A Hybrid Control with PID–Improved Sliding Mode for Flat-Top of Missile Electromechanical Actuator Systems
Abstract
:1. Introduction
2. Electromechanical Actuator System and Problem Formulation
2.1. The Structure of the Electromechanical Actuator
2.2. Analysis of the Flat-Top of EMA System
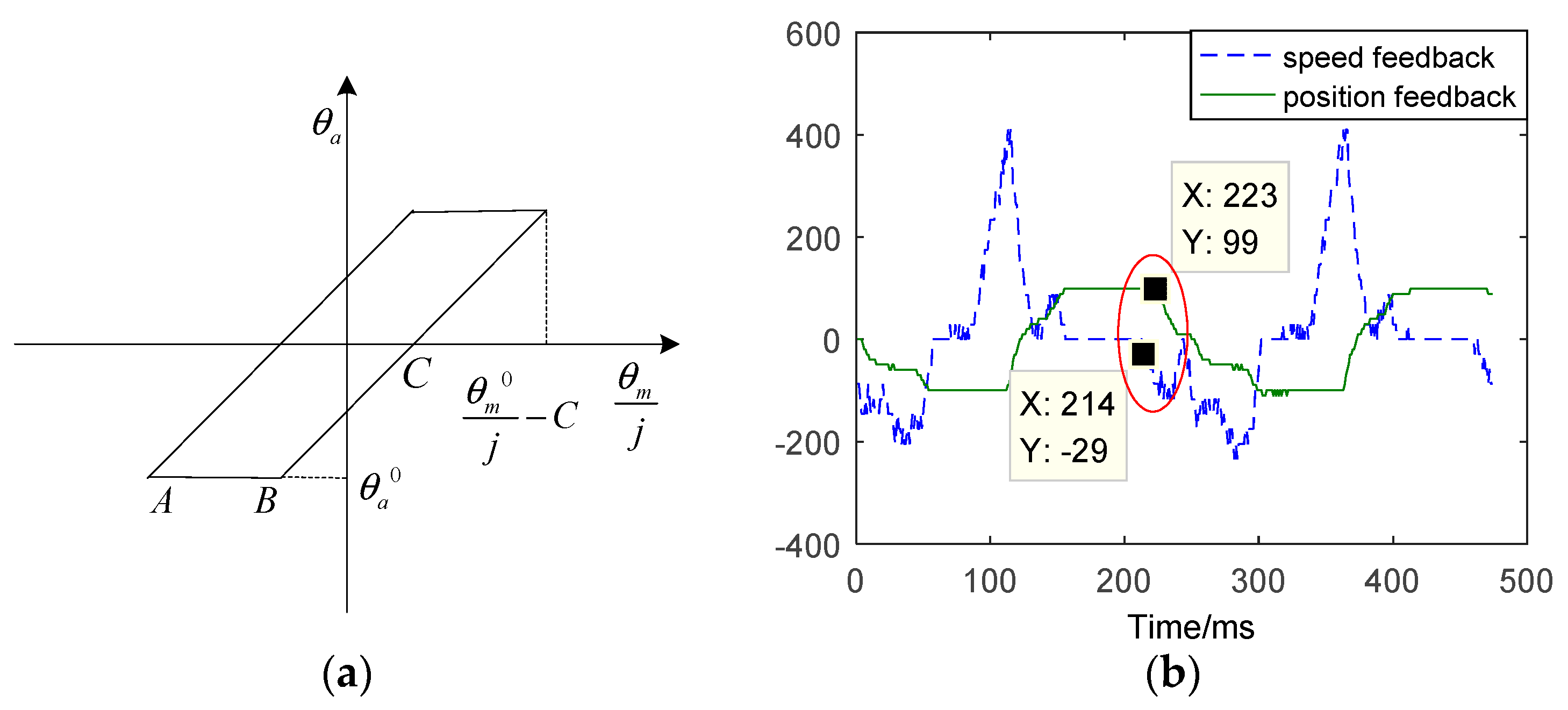
2.2.1. The Phenomena of Flat-Top
2.2.2. The Effect of Backlash
2.2.3. The Effect of Friction
3. Hybrid Control with PID–Improved Sliding Mode
3.1. The Model of Electromechanical Actuator Systems
3.2. PI Control
3.3. Sliding Mode Control Based on Novel Reaching Law
3.3.1. Design of Improved Sliding Controller
3.3.2. The Existence and Reachability of Sliding Mode
4. Experimental Verification
4.1. Experimental Platform
4.2. The Phenomenon of Flat-Top
4.3. The Influence of PID-ISM Controller on Other Indexes
4.4. The Limit Cycle Oscillation Of Missile Trajectory
5. Conclusions
Author Contributions
Funding
Conflicts of Interest
References
- Wang, X.; Liao, R.; Shi, C.; Wang, S. Linear Extended State Observer-Based Motion Synchronization Control for Hybrid Actuation System of More Electric Aircraft. Sensors 2017, 17, 2444. [Google Scholar] [CrossRef] [PubMed]
- Tsourdos, A.; White, B.A. Adaptive flight control design for nonlinear missile. Control Eng. Pract. 2005, 13, 373–382. [Google Scholar] [CrossRef]
- Qiao, G.; Liu, G.; Shi, Z.; Wang, Y.; Ma, S.; Lim, T.C. A review of electromechanical actuators for More/All Electric aircraft systems. Proc. Inst. Mech. Eng. Part C J. Mech. Eng. Sci. 2017, 232, 4128–4151. [Google Scholar] [CrossRef]
- Luo, K.; Xiao, R.G.; Qin, K.; Zhang, G. Servo Control and Drive of AUV Electromechanical Actuator. Meas. Control Technol. 2012, 31, 55–58. [Google Scholar]
- Ishak, N.; Tajjudin, M.; Ismail, H.; Rahiman, M.; Sam, Y.; Adnan, R. PID Studies on Position Tracking Control of an Electro-Hydraulic Actuator. Int. J. Control Sci. Eng. 2012, 2, 120–126. [Google Scholar] [CrossRef]
- Alarçin, F.; Demirel, H.; Ertugrul, M.S.; Yurtseven, A. Conventional PID and Modified PID Controller Design for Roll Fin Electro-Hydraulic Actuator. Acta Polytech. Hung. 2014, 11, 2014–2233. [Google Scholar]
- Yang, Y.; Wang, M.; Yan, J. A Better Non-Linear PID Controller of Digital Electromechanical Actuator System. J. Northwestern Polytech. Univ. 2010, 28, 323–326. [Google Scholar]
- Cui, Y.B.; Zheng, J.; Ju, Y.T.; Xu, J. Precise Angle Control of Electromechanical Actuator with Fuzzy PID and Genetic Algorithm. Appl. Mech. Mater. 2013, 300–301, 1479–1485. [Google Scholar] [CrossRef]
- Zhang, X.; Yang, J.; Zhu, X. Design of Fuzzy Adaptive Controller for High Precise Electromechanical Actuator. J. Proj. Rocket. Missiles Guid. 2010, 30, 30–32. [Google Scholar]
- Ristanović, M.; Ćojbašić, Ž.; Lazić, D. Intelligent control of DC motor driven electromechanical fin actuator. Control Eng. Pract. 2012, 20, 610–617. [Google Scholar] [CrossRef]
- Zhou, Z.; Zhang, B.; Mao, D. Robust Sliding Mode Control of PMSM Based on a Rapid Nonlinear Tracking Differentiator and Disturbance Observer. Sensors 2018, 18, 1031. [Google Scholar] [CrossRef] [PubMed]
- Liu, X.; Wu, Y.; Deng, Y.; Xiao, S. A global sliding mode controller for missile electromechanical actuator servo system. Proc. Inst. Mech. Eng. Part G J. Aerosp. Eng. 2014, 228, 1095–1104. [Google Scholar] [CrossRef]
- Ma, X.; Wong, P.K.; Zhao, J.; Xie, Z. Multi-Objective Sliding Mode Control on Vehicle Cornering Stability with Variable Gear Ratio Actuator-Based Active Front Steering Systems. Sensors 2017, 17, 49. [Google Scholar] [CrossRef] [PubMed]
- Feng, H.; Guo, B. Active disturbance rejection control: Old and New results. Annu. Rev. Control 2017, 44, 238–248. [Google Scholar] [CrossRef]
- Salloum, R.; Moaveni, B.; Arvan, M.R. Identification and robust controller design for an electromechanical actuator with time delay. Trans. Inst. Meas. Control 2014, 37, 1227–1232. [Google Scholar] [CrossRef]
- Neely, J.D.; White, J.M. Active Impact Force/Torque Control for An Electromechanical Actuator. U.S. Patent 20,160,072,425, 3 October 2017. [Google Scholar]
- Dalla Vedova, M.D.L.; Berri, P.C.; Maggiore, P. A Smart Electromechanical Actuator Monitor for New Model-Based Prognostic Algorithms. Int. J. Mech. Control 2016, 17, 59–66. [Google Scholar]
- Kebairi, A.; Becherif, M.; Bagdouri, M.E. Friction compensation in a Diesel engine electromechanical actuator. Ifac. Proc. Vol. 2013, 46, 117–122. [Google Scholar] [CrossRef]
- Wang, N.; Zhou, Y.J. Novel Compensator for Aircraft Electromechanical Actuator. Adv. Mater. Res. 2013, 605–607, 1483–1487. [Google Scholar] [CrossRef]
- Gaeta, A.; Hoyos Velasco, C.I.; Montanaro, U. Cycle-by-Cycle Adaptive Force Compensation for the Soft-Landing Control of an Electro-Mechanical Engine Valve Actuator. Asian J. Control 2015, 17, 1707–1724. [Google Scholar] [CrossRef]
- Han, J.; Wang, H.; Jiao, G.; Cui, L.; Wang, Y. Research on Active Disturbance Rejection Control Technology of Electromechanical Actuators. Electronics 2018, 7, 174. [Google Scholar] [CrossRef]
- Chen, M.; Mei, R.; Jiang, B. Sliding Mode Control for a Class of Uncertain MIMO Nonlinear Systems with Application to Near-Space Vehicles. Math. Probl. Eng. 2013, 707–724. [Google Scholar] [CrossRef]
- Chou, P.-H.; Lin, F.-J.; Chen, C.-S.; Lee, F.-C. DSP-based cross-coupled synchronous control for dual linear motors via intelligent complementary sliding mode control. IEEE Trans. Ind. Electron. 2012, 59, 1061–1073. [Google Scholar]
- Shin, M.-C.; Lu, C.-S. Fuzzy sliding mode position control of a ball screw driven by pneumatic servomotor. Mechatronics 1995, 5, 421–431. [Google Scholar] [CrossRef]
- Yau, H.-T.; Yan, J.-J. Adaptive sliding mode control of a high-precision ball-screw-driven stage. Nonlinear Anal. Real World Appl. 2009, 10, 1480–1489. [Google Scholar] [CrossRef]
- Okwudire, C.; Altintas, Y. Minimum Tracking Error Control of Flexible Ball Screw Drives Using a Discrete-Time Sliding Mode Controller. J. Dyn. Sys. Meas. Control 2009, 131, 545–553. [Google Scholar] [CrossRef]
- Li, Y.; Tong, S.; Liu, Y.; Li, T. Adaptive Fuzzy Robust Output Feedback Control of Nonlinear Systems with Unknown Dead Zones Based on a Small-Gain Approach. IEEE Trans. Fuzzy Syst. 2014, 22, 164–176. [Google Scholar] [CrossRef]
- Tao, G. Discrete-time adaptive control of systems with unknown deadzones. Int. J. Control 1995, 61, 1–17. [Google Scholar] [CrossRef]
- Cát, P.T.; Hiệp, N.T. Robust PID sliding mode control of robot manipulators with online learning neural network. In Proceedings of the 2009 European Control Conference (ECC), Budapest, Hungary, 23–26 August 2009. [Google Scholar]
- Kuo, T.C.; Huang, Y.J.; Hong, B.W. Adaptive PID with sliding mode control for the rotary inverted pendulum system. In Proceedings of the 2009 IEEE/ASME International Conference on Advanced Intelligent Mechatronics, Singapore, 14–17 July 2009. [Google Scholar]
- Rubio, J.D.J. Sliding mode control of robotic arms with deadzone. IET Control Theory Appl. 2017, 11, 1214–1221. [Google Scholar] [CrossRef]
- Xu, D.; Jiang, B.; Qian, M.; Zhao, J. Terminal Sliding Mode Control Using Adaptive Fuzzy-Neural Observer. Math. Probl. Eng. 2013, 2013, 388–400. [Google Scholar] [CrossRef]
- Bessa, W.M.; Paula, A.S.D.; Savi, M.A. Sliding mode control with adaptive fuzzy dead-zone compensation for uncertain chaotic systems. Nonlinear Dyn. 2012, 70, 1989–2001. [Google Scholar] [CrossRef]
- Chen, P.C.; Chen, C.W.; Chiang, W.L. GA-Based Fuzzy Sliding Mode Controller for Nonlinear Systems. Math. Probl. Eng. 2008, 1, 267–290. [Google Scholar] [CrossRef]
- Borello, L.; Vedova, M.D.L. A dry friction model and robust computational algorithm for reversible or irreversible motion transmission. Int. J. Mech. Control 2012, 13, 37–48. [Google Scholar]









| Symbol | Quantity |
|---|---|
| u | Motor input voltage(V) |
| Armature current (A) | |
| Armature resistance () | |
| Armature inductance (H) | |
| Rotor angular velocity () | |
| Motor electrical constant () | |
| Motor torque constant () | |
| Moment of inertia () | |
| Load torque () | |
| Electromagnetic torque () | |
| Total friction torque () | |
| Mechanical time constant | |
| Electric time constant | |
| Decelerate ratio of transmission | |
| Output angle of actuator (°) | |
| Reference angle (°) | |
| Disturbance | |
| Position tracking error (°) | |
| Speed tracking error (°/s) | |
| Rate of error (°/s) | |
| Output of the speed regulator | |
| Output of the position regulator | |
| Control law of sliding mode control | |
| Starting value of EMA system |
| PID | PID-ISM | Improvement | |
|---|---|---|---|
| Flat-top time (s) | 0.064 | 0.012 | 81.25% |
| Position error (deg) | 0.123 | 0.029 | 76.42% |
| Delay time of backlash (s) | 0.009 | 0.006 | 33.33% |
| Speed dead zone(s) | 0.057 | 0.010 | 82.46% |
| PID | PID-ISM | Improvement | |
|---|---|---|---|
| Overshoot | 8.8% | 9% | −2.3% |
| Rising time (s) | 0.036 | 0.037 | −2.8% |
| Setting time (s) | 0.241 | 0.256 | −6.2% |
| Static error (deg) | ±0.003 | ±0.002 | 33.3% |
| Bandwidth (Hz) | ≥25 | ≥25 | 0% |
© 2018 by the authors. Licensee MDPI, Basel, Switzerland. This article is an open access article distributed under the terms and conditions of the Creative Commons Attribution (CC BY) license (http://creativecommons.org/licenses/by/4.0/).
Share and Cite
Zhou, M.; Mao, D.; Zhang, M.; Guo, L.; Gong, M. A Hybrid Control with PID–Improved Sliding Mode for Flat-Top of Missile Electromechanical Actuator Systems. Sensors 2018, 18, 4449. https://doi.org/10.3390/s18124449
Zhou M, Mao D, Zhang M, Guo L, Gong M. A Hybrid Control with PID–Improved Sliding Mode for Flat-Top of Missile Electromechanical Actuator Systems. Sensors. 2018; 18(12):4449. https://doi.org/10.3390/s18124449
Chicago/Turabian StyleZhou, Man, Dapeng Mao, Mingyue Zhang, Lihong Guo, and Mingde Gong. 2018. "A Hybrid Control with PID–Improved Sliding Mode for Flat-Top of Missile Electromechanical Actuator Systems" Sensors 18, no. 12: 4449. https://doi.org/10.3390/s18124449
APA StyleZhou, M., Mao, D., Zhang, M., Guo, L., & Gong, M. (2018). A Hybrid Control with PID–Improved Sliding Mode for Flat-Top of Missile Electromechanical Actuator Systems. Sensors, 18(12), 4449. https://doi.org/10.3390/s18124449

