-attenuated total reflection infrared spectroscopic imaging: Spatial resolution and sampling versatility. Appl. Spectrosc. 2003, 57, 381–389. [Google Scholar] [CrossRef] [PubMed]
- Malovichko, G.; Zhu, X. Single amino acid substitution in the vicinity of a receptor-binding domain changes protein–peptide binding affinity. ACS Omega 2017, 2, 5445–5452. [Google Scholar] [CrossRef]
- Landry, J.P.; Ke, Y.H.; Yu, G.L.; Zhu, X.D. Measuring affinity constants of 1450 monoclonal antibodies to peptide targets with a microarray-based label-free assay platform. J. Immunol. Methods 2015, 417, 86–96. [Google Scholar] [CrossRef] [PubMed]
- Guo, X.X.; Deng, Y.H.; Zhu, C.G.; Cai, J.L.; Zhu, X.D.; Landry, J.P.; Zheng, F.Y.; Cheng, X.J.; Fei, Y.Y. Characterization of protein expression levels with label-free detected reverse phase protein arrays. Anal. Biochem. 2016, 509, 67–72. [Google Scholar] [CrossRef] [PubMed]
- Chen, R.; Zhu, C.G.; Ge, B.L.; Zhu, X.D.; Sun, Y.S.; Mi, L.; Ma, J.R.; Wang, X.; Fei, Y.Y. Detecting signals with direct fast fourier transform for microarray data collection. IEEE Photonics Technol. Lett. 2017, 29, 2211–2214. [Google Scholar] [CrossRef]
- Zhu, C.G.; Chen, R.; Zhu, Y.Z.Y.; Wang, X.; Zhu, X.D.; Mi, L.; Zheng, F.Y.; Fei, Y.Y. Calibration of oblique-incidence reflectivity difference for label-free detection of a molecular layer. Appl. Opt. 2016, 55, 9459–9466. [Google Scholar] [CrossRef] [PubMed]
- Zhu, C.G.; Zhu, X.D.; Landry, J.P.; Cui, Z.M.; Li, Q.F.; Dang, Y.J.; Mi, L.; Zheng, F.Y.; Fei, Y.Y. Developing an efficient and general strategy for immobilization of small molecules onto microarrays using isocyanate chemistry. Sensors 2016, 16, 15. [Google Scholar] [CrossRef] [PubMed]
- Wang, J.J.; Zhu, C.G.; Xia, R.Q.; Yu, W.B.; Dang, Y.J.; Fei, Y.Y.; Yu, L.; Wu, J.X. Epigallocatechin-3-gallate (EGCG) enhances ER stress-induced cancer cell apoptosis by directly targeting PARP16 activity. Cell Death Discov. 2017, 3, e17034. [Google Scholar] [CrossRef] [PubMed]
- Yeo, T.T.E.; Ong, S.H.; Jayasooriah; Sinniah, R. Autofocusing for tissue microscopy. Image Vis. Comput. 1993, 11, 629–639. [Google Scholar] [CrossRef]






© 2018 by the authors. Licensee MDPI, Basel, Switzerland. This article is an open access article distributed under the terms and conditions of the Creative Commons Attribution (CC BY) license (http://creativecommons.org/licenses/by/4.0/).
Share and Cite
Zhu, C.; Ge, B.; Chen, R.; Zhu, X.; Mi, L.; Ma, J.; Wang, X.; Zheng, F.; Fei, Y. Fast Focal Point Correction in Prism-Coupled Total Internal Reflection Scanning Imager Using an Electronically Tunable Lens. Sensors 2018, 18, 524. https://doi.org/10.3390/s18020524
Zhu C, Ge B, Chen R, Zhu X, Mi L, Ma J, Wang X, Zheng F, Fei Y. Fast Focal Point Correction in Prism-Coupled Total Internal Reflection Scanning Imager Using an Electronically Tunable Lens. Sensors. 2018; 18(2):524. https://doi.org/10.3390/s18020524
Chicago/Turabian StyleZhu, Chenggang, Bilin Ge, Ru Chen, Xiangdong Zhu, Lan Mi, Jiong Ma, Xu Wang, Fengyun Zheng, and Yiyan Fei. 2018. "Fast Focal Point Correction in Prism-Coupled Total Internal Reflection Scanning Imager Using an Electronically Tunable Lens" Sensors 18, no. 2: 524. https://doi.org/10.3390/s18020524
APA StyleZhu, C., Ge, B., Chen, R., Zhu, X., Mi, L., Ma, J., Wang, X., Zheng, F., & Fei, Y. (2018). Fast Focal Point Correction in Prism-Coupled Total Internal Reflection Scanning Imager Using an Electronically Tunable Lens. Sensors, 18(2), 524. https://doi.org/10.3390/s18020524

