A Novel Dynamic Spectrum-Sharing Method for Integrated Wireless Multimedia Sensors and Cognitive Satellite Networks
Abstract
1. Introduction
2. Spectrum-Sharing Method for the Integrated Wireless Multimedia Sensor and Cognitive Satellite Network
3. Interference Analysis and Dynamic Frequency Allocation
3.1. Interference Analysis Model
3.2. Interference Analysis in the Worst Case
3.3. Dynamic Frequency Allocation Algorithm
| Algorithm 1 Dynamic requency allocation algorithm. |
| Input:, Output: Begin: Divide LEO beams into clusters based on 7-cell frequency reuse pattern. for to do Determine the frequency allocation scheme of each cluster based on (27). end for for to do if then Identify which cluster beam belongs to, and redetermine the scheme of this cluster. end if end for |
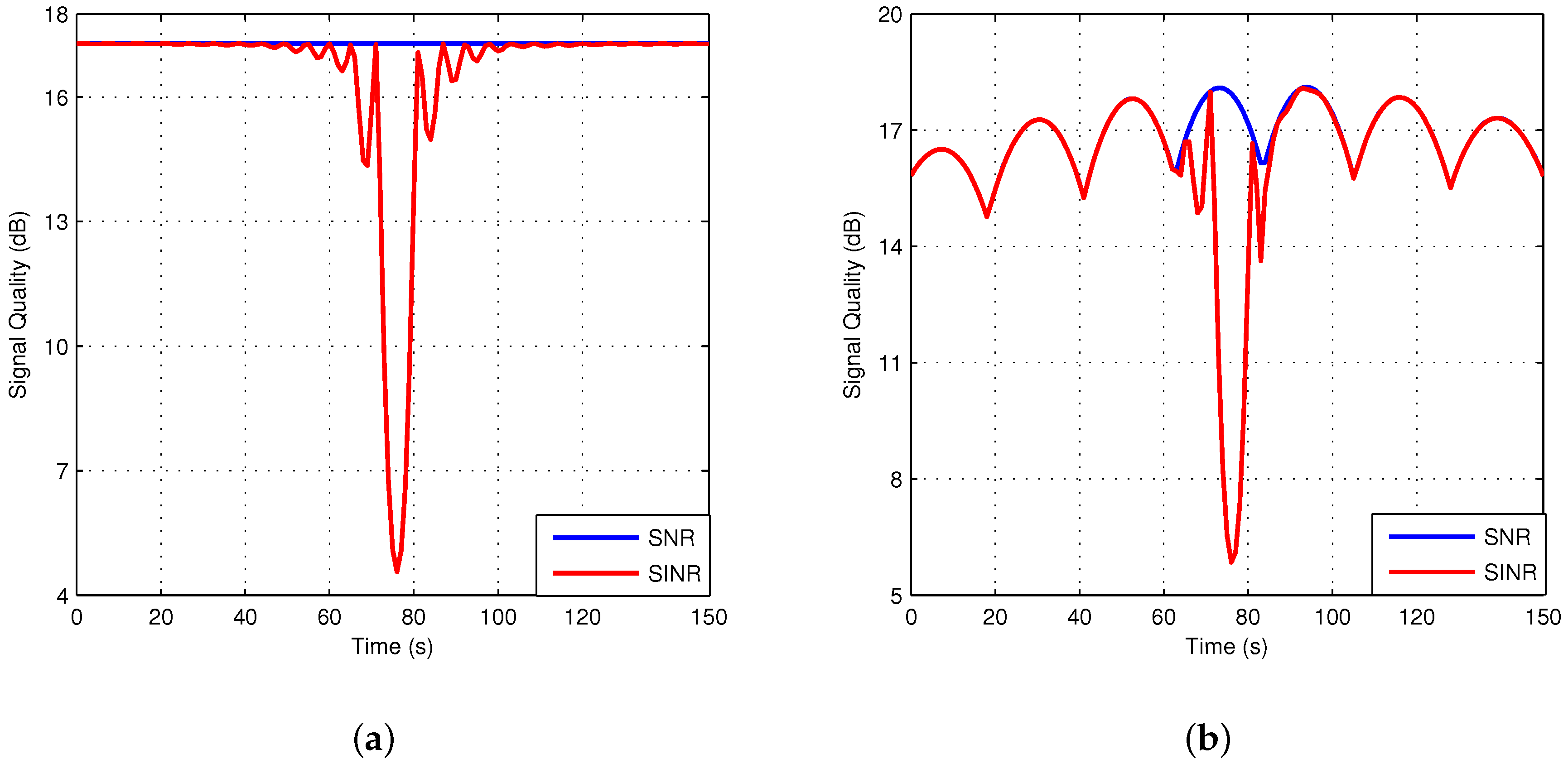
4. Coexistence Simulations
5. Conclusions
Author Contributions
Funding
Acknowledgments
Conflicts of Interest
Abbreviations
| APC | Adaptive Power Control |
| CCI | Co-Channel Interference |
| ECEF | Earth-Centered Earth-Fixed |
| GEO | Geostationary Earth Orbit |
| ITU | International Telecommunication Union |
| LEO | Low Earth Orbit |
| NGSO | Non-GeoStationary Orbit |
| SINR | Signal to Interference plus Noise Ratio |
| SNR | Signal to Noise Ratio |
| WMSN | Wireless Multimedia Sensor Network |
| WSN | Wireless Sensor Network |
References
- Akyildiz, I.F.; Su, W.; Sankarasubramaniam, Y.; Cayirci, E. A survey on sensor networks. IEEE Commun. Mag. 2002, 40, 102–114. [Google Scholar] [CrossRef]
- Aulov, O.; Halem, M. Human sensor networks for improved modeling of natural disasters. Proc. IEEE 2012, 100, 2812–2823. [Google Scholar] [CrossRef]
- Astapov, S.; Preden, J.S.; Ehala, J.; Riid, A. Object detection for military surveillance using distributed multimodal smart sensors. In Proceedings of the International Conference on Digital Signal Processing (DSP), Beijing, China, 16–18 October 2014. [Google Scholar]
- Celandroni, N.; Ferro, E.; Gotta, A. A survey of architectures and scenarios in satellite-based wireless sensor networks: System design aspects. Int. J. Satell. Commun. Netw. 2013, 31, 1–38. [Google Scholar] [CrossRef]
- Rawat, P.; Singh, K.D.; Chaouchi, H.; Bonnin, J.M. Wireless sensor networks: A survey on recent developments and potential synergies. J. Supercomput. 2014, 68, 1–48. [Google Scholar] [CrossRef]
- Hanson, W.A. In Their Own Words: OneWeb’s Internet Constellation as Described in Their FCC Form 312 Application. New Sp. 2016, 4, 153–167. [Google Scholar] [CrossRef]
- Li, H.; Yin, H.; Gong, X.; Dong, F.; Ren, B.; He, Y.; Wang, J. Performance Analysis of Integrated Wireless Sensor and Multibeam Satellite Networks Under Terrestrial Interference. Sensors 2016, 16, 1711. [Google Scholar] [CrossRef] [PubMed]
- Bisio, I.; Marchese, M. Satellite earth station (SeS) selection method for satellite-based sensor networks. IEEE Commun. Lett. 2007, 11, 970–972. [Google Scholar] [CrossRef]
- Dong, F.; Li, M.; Gong, X.; Li, H.; Gao, F. Diversity Performance Analysis on Multiple HAP Networks. Sensors 2015, 15, 15398–15418. [Google Scholar] [CrossRef] [PubMed]
- Wen-Qin, W.; Dingde, J. Integrated Wireless Sensor Systems via Near-Space and Satellite Platforms: A Review. IEEE Sens. J. 2014, 14, 3903–3914. [Google Scholar] [CrossRef]
- Verma, S.; Pillai, P.; Hu, Y. Performance evaluation of alternative network architectures for sensor-satellite integrated networks. In Proceedings of the 27th International Conference on Advanced Information Networking and Applications Workshops (WAINA’13), Barcelona, Spain, 25–28 March 2013; pp. 120–125. [Google Scholar]
- Zhang, W.; Zhang, G.; Dong, F.; Xie, Z.; Bian, D. Capacity model and constraints analysis for integrated remote wireless sensor and satellite network in emergency scenarios. Sensors 2015, 15, 29036–29055. [Google Scholar] [CrossRef] [PubMed]
- Clegg, A.; Weisshaar, A. Future radio spectrum access [Scanning the Issue]. Proc. IEEE 2014, 102, 239–241. [Google Scholar] [CrossRef]
- Mitola, J.; Maguire, G.Q. Cognitive radio: making software radios more personal. IEEE Pers. Commun. 1999, 6, 13–18. [Google Scholar] [CrossRef]
- Nitti, M.; Murroni, M.; Fadda, M.; Atzori, L. Exploiting Social Internet of Things Features in Cognitive Radio. IEEE Access 2016, 4, 9204–9212. [Google Scholar] [CrossRef]
- Gupta, A.; Jha, R.K. A Survey of 5G Network: Architecture and Emerging Technologies. IEEE Access 2015, 3, 1206–1232. [Google Scholar] [CrossRef]
- Ghahremani, S.; Khokhar, R.H.; Noor, R.M.; Naebi, A.; Kheyrihassankandi, J. On QoS routing in Mobile WiMAX cognitive radio networks. In Proceedings of the 2012 International Conference on Computer and Communication Engineering (ICCCE), Kuala Lumpur, Malaysia, 3–5 July 2012; pp. 467–471. [Google Scholar]
- Kumar, S.; Hegde, R.M. An Efficient Compartmental Model for Real-Time Node Tracking Over Cognitive Wireless Sensor Networks. IEEE Trans. Signal Process. 2015, 63, 1712–1725. [Google Scholar] [CrossRef]
- Jacob, P.; Sirigina, R.P.; Madhukumar, A.S.; Prasad, V.A. Cognitive Radio for Aeronautical Communications: A Survey. IEEE Access 2016, 4, 3417–3443. [Google Scholar] [CrossRef]
- Teng, Y.; Song, M. Cross-Layer Optimization and Protocol Analysis for Cognitive Ad Hoc Communications. IEEE Access 2017, 5, 18692–18706. [Google Scholar] [CrossRef]
- Jia, M.; Gu, X.; Guo, Q.; Xiang, W.; Zhang, N. Broadband Hybrid Satellite-Terrestrial Communication Systems Based on Cognitive Radio toward 5G. IEEE Wirel. Commun. 2016, 23, 96–106. [Google Scholar] [CrossRef]
- Yucek, T.; Arslan, H. A survey of spectrum sensing algorithms for cognitive radio applications. IEEE Commun. Surv. Tutor. 2009, 11, 116–130. [Google Scholar] [CrossRef]
- Clark, M.A.; Psounis, K. Equal Interference Power Allocation for Efficient Shared Spectrum Resource Scheduling. IEEE Trans. Wirel. Commun. 2017, 16, 58–72. [Google Scholar] [CrossRef]
- Jia, M.; Liu, X.; Gu, X.; Guo, Q. Joint cooperative spectrum sensing and channel selection optimization for satellite communication systems based on cognitive radio. Int. J. Satell. Commun. Netw. 2017, 35, 139–150. [Google Scholar] [CrossRef]
- Sharma, S.K.; Bogale, T.E.; Chatzinotas, S.; Ottersten, B.; Le, L.B.; Wang, X. Cognitive Radio Techniques Under Practical Imperfections: A Survey. IEEE Commun. Surv. Tutor. 2015, 17, 1858–1884. [Google Scholar] [CrossRef]
- Hoyhtya, M.; Kyrolainen, J.; Hulkkonen, A.; Ylitalo, J.; Roivainen, A. Application of cognitive radio techniques to satellite communication. In Proceedings of the 2012 IEEE International Symposium on Dynamic Spectrum Access Networks (DYSPAN 2012), Bellevue, WA, USA, 16–19 October 2012; pp. 540–551. [Google Scholar]
- Yuan, C.; Lin, M.; Ouyang, J.; Bu, Y. Beamforming schemes for hybrid satellite-terrestrial cooperative networks. AEU Int. J. Electron. Commun. 2015, 69, 1118–1125. [Google Scholar] [CrossRef]
- Sharma, S.K.; Chatzinotas, S.; Ottersten, B. Transmit beamforming for spectral coexistence of satellite and terrestrial networks. In Proceedings of the IEEE 8th International Conference on Cognitive Radio Oriented Wireless Networks, Washington, DC, USA, 8–10 July 2013; pp. 275–281. [Google Scholar]
- Mangold, S.; Jarosch, A.; Monney, C. Operator Assisted Cognitive Radio and Dynamic Spectrum Assignment with Dual Beacons—Detailed Evaluation. In Proceedings of the IEEE 2006 1st International Conference on Communication Systems Software & Middleware, New Delhi, India, 8–12 January 2006; pp. 1–6. [Google Scholar]
- Rabbachin, A.; Quek, T.Q.S.; Hyundong, S.; Win, M.Z. Cognitive Network Interference. IEEE J. Sel. Areas Commun. 2011, 29, 480–493. [Google Scholar] [CrossRef]
- Sharma, S.K.; Chatzinotas, S.; Ottersten, B.; Access, O.; Sharma, S.K.; Chatzinotas, S.; Ottersten, B. Interference alignment for spectral coexistence of heterogeneous networks. EURASIP J. Wirel. Commun. Netw. 2013, 2013, 46. [Google Scholar] [CrossRef]
- Chatzinotas, S.; Sharma, S.K.; Ottersten, B. Frequency packing for interference alignment-based cognitive dual satellite systems. IEEE Veh. Technol. Conf. 2013, 19–22. [Google Scholar] [CrossRef]
- Christopoulos, D.; Chatzinotas, S.; Ottersten, B. User scheduling for coordinated dual satellite systems with linear precoding. In Proceedings of the IEEE International Conference on Communications, Budapest, Hungary, 9–13 June 2013; pp. 4498–4503. [Google Scholar]
- Lagunas, E.; Maleki, S.; Chatzinotas, S.; Soltanalian, M.; Pérez-Neira, A.I.; Oftersten, B. Power and rate allocation in cognitive satellite uplink networks. In Proceedings of the 2016 IEEE International Conference on Communications (ICC), Kuala Lumpur, Malaysia, 22–27 May 2016. [Google Scholar] [CrossRef]
- Shi, S.; Li, G.; An, K.; Gao, B.; Zheng, G. Energy-Efficient Optimal Power Allocation in Integrated Wireless Sensor and Cognitive Satellite Terrestrial Networks. Sensors 2017, 17, 2025. [Google Scholar] [CrossRef] [PubMed]
- Vassaki, S.; Poulakis, M.I.; Panagopoulos, A.D. Optimal iSINR-based power control for cognitive satellite terrestrial networks. Trans. Emerg. Telecommun. Technol. 2017, 28, e2945. [Google Scholar] [CrossRef]
- Hoyhtya, M.; Mammela, A.; Chen, X.; Hulkkonen, A.; Janhunen, J.; Dunat, J.-C.; Gardey, J. Database- Assisted Spectrum Sharing in Satellite Communications: A Survey. IEEE Access 2017, 5, 25322–25341. [Google Scholar] [CrossRef]
- Sharma, S.K.; Chatzinotas, S.; Ottersten, B. In-line interference mitigation techniques for spectral coexistence of GEO and NGEO satellites. Int. J. Satell. Commun. Netw. 2016, 34, 11–39. [Google Scholar] [CrossRef]
- Sharma, S.K.; Chatzinotas, S.; Ottersten, B. Cognitive beamhopping for spectral coexistence of multibeam satellites. Int. J. Satell. Commun. Netw. 2015, 33, 69–91. [Google Scholar] [CrossRef]
- Wang, C.; Bian, D.; Shi, S.; Xu, J.; Zhang, G. A Novel Cognitive Satellite Network with GEO and LEO Broadband Systems in the Downlink Case. IEEE Access 2018, 6, 25987–26000. [Google Scholar] [CrossRef]
- Alegre-Godoy, R.; Vazquez-Castro, M.A. Spatial Diversity with Network Coding for ON/OFF Satellite Channels. IEEE Commun. Lett. 2013, 17, 1612–1615. [Google Scholar] [CrossRef]
- Liolis, K.; Schlueter, G.; Krause, J.; Zimmer, F.; Combelles, L.; Grotz, J.; Chatzinotas, S.; Evans, B.; Guidotti, A.; Tarchi, D.; et al. Cognitive Radio Scenarios for Satellite Communications: The CoRaSat Approach. In Proceedings of the 2013 Future Network & Mobile Summit, Lisboa, Portugal, 3–5 July 2013; pp. 1–10. [Google Scholar]
- Chandler, C.; Hoey, L. Advanced Antenna Technology for a Broadband Ka-Band Communication Satellite. Technol. Rev. J. 2002, 37–55. [Google Scholar]
- Maral, G.; Bousquet, M. Uplink, downlink and overall link performance; intersatellite links. In Satellite Communications Systems: Systems, Techniques and Technology; John Wiley & Sons Ltd.: Chichester, UK, 2011; pp. 163–246. [Google Scholar]
- Goel, P. An Implicit Enumeration Algorithm to Generate Tests for Combinational Logic Circuits. IEEE Trans. Comput. 1981, C-30, 215–222. [Google Scholar] [CrossRef]









| Parameters | GEO | LEO |
|---|---|---|
| Semimajor axis | 42,164.1 km | 7378.14 km |
| Eccentricity | 0 | 0 |
| Inclination angle | ||
| Right ascension of the ascending node | ||
| Argument of perigee | ||
| Time past perigee | 0 s | 0 s |
| Parameters | Notations | Value |
|---|---|---|
| Frequency band | f | 20 GHz (Ka) |
| Noise temperature of receive antenna | 290 K | |
| Antenna efficiency | 55% | |
| Antenna diameter of the user | 0.4 m | |
| Bandwidth of each beam | B | 10 MHz |
| Antenna diameter of GEO satellite | 0.6 m | |
| Transmit power of GEO beam | 60 W | |
| Antenna diameter of LEO satellite | 0.1 m | |
| Transmit power of LEO beam | 2 W |
| Parameters | Notations | Value |
|---|---|---|
| Analysis start time | 24 August 2018 06:50:51 | |
| Analysis stop time | 24 August 2018 06:53:45 | |
| Time step | 1 s | |
| Latitude of users | ||
| Longitude of users | ||
| Number of LEO clusters | 7 | |
| Frequency reuse factor of GEO satellite | K | 7 |
| Number of LEO beams | N | 37 |
| Threshold value of SINR | 14 dB |
© 2018 by the authors. Licensee MDPI, Basel, Switzerland. This article is an open access article distributed under the terms and conditions of the Creative Commons Attribution (CC BY) license (http://creativecommons.org/licenses/by/4.0/).
Share and Cite
Wang, C.; Bian, D.; Zhang, G.; Cheng, J.; Li, Y. A Novel Dynamic Spectrum-Sharing Method for Integrated Wireless Multimedia Sensors and Cognitive Satellite Networks. Sensors 2018, 18, 3904. https://doi.org/10.3390/s18113904
Wang C, Bian D, Zhang G, Cheng J, Li Y. A Novel Dynamic Spectrum-Sharing Method for Integrated Wireless Multimedia Sensors and Cognitive Satellite Networks. Sensors. 2018; 18(11):3904. https://doi.org/10.3390/s18113904
Chicago/Turabian StyleWang, Chuang, Dongming Bian, Gengxin Zhang, Jian Cheng, and Yongqiang Li. 2018. "A Novel Dynamic Spectrum-Sharing Method for Integrated Wireless Multimedia Sensors and Cognitive Satellite Networks" Sensors 18, no. 11: 3904. https://doi.org/10.3390/s18113904
APA StyleWang, C., Bian, D., Zhang, G., Cheng, J., & Li, Y. (2018). A Novel Dynamic Spectrum-Sharing Method for Integrated Wireless Multimedia Sensors and Cognitive Satellite Networks. Sensors, 18(11), 3904. https://doi.org/10.3390/s18113904

