Quantifying Short-Term Urban Land Cover Change with Time Series Landsat Data: A Comparison of Four Different Cities
Abstract
1. Introduction
2. Study Area and Datasets
2.1. Study Sites
2.2. Satellite Data and Preprocessing
3. Methods
3.1. Reference Data Collection Using Time Series High Resolution Images
3.2. Land Covers Classification and Accuracy Assessment
3.3. Quantification of the Short-Term Change Using Fourier Series and the Sum of Sine Functions
4. Results
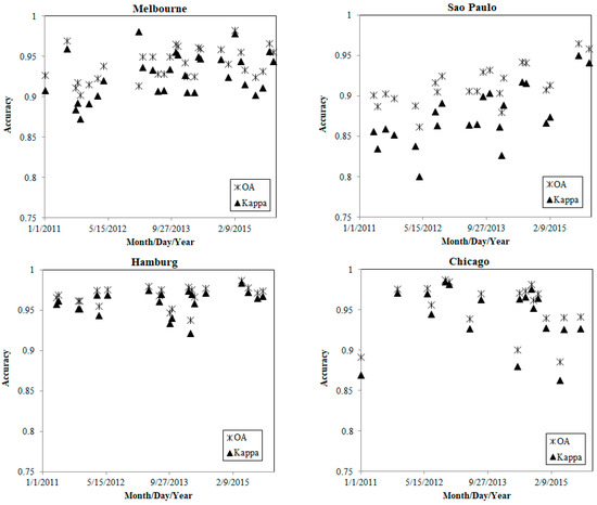
4.1. Accuracy Assessment of the Multitemporal Satellite Image Classification
4.2. The Land Cover Classification and Short-Term Changes
4.3. Quantification of Short-Term Land Cover Changes
5. Discussion
5.1. How The Methods and Outcome Could Be Applicable in Urban Monitoring and Planning
5.2. Limitations of the Methodology
5.3. Uncertainty of the Fourier Series Fitting
5.4. Recommendations for Future Studies
6. Conclusions
Author Contributions
Funding
Acknowledgments
Conflicts of Interest
References
- Puertas, O.L.; Brenning, A.; Meza, F.J. Balancing misclassification errors of land cover classification maps using support vector machines and Landsat imagery in the Maipo river basin (central chile, 1975–2010). Remote Sens. Environ. 2013, 137, 112–123. [Google Scholar] [CrossRef]
- Seto, K.C.; Guneralp, B.; Hutyra, L.R. Global forecasts of urban expansion to 2030 and direct impacts on biodiversity and carbon pools. Proc. Natl. Acad. Sci. USA 2012, 109, 16083–16088. [Google Scholar] [CrossRef] [PubMed]
- Lambin, E.F.; Turner, B.L.; Geist, H.J.; Agbola, S.B.; Angelsen, A.; Bruce, J.W.; Coomes, O.T.; Dirzo, R.; Fischer, G.; Folke, C.; et al. The causes of land-use and land-cover change: Moving beyond the myths. Glob. Environ. Chang. 2001, 11, 261–269. [Google Scholar] [CrossRef]
- Weng, Q.H. Remote sensing of impervious surfaces in the urban areas: Requirements, methods, and trends. Remote Sens. Environ. 2012, 117, 34–49. [Google Scholar] [CrossRef]
- Small, C. A global analysis of urban reflectance. Int. J. Remote Sens. 2005, 26, 661–681. [Google Scholar] [CrossRef]
- Poursanidis, D.; Chrysoulakis, N.; Mitraka, Z. Landsat 8 vs. Landsat 5: A comparison based on urban and pen-urban land cover mapping. Int. J. Appl. Earth Obs. Geoinf. 2015, 35, 259–269. [Google Scholar] [CrossRef]
- Collins, J.B.; Woodcock, C.E. An assessment of several linear change detection techniques for mapping forest mortality using multitemporal Landsat TM data. Remote Sens. Environ. 1996, 56, 66–77. [Google Scholar] [CrossRef]
- Rokni, K.; Ahmad, A.; Selamat, A.; Hazini, S. Water feature extraction and change detection using multitemporal Landsat imagery. Remote Sens. 2014, 6, 4173–4189. [Google Scholar] [CrossRef]
- Alonso, A.; Munoz-Carpena, R.; Kennedy, R.E.; Murcia, C. Wetland landscape spatio-temporal degradation dynamics using the new Google Earth Engine cloud-based platform: Opportunities for non-specialists in remote sensing. Trans. ASABE 2016, 59, 1333–1344. [Google Scholar]
- Munyati, C. Wetland change detection on the Kafue Flats, Zambia, by classification of a multitemporal remote sensing image dataset. Int. J. Remote Sens. 2000, 21, 1787–1806. [Google Scholar] [CrossRef]
- Hui, F.M.; Xu, B.; Huang, H.B.; Yu, Q.; Gong, P. Modelling spatial-temporal change of Poyang lake using multitemporal Landsat imagery. Int. J. Remote Sens. 2008, 29, 5767–5784. [Google Scholar] [CrossRef]
- Shelestov, A.; Lavreniuk, M.; Kussul, N.; Novikov, A.; Skakun, S. Exploring Google earth engine platform for Big Data Processing: Classification of multi-temporal satellite imagery for crop mapping. Front. Earth Sci. 2017, 5, 17. [Google Scholar] [CrossRef]
- Dong, J.W.; Xiao, X.M.; Menarguez, M.A.; Zhang, G.L.; Qin, Y.W.; Thau, D.; Biradar, C.; Moore, B. Mapping paddy rice planting area in northeastern Asia with Landsat 8 images, phenology-based algorithm and Google Earth Engine. Remote Sens. Environ. 2016, 185, 142–154. [Google Scholar] [CrossRef] [PubMed]
- Roodposhti, M.S.; Aryal, J.; Bryan, B.A. A novel algorithm for calculating transition potential in cellular automata models of land-use/cover change. Environ. Modell. Softw. 2018, in press. [Google Scholar] [CrossRef]
- Anees, A.; Aryal, J.; O’Reilly, M.M.; Gale, T.J. A relative density ratio-based framework for detection of land cover changes in MODIS NDVI time series. IEEE J. Sel. Top. Appl. Earth Obs. Remote Sens. 2016, 9, 3359–3371. [Google Scholar] [CrossRef]
- Stein, A.; Aryal, J.; Gort, G. Use of the Bradley-Terry model to quantify association in remotely sensed images. IEEE Trans. Geosci. Remote Sens. 2005, 43, 852–856. [Google Scholar] [CrossRef]
- Bruzzone, L.; Prieto, D.F. An adaptive semiparametric and context-based approach to unsupervised change detection in multitemporal remote-sensing images. IEEE Trans. Image Process. 2002, 11, 452–466. [Google Scholar] [CrossRef]
- Byrne, G.F.; Crapper, P.F.; Mayo, K.K. Monitoring land-cover change by principal component analysis of multitemporal Landsat data. Remote Sens. Environ. 1980, 10, 175–184. [Google Scholar] [CrossRef]
- Li, X.; Gong, P.; Liang, L. A 30-year (1984–2013) record of annual urban dynamics of Beijing city derived from Landsat data. Remote Sens. Environ. 2015, 166, 78–90. [Google Scholar] [CrossRef]
- Song, K.Y.; Zhao, J.Y.; Ouyang, W.; Zhang, X.; Hao, F.H. LUCC and landscape pattern variation of wetlands in warm-rainy Southern China over two decades. Procedia Environ. Sci. 2010, 2, 1296–1306. [Google Scholar] [CrossRef]
- Seto, K.C.; Woodcock, C.E.; Song, C.; Huang, X.; Lu, J.; Kaufmann, R.K. Monitoring land-use change in the Pearl River Delta using Landsat TM. Int. J. Remote Sens. 2002, 23, 1985–2004. [Google Scholar] [CrossRef]
- Tsutsumida, N.; Comber, A.J. Measures of spatio-temporal accuracy for time series land cover data. Int. J. Appl. Earth Obs. Geoinf. 2015, 41, 46–55. [Google Scholar] [CrossRef]
- Jansen, L.J.M.; Bagnoli, M.; Focacci, M. Analysis of land-cover/use change dynamics in Manica Province in Mozambique in a period of transition (1990–2004). For. Ecol Manag. 2008, 254, 308–326. [Google Scholar] [CrossRef]
- Powell, S.L.; Cohen, W.B.; Yang, Z.; Pierce, J.D.; Alberti, M. Quantification of impervious surface in the Snohomish water resources inventory area of western Washington from 1972–2006. Remote Sens. Environ. 2008, 112, 1895–1908. [Google Scholar] [CrossRef]
- Suarez-Rubio, M.; Lookingbill, T.R.; Elmore, A.J. Exurban development derived from Landsat from 1986 to 2009 surrounding the district of Columbia, USA. Remote Sens. Environ. 2012, 124, 360–370. [Google Scholar] [CrossRef]
- Sexton, J.O.; Song, X.-P.; Huang, C.; Channan, S.; Baker, M.E.; Townshend, J.R. Urban growth of the Washington, DC–Baltimore, MD metropolitan region from 1984 to 2010 by annual, Landsat-based estimates of impervious cover. Remote Sens. Environ. 2013, 129, 42–53. [Google Scholar] [CrossRef]
- Song, X.-P.; Sexton, J.O.; Huang, C.; Channan, S.; Townshend, J.R. Characterizing the magnitude, timing and duration of urban growth from time series of Landsat-based estimates of impervious cover. Remote Sens. Environ. 2016, 175, 1–13. [Google Scholar] [CrossRef]
- Zhang, H.S.; Zhang, Y.Z.; Lin, H. Seasonal effects of impervious surface estimation in subtropical monsoon regions. Int. J. Digit. Earth 2014, 7, 746–760. [Google Scholar] [CrossRef]
- Zhang, L.; Weng, Q.H. Annual dynamics of impervious surface in the Pearl River Delta, China, from 1988 to 2013, using time series Landsat imagery. ISPRS J. Photogramm. Remote Sens. 2016, 113, 86–96. [Google Scholar] [CrossRef]
- Weng, Q.H.; Hu, X.F.; Liu, H. Estimating impervious surfaces using linear spectral mixture analysis with multitemporal ASTER images. Int. J. Remote Sens. 2009, 30, 4807–4830. [Google Scholar] [CrossRef]
- Wu, C.S.; Yuan, F. Seasonal sensitivity analysis of impervious surface estimation with satellite imagery. Photogramm. Eng. Remote Sens. 2007, 73, 1393–1401. [Google Scholar] [CrossRef]
- Xu, R.; Zhang, H.; Lin, H. Annual dynamics of impervious surfaces at city level of Pearl River Delta metropolitan. Int. J. Remote Sens. 2018, 39, 3537–3555. [Google Scholar] [CrossRef]
- Walker, J.J.; de Beurs, K.M.; Henebry, G.M. Land surface phenology along urban to rural gradients in the US Great Plains. Remote Sens. Environ. 2015, 165, 42–52. [Google Scholar] [CrossRef]
- Zhang, X.Y.; Friedl, M.A.; Schaaf, C.B.; Strahler, A.H.; Schneider, A. The footprint of urban climates on vegetation phenology. Geophys. Res. Lett. 2004, 31, 1–4. [Google Scholar] [CrossRef]
- Xie, Y.C.; Fan, S.Y. Multi-city sustainable regional urban growth simulation-MSRUGS: A case study along the mid-section of Silk Road of China. Stoch. Environ. Res. Risk Assess. 2014, 28, 829–841. [Google Scholar] [CrossRef]
- Romolini, M.; Grove, J.M.; Locke, D.H. Assessing and comparing relationships between urban environmental stewardship networks and land cover in Baltimore and Seattle. Landsc. Urban Plan. 2013, 120, 190–207. [Google Scholar] [CrossRef]
- Yuan, F.; Sawaya, K.E.; Loeffelholz, B.C.; Bauer, M.E. Land cover classification and change analysis of the Twin Cities (Minnesota) Metropolitan Area by multitemporal Landsat remote sensing. Remote Sens. Environ. 2005, 98, 317–328. [Google Scholar] [CrossRef]
- Bauer, M.E.; Yuan, F.; Sawaya, K.E. Multi-temporal Landsat image classification and change analysis of land cover in the Twin Cities (Minnesota) Metropolitan area. In Analysis of Multi-Temporal Remote Sensing Images; World Scientific: London, UK, 2004; pp. 368–375. [Google Scholar]
- Kottek, M.; Grieser, J.; Beck, C.; Rudolf, B.; Rubel, F. World map of the Köppen-Geiger climate classification updated. Meteorol. Musikz. 2006, 15, 259–263. [Google Scholar] [CrossRef]
- Van Leeuwen, C.J. Water governance and the quality of water services in the city of Melbourne. Urban Water J. 2017, 14, 247–254. [Google Scholar] [CrossRef]
- Notteboom, T.E. Concentration and the formation of multi-port gateway regions in the European container port system: An update. J. Transp. Geogr. 2010, 18, 567–583. [Google Scholar] [CrossRef]
- Lauer, D.T.; Morain, S.A.; Salomonson, V.V. The Landsat program: Its origins, evolution, and impacts. Photogramm. Eng. Remote Sens. 1997, 63, 831–838. [Google Scholar]
- Scaramuzza, P.L.; Markham, B.L.; Barsi, J.A.; Kaita, E. Landsat-7 ETM+ on-orbit reflective-band radiometric characterization. IEEE Trans. Geosci. Remote Sens. 2004, 42, 2796–2809. [Google Scholar] [CrossRef]
- Song, C.; Woodcock, C.E.; Seto, K.C.; Lenney, M.P.; Macomber, S.A. Classification and change detection using Landsat TM data: When and how to correct atmospheric effects? Remote Sens. Environ. 2001, 75, 230–244. [Google Scholar] [CrossRef]
- Kawata, Y.; Ohtani, A.; Kusaka, T.; Ueno, S. Classification accuracy for the MOS-1 MESSR data before and after the atmospheric correction. IEEE Trans. Geosci. Remote Sens. 1990, 28, 755–760. [Google Scholar] [CrossRef]
- Forster, B.C. Derivation of atmospheric correction procedures for Landsat MSS with particular reference to urban data. Int. J. Remote Sens. 1984, 5, 799–817. [Google Scholar] [CrossRef]
- Fraser, R.S.; Bahethi, O.P.; Al-Abbas, A.H. The effect of the atmosphere on the classification of satellite observations to identify surface features. Remote Sens. Environ. 1977, 6, 229–249. [Google Scholar] [CrossRef]
- Foody, G.M.; Palubinskas, G.; Lucas, R.M.; Curran, P.J.; Honzak, M. Identifying terrestrial carbon sinks: Classification of successional stages in regenerating tropical forest from Landsat TM data. Remote Sens. Environ. 1996, 55, 205–216. [Google Scholar] [CrossRef]
- Singh, A. Digital change detection techniques using remotely-sensed data. Int. J. Remote Sens. 1989, 10, 989–1003. [Google Scholar] [CrossRef]
- Schneider, A.; Mertes, C.M. Expansion and growth in Chinese cities, 1978–2010. Environ. Res. Lett. 2014, 9, 024008. [Google Scholar] [CrossRef]
- Gong, P.; Wang, J.; Yu, L.; Zhao, Y.C.; Zhao, Y.Y.; Liang, L.; Niu, Z.G.; Huang, X.M.; Fu, H.H.; Liu, S.; et al. Finer resolution observation and monitoring of global land cover: First mapping results with Landsat TM and ETM+ data. Int. J. Remote Sens. 2013, 34, 2607–2654. [Google Scholar] [CrossRef]
- Schneider, A. Monitoring land cover change in urban and pen-urban areas using dense time stacks of Landsat satellite data and a data mining approach. Remote Sens. Environ. 2012, 124, 689–704. [Google Scholar] [CrossRef]
- Grinand, C.; Rakotomalala, F.; Gond, V.; Vaudry, R.; Bernoux, M.; Vieilledent, G. Estimating deforestation in tropical humid and dry forests in Madagascar from 2000 to 2010 using multi-date Landsat satellite images and the random forests classifier. Remote Sens. Environ. 2013, 139, 68–80. [Google Scholar] [CrossRef]
- Jensen, J.R. Introductory Digital Image Processing: A Remote Sensing Perspective, 3rd ed.; Pearson Education Ltd.: London, UK, 2007. [Google Scholar]
- Zhang, H.S.; Lin, H.; Li, Y.; Zhang, Y.Z. Feature extraction for high-resolution imagery based on human visual perception. Int. J. Remote Sens. 2013, 34, 1146–1163. [Google Scholar] [CrossRef]
- Vapnik, V. The Nature of Statistical Learning Theory; Springer-Verlag: New York, NY, USA, 1995. [Google Scholar]
- Vapnik, V. Statistical Learning Theory; Wiley: New York, NY, USA, 1998. [Google Scholar]
- Kolios, S.; Stylios, C.D. Identification of land cover/land use changes in the greater area of the Preveza peninsula in Greece using Landsat satellite data. Appl. Geogr. 2013, 40, 150–160. [Google Scholar] [CrossRef]
- Zhang, H.S.; Zhang, Y.Z.; Lin, H. A comparison study of impervious surfaces estimation using optical and SAR remote sensing images. Int. J. Appl. Earth Obs. Geoinf. 2012, 18, 148–156. [Google Scholar] [CrossRef]
- Sukawattanavijit, C.; Chen, J.; Zhang, H.S. GA-SVM algorithm for improving land-cover classification using SAR and optical remote sensing data. IEEE Trans. Geosci. Remote Sens. 2017, 14, 284–288. [Google Scholar] [CrossRef]
- Zhang, Y.Z.; Zhang, H.S.; Lin, H. Improving the impervious surface estimation with combined use of optical and SAR remote sensing images. Remote Sens. Environ. 2014, 141, 155–167. [Google Scholar] [CrossRef]
- Mountrakis, G.; Im, J.; Ogole, C. Support vector machines in remote sensing: A review. ISPRS J. Photogramm. Remote Sens. 2011, 66, 247–259. [Google Scholar] [CrossRef]
- Congalton, R.G.; Oderwald, R.G.; Mead, R.A. Assessing Landsat classification accuracy using discrete multivariate-analysis statistical techniques. Photogramm. Eng. Remote Sens. 1983, 49, 1671–1678. [Google Scholar]
- Pontius, R.G.; Millones, M. Death to kappa: Birth of quantity disagreement and allocation disagreement for accuracy assessment. Int. J. Remote Sens. 2011, 32, 4407–4429. [Google Scholar] [CrossRef]
- Fan, S.K.S.; Chang, Y.J.; Aidara, N. Nonlinear profile monitoring of reflow process data based on the sum of sine functions. Qual. Reliab. Eng. Int. 2013, 29, 743–758. [Google Scholar] [CrossRef]








| LC | a0 | a1 | b1 | a2 | b2 | a3 | b3 | a4 | b4 | a5 | b5 | a6 | b6 | a7 | b7 | a8 | b8 | |
|---|---|---|---|---|---|---|---|---|---|---|---|---|---|---|---|---|---|---|
| M | IS | 51.67 | 0.208 | −0.787 | −0.468 | −1.304 | 1.442 | −0.916 | 0.3789 | 0.302 | 0.4608 | 1.474 | −1.434 | 1.26 | −0.466 | −0.165 | −0.577 | −0.693 |
| BAR | 1.355 | −0.175 | 0.3015 | 0.0962 | 0.1316 | 0.147 | −0.124 | 0.1591 | 0.0537 | 0.02 | 0.0664 | −0.00704 | −0.169 | −0.063 | −0.00023 | −0.232 | −0.089 | |
| VEG | 16.91 | −0.256 | −0.231 | −0.095 | 0.053 | 0.0927 | −0.152 | −0.627 | −0.557 | 0.2491 | −0.58 | 0.0499 | −0.257 | −0.228 | 0.7164 | |||
| WAT | 29.12 | 0.087 | 0.0144 | 0.0962 | −0.059 | 0.0978 | 0.0372 | −0.076 | −0.069 | −0.017 | −0.00536 | −0.00594 | 0.00182 | −0.053 | 0.0492 | 0.0322 | 0.0981 | |
| S | IS | 19.52 | 0.2213 | −0.7699 | −0.6136 | −0.4874 | 0.3388 | 0.9038 | 0.0926 | 0.4768 | 0.001217 | −0.6547 | −0.4272 | −0.5066 | ||||
| BAR | 2.627 | −0.2989 | −0.3105 | 0.1152 | −0.1482 | −0.2444 | 0.1336 | −0.125 | 0.2058 | |||||||||
| VEG | 186.1 | 70.75 | 194.7 | −127.4 | 107.1 | −98.11 | −56.41 | 9.845 | −63.34 | 27.9 | −5.96 | 4.201 | 6.856 | |||||
| WAT | 2.167 | 0.1443 | −0.2204 | 0.009498 | −0.04595 | 0.03229 | −0.09973 | −0.04569 | −0.09476 | |||||||||
| H | IS | 20.72 | 0.1891 | 0.1291 | 0.5941 | 0.02974 | 0.6129 | 0.05458 | 0.5256 | 0.06834 | 0.4948 | −0.1312 | 0.1416 | 0.1216 | ||||
| BAR | 25.09 | 1.122 | 1.313 | 4.176 | 13.37 | 0.9052 | 0.3479 | |||||||||||
| VEG | 53.04 | −0.2223 | 2.937 | 6.231 | 1.791 | −4.674 | 5.594 | −8.729 | 7.167 | |||||||||
| WAT | 4.939 | −0.2095 | 0.0559 | −0.2429 | 0.1876 | 0.2851 | 0.2282 | 0.4525 | −0.1428 | 0.2119 | −0.05687 | −0.2976 | −0.2312 | |||||
| C | IS | 22.6 | 1.402 | 0.6598 | 1.603 | −2.814 | −0.3411 | 1.276 | 0.012 | 0.8081 | −2.761 | 0.2241 | ||||||
| BAR | 18.03 | −1.773 | −0.4405 | 0.5072 | 1.657 | 1.701 | −0.1048 | −0.5685 | 0.4593 | 12.59 | −1.947 | |||||||
| VEG | 48.67 | −0.3125 | 2.776 | 1.664 | 4.721 | 8.529 | −5.033 | −6.367 | −5.891 | |||||||||
| WAT | 12.87 | 0.551 | 0.3425 | 0.2042 | 0.3781 | −0.3731 | −0.1885 | −0.6173 | −0.5841 | −0.03062 | −0.6431 | 0.3435 | −0.7094 |
| City | Land Cover | Period (Days) | City | Land Cover | Period (Days) |
|---|---|---|---|---|---|
| Melbourne | IS | 703.8 | Hamburg | IS | 687.1 |
| BAR | 99.7 | BAR | 368.2 | ||
| VEG | 436.6 | VEG | 183.8 | ||
| WAT | 384.9 | WAT | 285.0 | ||
| Sao Paulo | IS | 702.5 | Chicago | IS | 215.3 |
| BAR | 1919.1 | BAR | 362.5 | ||
| VEG | 2211.6 | VEG | 684.4 | ||
| WAT | 469.6 | WAT | 181.6 |
| City | Land Cover | Number of Parameters | Number of Observations | R-Squared | RMSE (%) | Overall Accuracy (%) | Kappa Coefficient |
|---|---|---|---|---|---|---|---|
| M | IS | 17 | 30 | 0.8273 | 0.007 | 90.20~98.24 | 0.8723~0.9806 |
| BAR | 17 | 30 | 0.6491 | 0.003 | |||
| VEG | 15 | 30 | 0.8232 | 0.006 | |||
| WAT | 17 | 30 | 0.9106 | 0.007 | |||
| S | IS | 13 | 22 | 0.9147 | 0.4780 | 86.19~96.49 | 0.8001~0.9497 |
| BAR | 9 | 22 | 0.7972 | 0.2922 | |||
| VEG | 13 | 22 | 0.8955 | 0.4887 | |||
| WAT | 9 | 22 | 0.6709 | 0.1942 | |||
| H | IS | 13 | 24 | 0.6829 | 0.4588 | 93.74~98.68 | 0.9217~0.9835 |
| BAR | 7 | 24 | 0.7686 | 5.966 | |||
| VEG | 9 | 24 | 0.9011 | 4.226 | |||
| WAT | 13 | 24 | 0.7557 | 0.2389 | |||
| C | IS | 11 | 18 | 0.8940 | 1.094 | 88.56~98.72 | 0.9847~0.8627 |
| BAR | 11 | 18 | 0.9721 | 1.910 | |||
| VEG | 9 | 18 | 0.6437 | 7.275 | |||
| WAT | 13 | 18 | 0.9479 | 0.2105 |
© 2018 by the authors. Licensee MDPI, Basel, Switzerland. This article is an open access article distributed under the terms and conditions of the Creative Commons Attribution (CC BY) license (http://creativecommons.org/licenses/by/4.0/).
Share and Cite
Zhang, H.; Wang, T.; Zhang, Y.; Dai, Y.; Jia, J.; Yu, C.; Li, G.; Lin, Y.; Lin, H.; Cao, Y. Quantifying Short-Term Urban Land Cover Change with Time Series Landsat Data: A Comparison of Four Different Cities. Sensors 2018, 18, 4319. https://doi.org/10.3390/s18124319
Zhang H, Wang T, Zhang Y, Dai Y, Jia J, Yu C, Li G, Lin Y, Lin H, Cao Y. Quantifying Short-Term Urban Land Cover Change with Time Series Landsat Data: A Comparison of Four Different Cities. Sensors. 2018; 18(12):4319. https://doi.org/10.3390/s18124319
Chicago/Turabian StyleZhang, Hongsheng, Ting Wang, Yuhan Zhang, Yiru Dai, Jiangjie Jia, Chang Yu, Gang Li, Yinyi Lin, Hui Lin, and Yang Cao. 2018. "Quantifying Short-Term Urban Land Cover Change with Time Series Landsat Data: A Comparison of Four Different Cities" Sensors 18, no. 12: 4319. https://doi.org/10.3390/s18124319
APA StyleZhang, H., Wang, T., Zhang, Y., Dai, Y., Jia, J., Yu, C., Li, G., Lin, Y., Lin, H., & Cao, Y. (2018). Quantifying Short-Term Urban Land Cover Change with Time Series Landsat Data: A Comparison of Four Different Cities. Sensors, 18(12), 4319. https://doi.org/10.3390/s18124319

