Roll Angle Measurement for a Spinning Vehicle Based on GPS Signals Received by a Single-Patch Antenna
Abstract
1. Introduction
2. Analysis of Modulation Process
2.1. The Models of Antenna and Spinning Vehicle
2.2. Coordinate Transformations in Roll Angle Measurement
- Get the LOS vector from ECEF positions of the i-th satellite and the vehicle, which are obtained by GPS receiver.where is the i-th satellite position, Pv is the vehicle position in the ECEF coordinate system.
- Transform the LOS vector from the ECEF coordinate system to the vehicle-carried NED coordinate system.where Rn/e is the rotation matrix from the ECEF frame to the vehicle-carried NED frame, which is given bywhere ϕgeo and λgeo are the geodetic longitude and latitude position of the vehicle respectively.
- Then transform LOS vector from vehicle-carried NED frame to the reference coordinate system OXrYrZr which is set up in Figure 4.where Rr/n is the rotation matrix from the vehicle-carried NED frame to the reference coordinate system, which is given by:where ψref and θref are the yaw and pitch angle of the vehicle respectively.
- Lastly, Ψi is obtained by the arctangent value of the LOS vector in the reference coordinate system.
3. Analysis of Roll Modulation Signals
3.1. The Extraction Method of Roll Modulation Signals
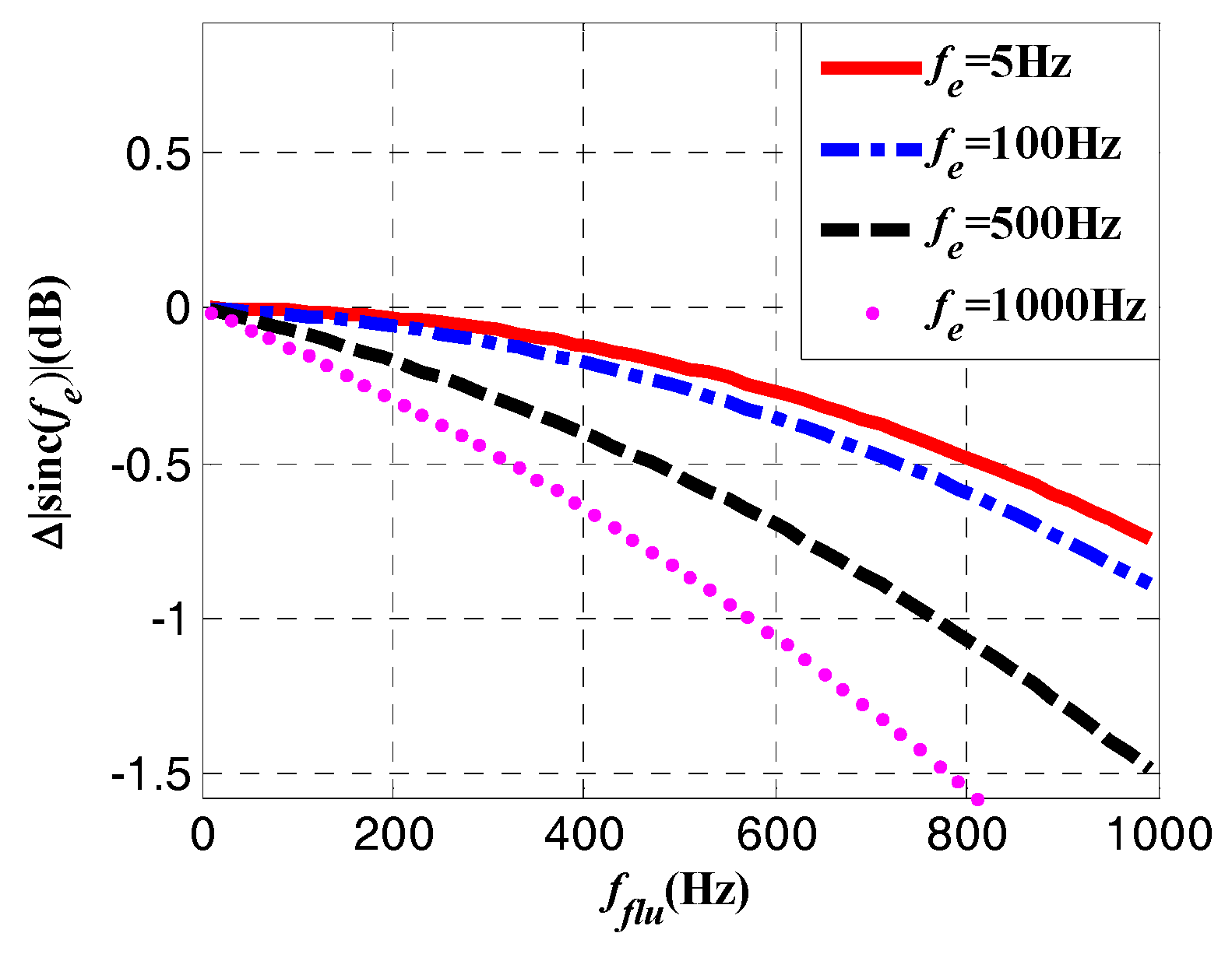
3.2. SNR Analysis of the Roll Modulation Signals
4. Design of Roll Angle Detection Module
4.1. Design of Tracking Loops
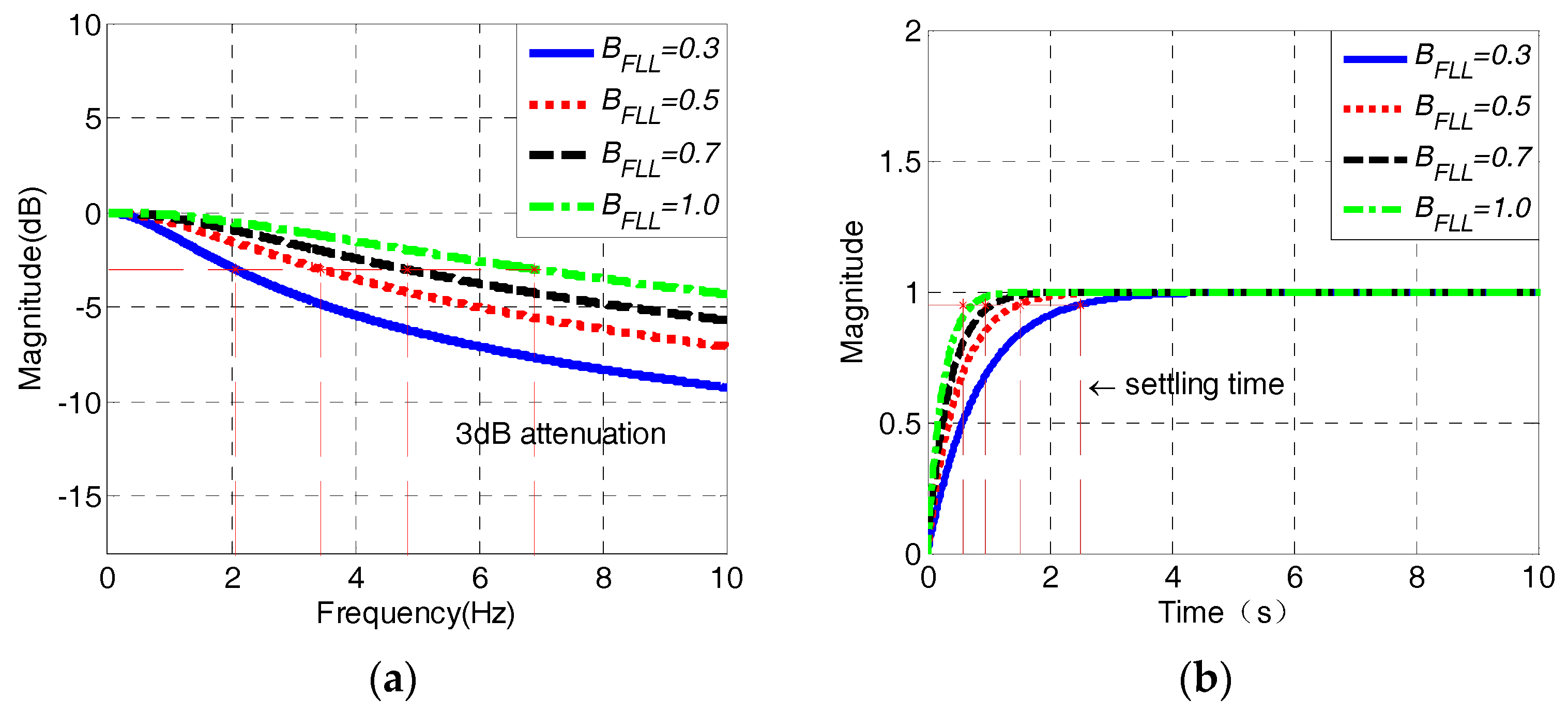
4.2. Parameter Optimization of Tracking Loops
4.3. Error Analysis of Tracking Loops
5. Experiment Validation
5.1. Intermediate Frequency Signal Acquisition and ADC Systems
5.2. Experiment Description
- (1)
- Initialize the Flash of both systems with PC via the serial port. Send signals to start the IF acquisition system (t0) and the ADC system (t1) and record their start time;
- (2)
- Ensure the antenna’s boresight is oriented to the zenith and record 90 s of IF data in static situation, record the start time (t2) and the end time (t3) as well;
- (3)
- Turn on the rotary machine, the antenna and Hall effect sensor rotates with the vehicle for 120 s with three different speeds listed in Table 3 and record the start time (t3) and end time (t4);
- (4)
- Connect the serial port, stop IF signals acquisition system (t5) and the ADC system (t6), record the end time of both recording systems, and read the data of them.
5.3. Tracking Results
5.4. Roll Angle Detection Results
6. Conclusions
Author Contributions
Funding
Acknowledgments
Conflicts of Interest
References
- Changey, S.; Pecheur, E.; Bernard, L.; Sommer, E.; Wey, P.; Berner, C. Real time estimation of projectile roll angle using magnetometers: In-flight experimental validation. In Proceedings of the Position Location and Navigation Symposium (PLANS), Myrtle Beach, SC, USA, 24–26 April 2012; pp. 371–376. [Google Scholar]
- Park, H.Y.; Kim, K.J.; Lee, J.G.; Chan, G.P. Roll angle estimation for smart munitions. IFAC Proc. Vol. 2007, 40, 49–54. [Google Scholar] [CrossRef]
- Harkins, T.E.; Wilson, M.J. Measuring In-Flight Angular Motion with a Low-Cost Magnetometer; Army Research Lab Aberdeen Proving Ground MD Weapons and Materials Research Directorate: Adelphi, MD, USA, 2007. [Google Scholar]
- Cohen, C.E.; Parkinson, B.W. Integer ambiguity resolution of the GPS carrier for spacecraft attitude determination. In Proceedings of the 15th Annual AAS Rocky Mountain Conference, Keystone, CO, USA, 8–12 February 1992; pp. 107–118. [Google Scholar]
- Cohen, C.E. Attitude determination. In Global Positioning System: Theory and Applications, Volume II; AIAA: Washington, DC, USA, 1996; pp. 519–538. [Google Scholar]
- Juang, J.C.; Huang, G.S. Development of GPS-based attitude determination algorithms. IEEE Trans. Aerosp. Electron. Syst. 1997, 33, 968–976. [Google Scholar] [CrossRef]
- Bahder, T.B. Attitude determination from single-antenna carrier-phase measurements. J. Appl. Phys. 2002, 91, 4677–4684. [Google Scholar] [CrossRef]
- Li, Y.; Zhang, K.; Roberts, C.; Murata, M. On-the-fly GPS-based attitude determination using single- and double-differenced carrier phase measurements. GPS Solut. 2004, 8, 93–102. [Google Scholar] [CrossRef]
- Li, Y.; Zhang, J.; Fei, T.; Cui, N.; Shang, Y. Single antenna GPS carrier amplitude based rolling angle determination. In Proceedings of the 2014 IEEE Chinese Guidance, Navigation and Control Conference, Yantai, China, 8–10 August 2014; pp. 206–211. [Google Scholar]
- Lee, S.; Jin, M.; Choi, H.H.; Lee, S.J. Design of Roll Rate Estimator using GPS Signal for Spinning Vehicle. J. Position. Navig. Timing 2016, 5, 109–118. [Google Scholar] [CrossRef][Green Version]
- Axelrad, P.; Behre, C.P. Satellite attitude determination based on GPS signal-to-noise ratio. Proc. IEEE 1999, 87, 133–144. [Google Scholar] [CrossRef]
- Shen, Q.; Li, M.; Gong, R. GPS positioning algorithm for a spinning vehicle with discontinuous signals received by a single-patch antenna. GPS Solut. 2017, 1491–1502. [Google Scholar] [CrossRef]
- Alexander, S.B.; Redhead, R. Systems and Methods for Determining a Rotational Position of an Object. U.S. Patent US7986265, 26 July 2011. [Google Scholar]
- Luo, J.; Vander Velde, W.E.; Tseng, H.W.; Upadhyay, T.N. Single Antenna GPS Measurement of Roll Rate and Roll Angle of Spinning Platform. U.S. Patent US9429660, 30 August 2016. [Google Scholar]
- Lindquist, E.; Kreichauf, R.D. Apparatus and Appertaining Method for Upfinding in Spinning Projectiles Using a Phase-Lock-Loop or Correlator Mechanism. U.S. Patent US7395987, 8 July 2008. [Google Scholar]
- Doty, J.H. Advanced Spinning-Vehicle Navigation—A New Technique in Navigation of Munitions. In Proceedings of the Annual Meeting of the Institute of Navigation, Albuquerque, NM, USA, 11–13 June 2001; pp. 745–754. [Google Scholar]
- Doty, J.H.; Anderson, D.A.; Bybee, T.D. A demonstration of advanced spinning-vehicle navigation. In Proceedings of the 2004 National Technical Meeting of the Institute of Navigation, San Diego, CA, USA, 26–28 January 2004; pp. 573–584. [Google Scholar]
- Doty, J.H.; Mcgraw, G.A. Spinning-Vehicle Navigation Using Apparent Modulation of Navigational Signals. U.S. Patent US6520448, 18 February 2003. [Google Scholar]
- Waterhouse, R. Microstrip Patch Antennas. In Handbook of Antennas in Wireless Communications; Godara, L.C., Ed.; CRC Press: Boca Raton, FL, USA, 2001; ISBN 0849301246. [Google Scholar]
- Garg, R.; Bhartia, P.; Bahl, I.J.; Ittipiboon, A. Microstrip Antenna Design Handbook; Artech House: London, UK, 2001; ISBN 0890065136. [Google Scholar]
- Cai, G.; Chen, B.M.; Lee, T.H. Coordinate Systems and Transformations. In Unmanned Rotorcraft Systems. Advances in Industrial Control; Cai, G., Chen, B.M., Lee, T.H., Eds.; Springer: London, UK, 2011; pp. 23–34. ISBN 0857296345. [Google Scholar]
- Kaplan, E.D.; Hegarty, C.J. Satellite Signal Acquisition, Tracking, and Data Demodulation. In Understanding GPS: Principles and Applications, 2nd ed.; Kaplan, E.D., Hegarty, C.J., Eds.; Artech House: Norwood, MA, USA, 2006; pp. 153–241. ISBN 1580538940. [Google Scholar]
- Lowe, S.T. Voltage Signal-to-Noise Ratio (SNR) Nonlinearity Resulting from Incoherent Summations; The Telecommunications and Mission Operations Progress Report, TMO PR 42-137; California Institute of Technology: Pasadena, CA, USA, 1999; pp. 1–6. [Google Scholar]
- Ward, P.W. Performance Comparisons between FLL, PLL and a Novel FLL-Assisted-PLL Carrier Tracking Loop Under RF Interference Conditions. In Proceedings of the 11th International Technical Meeting of the Satellite Division of the Institute of Navigation, Nashville, TN, USA, 15–18 September 1998; pp. 783–795. [Google Scholar]
- Best, R.E. PLL Performance in The Presence of Noise. In Phase Locked Loops: Design, Simulation, and Applications, 6th ed.; Best, R.E., Ed.; McGraw-Hill Professional: New York, NY, USA, 2007; ISBN 0071493751. [Google Scholar]
























| Rotational Speed/(r/s) | FLL Noise Bandwidth BFLL/(Hz) | PLL Noise Bandwidth BPLL/(Hz) | Damping Ratio ξ | Integration Time Troll/(ms) |
|---|---|---|---|---|
| 3 ≤ fr < 4 | 0.3 | 0.3 | 0.3 | 333 |
| 4 ≤ fr < 10 | 0.3 | 0.3 | 0.3 | 250 |
| 10 ≤ fr ≤ 40 | 0.3 | 0.5 | 0.5 | 100 |
| 40 < fr < 300 | 0.5 | 1 | 0.5 | 50 |
| Rotational Speed/(r/s) | Settling Time/(s) | 3 dB Attenuation Frequency/(Hz) | Overshoot | Pull-In Range/(Hz) |
|---|---|---|---|---|
| 3 ≤ fr < 4 | 18.76 | 1.04 | 1.45 | ±1.5 |
| 4 ≤ fr < 10 | 18.76 | 1.04 | 1.45 | ±2 |
| 10 ≤ fr ≤ 40 | 4.38 | 2.35 | 1.30 | ±5 |
| 40 < fr < 300 | 2.3 | 4.70 | 1.21 | ±10 |
| Group | Nominal Rotational Speed/(r/s) | Real Rotational Speed /(r/s) | Standard Deviation/(°) |
|---|---|---|---|
| 1 | 5 | 3.8 | 2.5 |
| 2 | 8 | 6.4 | 3.7 |
| 3 | 10 | 7.4 | 4.2 |
| Average deviation | 3.3 | ||
© 2018 by the authors. Licensee MDPI, Basel, Switzerland. This article is an open access article distributed under the terms and conditions of the Creative Commons Attribution (CC BY) license (http://creativecommons.org/licenses/by/4.0/).
Share and Cite
Deng, Z.; Shen, Q.; Deng, Z. Roll Angle Measurement for a Spinning Vehicle Based on GPS Signals Received by a Single-Patch Antenna. Sensors 2018, 18, 3479. https://doi.org/10.3390/s18103479
Deng Z, Shen Q, Deng Z. Roll Angle Measurement for a Spinning Vehicle Based on GPS Signals Received by a Single-Patch Antenna. Sensors. 2018; 18(10):3479. https://doi.org/10.3390/s18103479
Chicago/Turabian StyleDeng, Zilong, Qiang Shen, and Zhaowei Deng. 2018. "Roll Angle Measurement for a Spinning Vehicle Based on GPS Signals Received by a Single-Patch Antenna" Sensors 18, no. 10: 3479. https://doi.org/10.3390/s18103479
APA StyleDeng, Z., Shen, Q., & Deng, Z. (2018). Roll Angle Measurement for a Spinning Vehicle Based on GPS Signals Received by a Single-Patch Antenna. Sensors, 18(10), 3479. https://doi.org/10.3390/s18103479
