Statistical Analysis of Stress Signals from Bridge Monitoring by FBG System
Abstract
:1. Introduction
2. Analysis of Stress Monitoring Data
2.1. FBG-Based SHM System
2.2. Data Analysis
3. Probabilistic Modeling of Stress Spectrum
3.1. Multimodal Probabilistic Modeling Method
3.2. Modeling of Stress Spectrum Using Monitoring Data
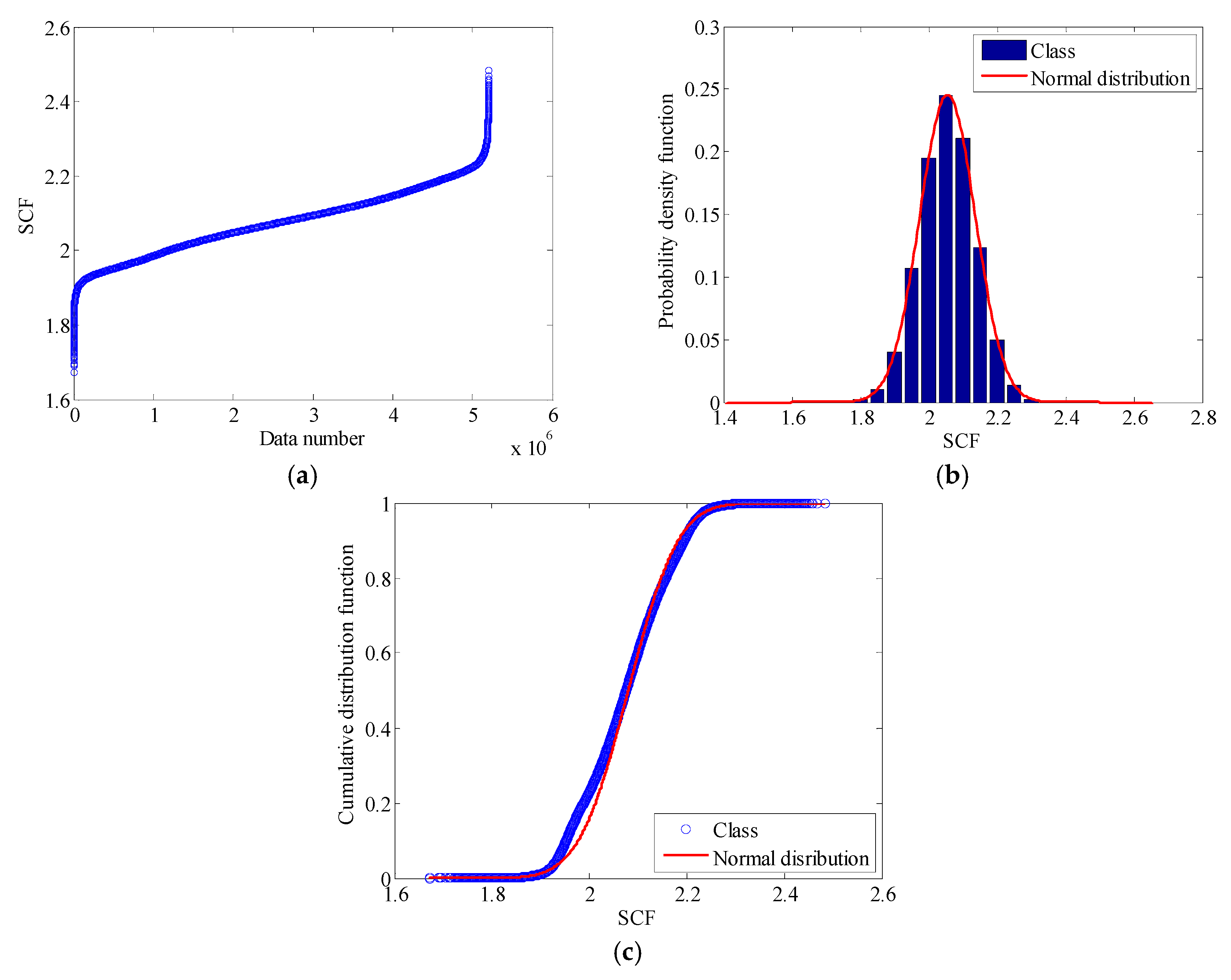
4. Statistical Analysis of Stress Concentration Factor
5. Conclusions
Acknowledgments
Author Contributions
Conflicts of Interest
References
- Ni, Y.Q.; Ye, X.W.; Ko, J.M. Monitoring-based fatigue reliability assessment of steel bridges: Analytical model and application. J. Struct. Eng. 2010, 136, 1563–1573. [Google Scholar] [CrossRef]
- Ni, Y.Q.; Xia, H.W.; Wong, K.Y.; Ko, J.M. In-service condition assessment of bridge deck using long-term monitoring data of strain response. J. Bridge Eng. 2012, 17, 876–885. [Google Scholar] [CrossRef]
- Ye, X.W.; Ni, Y.Q.; Wong, K.Y.; Ko, J.M. Statistical analysis of stress spectra for fatigue life assessment of steel bridges with structural health monitoring data. Eng. Struct. 2012, 45, 166–176. [Google Scholar] [CrossRef]
- Ye, X.W.; Ni, Y.Q.; Wai, T.T.; Wong, K.Y.; Zhang, X.M.; Xu, F. A vision-based system for dynamic displacement measurement of long-span bridges: Algorithm and verification. Smart Struct. Syst. 2013, 12, 363–379. [Google Scholar] [CrossRef]
- Ye, X.W.; Su, Y.H.; Han, J.P. Structural health monitoring of civil infrastructure using optical fiber sensing technology: A comprehensive review. Sci. World J. 2014, 2014. [Google Scholar] [CrossRef] [PubMed]
- Ye, X.W.; Yi, T.H.; Dong, C.Z.; Liu, T.; Bai, H. Multi-point displacement monitoring of bridges using a vision-based approach. Wind Struct. 2015, 20, 315–326. [Google Scholar] [CrossRef]
- Fuhr, P.L.; Huston, D.R.; Nelson, M.; Nelson, O.; Hu, J.; Mowat, E. Fiber optic sensing of a bridge in Waterbury, Vermont. J. Intell. Mater. Syst. Struct. 1999, 10, 293–303. [Google Scholar] [CrossRef]
- Tennyson, R.C.; Mufti, A.A.; Rizkalla, S.; Tadros, G.; Benmokrane, B. Structural health monitoring of innovative bridges in Canada with fiber optic sensors. Smart Struct. Syst. 2001, 10, 560–573. [Google Scholar] [CrossRef]
- Chan, T.H.T.; Yu, L.; Tam, H.Y.; Ni, Y.Q.; Liu, S.Y.; Chung, W.H.; Cheng, L.K. Fiber Bragg grating sensors for structural health monitoring of Tsing Ma bridge: Background and experimental observation. Eng. Struct. 2006, 28, 648–659. [Google Scholar] [CrossRef]
- Li, H.; Ou, J.P.; Zhao, X.F.; Zhou, W.S.; Li, H.W.; Zhou, Z. Structural health monitoring system for the Shandong Binzhou Yellow River Highway Bridge. Comput.-Aided Civ. Infrastruct. Eng. 2006, 21, 306–317. [Google Scholar] [CrossRef]
- Jiang, G.L.; Dawood, M.; Peters, K.; Rizkalla, S. Global and local fiber optic sensors for health monitoring of civil engineering infrastructure retrofit with FRP materials. Struct. Health Monit. 2010, 9, 309–322. [Google Scholar] [CrossRef]
- Casas, J.R.; Cruz, P.J.S. Fiber optic sensors for bridge monitoring. J. Bridge Eng. 2003, 8, 362–373. [Google Scholar] [CrossRef]
- Xiong, W.; Cai, C.S.; Kong, X. Instrumentation design for bridge scour monitoring using fiber Bragg grating sensors. Appl. Opt. 2012, 51, 547–557. [Google Scholar] [CrossRef] [PubMed]
- Zhang, W.; Gao, J.Q.; Shi, B.; Cui, H.L.; Zhu, H. Health monitoring of rehabilitated concrete bridges using distributed optical fiber sensing. Comput.-Aided Civ. Infrastruct. Eng. 2006, 21, 411–424. [Google Scholar] [CrossRef]
- Kister, G.; Badcock, R.A.; Gebremichael, Y.M.; Boyle, W.J.O.; Grattan, K.T.V.; Fernando, G.F.; Canning, L. Monitoring of an all-composite bridge using Bragg grating sensors. Constr. Build. Mater. 2007, 21, 1599–1604. [Google Scholar] [CrossRef]
- Kister, G.; Winter, D.; Badcock, R.A.; Gebremichael, Y.M.; Boyle, W.J.O.; Meggitt, B.T.; Grattan, K.T.V.; Fernando, G.F. Structural health monitoring of a composite bridge using Bragg grating sensors. Part 1: Evaluation of adhesives and protection systems for the optical sensors. Eng. Struct. 2007, 29, 440–448. [Google Scholar] [CrossRef]
- Costa, B.J.A.; Figueiras, J.A. Fiber optical based monitoring system applied to a centenary metallic arch bridge: Design and installation. Eng. Struct. 2012, 44, 271–280. [Google Scholar] [CrossRef]
- Rodrigues, C.; Cavadas, F.; Felix, C.; Figueiras, J. FBG based strain monitoring in the rehabilitation of a centenary metallic bridge. Eng. Struct. 2012, 44, 281–290. [Google Scholar] [CrossRef]
- Barbosa, C.; Costa, N.; Ferreira, L.A.; Araujo, F.M.; Varum, H.; Costa, A.; Fernandes, C.; Rodrigues, H. Weldable fibre Bragg grating sensors for steel bridge monitoring. Meas. Sci. Technol. 2008, 19, 125305. [Google Scholar] [CrossRef]
- Surre, F.; Sun, T.; Grattan, K.T. Fiber optic strain monitoring for long-term evaluation of a concrete footbridge under extended test conditions. IEEE Sens. J. 2013, 13, 1036–1043. [Google Scholar] [CrossRef]
- Fuhr, P.L.; Huston, D.R. Corrosion detection in reinforced concrete roadways and bridges via embedded fiber optic sensors. Smart Struct. Syst. 1998, 7, 217–228. [Google Scholar] [CrossRef]
- Lin, Y.B.; Chen, J.C.; Chang, K.C.; Chern, J.C.; Lai, J.S. Real-time monitoring of local scour by using fiber Bragg grating sensors. Smart Struct. Syst. 2005, 14, 664–670. [Google Scholar] [CrossRef]
- Sigurdardottir, D.H.; Glisic, B. On-site validation of fiber-optic methods for structural health monitoring: Streicker Bridge. J. Civ. Struct. Health Monit. 2015, 5, 529–549. [Google Scholar] [CrossRef]
- Tung, S.; Yao, Y.; Glisic, B. Sensing sheet: The sensitivity of thin-film full-bridge strain sensors for crack detection and characterization. Meas. Sci. Technol. 2014, 25, 075602. [Google Scholar] [CrossRef]
- Tung, S.T.; Glisic, B. Sensing sheet: The response of full-bridge strain sensors to thermal variations for detecting and characterizing cracks. Meas. Sci. Technol. 2016, 27, 124010. [Google Scholar] [CrossRef]
- Yau, M.H.; Chan, T.H.T.; Thambiratnam, D.; Tam, H.Y. Static vertical displacement measurement of bridges using fiber Bragg grating (FBG) sensors. Adv. Struct. Eng. 2013, 16, 165–176. [Google Scholar] [CrossRef]
- Xiao, F.; Chen, G.S.; Hulsey, J.L. Monitoring bridge dynamic responses using fiber Bragg grating tiltmeters. Sensors 2017, 17, 2390. [Google Scholar] [CrossRef] [PubMed]
- Cięszczyk, S.; Kisała, P. Inverse problem of determining periodic surface profile oscillation defects of steel materials with a fiber Bragg grating sensor. Appl. Opt. 2016, 55, 1412–1420. [Google Scholar] [CrossRef] [PubMed]
- Huang, G.; Wei, C.; Chen, S.; Yang, G. Reconstruction of structural damage based on reflection intensity spectra of fiber Bragg gratings. Meas. Sci. Technol. 2014, 25, 125109. [Google Scholar] [CrossRef]
- Kerrouche, A.; Leighton, J.; Boyle, W.J.O.; Gebremichael, Y.M.; Sun, T.; Grattan, K.T.; Taljsten, B. Strain measurement on a rail bridge loaded to failure using a fiber Bragg grating-based distributed sensor system. IEEE Sens. J. 2008, 8, 2059–2065. [Google Scholar] [CrossRef]
- International Institute of Welding (IIW). Fatigue Analysis of Welded Components—Designer’s Guide to the Structural Hot-Spot Stress Approach; International Institute of Welding: Cambridge, UK, 2006. [Google Scholar]
- Wei, C.L.; Lai, C.C.; Liu, S.Y.; Chung, W.H.; Ho, T.K.; Tam, H.Y.; Ho, S.L.; McCusker, A.; Kam, J.; Lee, K.Y. A fiber Bragg grating sensor system for train axle counting. IEEE Sens. J. 2010, 10, 1905–1912. [Google Scholar]
- Downing, S.D.; Socie, D.F. Simple rainflow counting algorithms. Int. J. Fatigue 1982, 4, 31–40. [Google Scholar] [CrossRef]
- Xia, H.W.; Ni, Y.Q.; Wong, K.Y.; Ko, J.M. Reliability-based condition assessment of in-service bridges using mixture distribution models. Comput. Struct. 2012, 106–107, 204–213. [Google Scholar] [CrossRef]
- McLachlan, G.J.; Peel, D. Finite Mixture Models; Wiley: New York, NY, USA, 2000. [Google Scholar]
- Holland, J.H. Adaptation in Natural and Artificial System; The University of Michigan Press: Ann Arbor, MI, USA, 1975. [Google Scholar]
- Paulo, P.; Branco, F.; de Brito, J.; Silva, A. Buildings life—The use of genetic algorithms for maintenance plan optimization. J. Clean. Prod. 2016, 121, 84–98. [Google Scholar] [CrossRef]
- Kottegoda, N.T.; Rosso, R.S. Probability, Statistics, and Reliability for Civil and Environmental Engineers; McGraw-Hill: New York, NY, USA, 1997. [Google Scholar]
- Massey, F.J. The Kolmogorov-Smirnov test for goodness of fit. J. Am. Stat. Assoc. 1951, 46, 68–78. [Google Scholar] [CrossRef]













| Distribution | Estimated Parameters | ||
|---|---|---|---|
| Weight (wl) | Mean Value (μl) | Standard Deviation (σl) | |
| Mixed normal distribution | 0.18017 | 7.70356 | 1.37439 |
| 0.40859 | 3.77575 | 0.34666 | |
| 0.26359 | 3.21300 | 0.14166 | |
| 0.00180 | 18.50252 | 1.54 × 10−7 | |
| 0.00180 | 27.02115 | 9.11 × 10−8 | |
| 0.00476 | 5.51921 | 0.00440 | |
| 0.12739 | 4.659781 | 0.45840 | |
| 0.00180 | 15.72309 | 5.68 × 10−7 | |
| 0.01005 | 12.36552 | 0.91614 | |
| Mixed lognormal distribution | 0.04765 | 2.07228 | 0.06052 |
| 0.23927 | 1.22655 | 0.05268 | |
| 0.18456 | 1.94656 | 0.30865 | |
| 0.14179 | 1.13577 | 0.02487 | |
| 0.38311 | 1.39491 | 0.11173 | |
| 0.00179 | 2.91790 | 4.16 × 10−9 | |
| 0.00179 | 3.29662 | 5.86 × 10−7 | |
| 4.58 × 10−7 | 2.06963 | 1.48652 | |
| Mixed Weibull distribution | 0.00759 | 19.3709 | 2.92343 |
| 0.63222 | 3.70731 | 8.32196 | |
| 0.02979 | 10.79137 | 4.81138 | |
| 0.16668 | 7.98040 | 6.24103 | |
| 0.16369 | 4.69135 | 8.37585 | |
| Maximum SCF | Minimum SCF | Mean Value | Standard Deviation | COV |
|---|---|---|---|---|
| 2.501 | 1.655 | 2.082 | 0.081 | 0.006 |
© 2018 by the authors. Licensee MDPI, Basel, Switzerland. This article is an open access article distributed under the terms and conditions of the Creative Commons Attribution (CC BY) license (http://creativecommons.org/licenses/by/4.0/).
Share and Cite
Ye, X.-W.; Su, Y.-H.; Xi, P.-S. Statistical Analysis of Stress Signals from Bridge Monitoring by FBG System. Sensors 2018, 18, 491. https://doi.org/10.3390/s18020491
Ye X-W, Su Y-H, Xi P-S. Statistical Analysis of Stress Signals from Bridge Monitoring by FBG System. Sensors. 2018; 18(2):491. https://doi.org/10.3390/s18020491
Chicago/Turabian StyleYe, Xiao-Wei, You-Hua Su, and Pei-Sen Xi. 2018. "Statistical Analysis of Stress Signals from Bridge Monitoring by FBG System" Sensors 18, no. 2: 491. https://doi.org/10.3390/s18020491
APA StyleYe, X.-W., Su, Y.-H., & Xi, P.-S. (2018). Statistical Analysis of Stress Signals from Bridge Monitoring by FBG System. Sensors, 18(2), 491. https://doi.org/10.3390/s18020491

