Federation of Internet of Things Testbeds for the Realization of a Semantically-Enabled Multi-Domain Data Marketplace
Abstract
1. Introduction
2. Related Work
2.1. Experimental Infrastructures
2.2. Experimentation-as-a-Service
2.3. Semantic Interoperability
2.4. IoT Data Marketplaces
2.5. Sensor Web Enablement and Web of Things
2.6. Semantic Web and Semantic Annotation of Sensor Data
- A Resource which is a “Computational element that gives access to information about or actuation capabilities on a Physical Entity” [57].
- An IoT service which is a “Software component enabling interaction with IoT resources through a well-defined interface.” [57].
- An Observation is an “Act of carrying out a procedure to estimate or calculate a value of a property of a feature of interest” [63].
3. Testbed Federation Concept and Conditions
4. Federated Testbeds
4.1. Criteria for Testbed Federation
- Usefulness: the degree of expected future use of the extension, which takes into account the amplitude (number and variety) of the testbed IoT resources, their nature (i.e., real or virtual resources), the testbed availability and the accessibility to the testbed resources for platform users during the whole project duration and beyond.
- Complementarity: the degree at which the testbed will provide new datasets and data streams, whereby it contributes to enlarge the critical mass of the existing experimentation support capacity offered by the 4 integrated testbeds, as well as to probe the interoperability solutions developed within the project, by providing additional datasets and data-streams on the domains of interest of the existing ones. Else, it can offer extra scenarios (smart agriculture, smart factory, crowd-sensing, underwater, etc.) with a high potential impact in terms of the real-world innovation enabled through the offered infrastructure and its associated datasets and data-streams.
- Sustainability: The guarantee of availability of the services offered by the extension in absence of future funding. This is linked with the history of the infrastructure and its demonstrable ability to support experimentation.
- Technical competence: The testbed provider should exhibit prior testbed management experience and the necessary qualifications to integrate their testbeds within the FIESTA-IoT federation.
- Feedback: The potential for providing feedback regarding the platform and the process of integrating new testbeds within the federation. Testbed providers must demonstrate value of the FIESTA-IoT federation procedures and/or motivate added-value extensions. Also, the business impact for joining the federation was considered.
4.2. Overall Federation Summary and Data Marketplace Offering
4.3. Federated Testbeds Overview
5. Federation Process Discussion
- The testbed’s data model is aligned to the FIESTA-IoT taxonomy;
- The testbed provider develops an annotator to enrich the data, and a TPS to expose it;
- The compliance of the annotated data and of the TPS are examined, and the testbed is certified;
- The testbed and its resources (sensors) are registered on the platform;
- The testbed provider configures the data collection process.
5.1. Technical Requirements Discussion
5.1.1. Preparing the Integration
Data Model Alignment
Building a Resource Description
Annotating Observation Data
Implementing the TPS
Obtaining a Certification
5.1.2. Integrating the Testbed
Registering the Testbed and Its Resources
Configuring the TPS
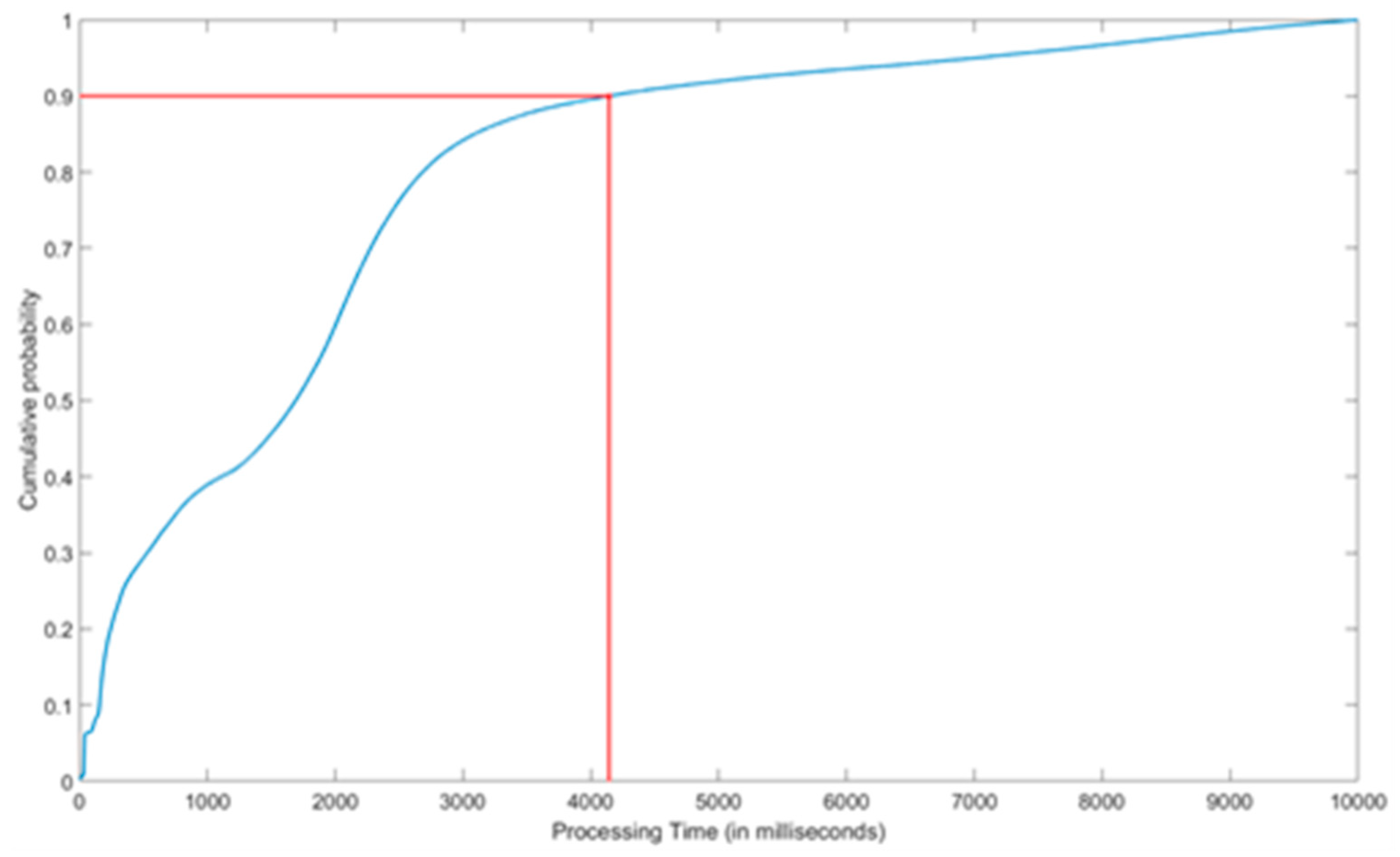
5.1.3. Running the TPS and Publishing Data to the Platform
5.1.4. Technical Integration Concluding Remarks
5.2. Federation Exploitation Discussion
6. Conclusions
Author Contributions
Acknowledgments
Conflicts of Interest
Appendix A. FIESTA-IoT Testbeds Detailed Offering
| Testbed | Phenomenon | FIESTA-IoT Quantiy Kind | Avg. Number of Active Sensors | Avg. Number of Observations Per Hour (Aprox.) |
|---|---|---|---|---|
| SmartSantander | Parking Availability | m3-lite#PresenceStateParking | 150 | n/a |
| Air Temperature | m3-lite#AirTemperature | 144 | 12 | |
| Air Dust | m3-lite#ChemicalAgentAtmosphericConcentrationAirParticles | 74 | 50 | |
| CO | m3-lite#ChemicalAgentAtmosphericConcentrationCO | 74 | 50 | |
| NO2 | m3-lite#ChemicalAgentAtmosphericConcentrationNO2 | 74 | 50 | |
| O3 | m3-lite#ChemicalAgentAtmosphericConcentrationO3 | 74 | 50 | |
| Relative Humidity | m3-lite#RelativeHumidity | 17 | 12 | |
| Noise | m3-lite#SoundPressureLevelAmbient | 11 | 12 | |
| 2.4 GHz Electromagnetic Field | m3-lite#ElectricField2400MHz | 10 | 12 | |
| 2.1 GHz Electromagnetic Field | m3-lite#ElectricField2100MHz | 10 | 12 | |
| 1.8 GHz Electromagnetic Field | m3-lite#ElectricField1800MHz | 10 | 12 | |
| 900 MHz Electromagnetic Field | m3-lite#ElectricField900MHz | 10 | 12 | |
| Soil Humidity | m3-lite#SoilMoistureTension | 8 | 12 | |
| Soil Temperature | m3-lite#SoilTemperature | 8 | 12 | |
| People Count | m3-lite#CountPeople | 7 | 6 | |
| Waste Bin Fill Level | m3-lite#FillLevelWasteContainer | 4 | 6 | |
| Atmospheric Pressure | m3-lite#AtmosphericPressure | 1 | 12 | |
| Solar Radiation | m3-lite#SolarRadiation | 1 | 12 | |
| Wind Speed | m3-lite# WindSpeed | 1 | 12 | |
| Wind Direction | m3-lite# WindDirection | 1 | 12 | |
| SmartICS | Building Temperature | m3-lite#Temperature and m3-lite#RoomTemperature | 104 | 6 |
| Relative Humidity | m3-lite#Humidity | 104 | 6 | |
| Noise | m3-lite#Sound | 103 | 6 | |
| Illuminance | m3-lite#Illuminance | 103 | 6 | |
| People Presence | m3-lite#Distance | 98 | 6 | |
| Active Power Consumption | m3-lite#Power | 29 | 6 | |
| SoundCity | Noise | m3-lite#Sound | 4 | n/a |
| Direction Heading | m3-lite#DirectionHeading | 4 | n/a | |
| Presence | m3-lite#Proximity | 4 | n/a | |
| Average Speed | m3-lite#SpeedAverage | 4 | n/a | |
| CABIN | People Presence | m3-lite#PresenceStatePeople | 49 | n/a |
| Building Temperature | m3-lite#BuildingTemperature | 41 | 6 | |
| Relative Humidity | m3-lite#RelativeHumidity | 41 | 6 | |
| Illuminance | m3-lite#Illuminance | 39 | 6 | |
| Parking Availability | m3-lite#PresenceStateParking | 19 | n/a | |
| CO2 | m3-lite#CO2 | 10 | 6 | |
| Active Power Consumption | m3-lite#Power | 9 | 6 | |
| NITOS | People Presence | m3-lite#PresenceStatePeople | 4 | 3 |
| Building Temperature | m3-lite#AirTemperature | 3 | 3 | |
| Relative Humidity | m3-lite#Humidity | 3 | 3 | |
| Illuminance | m3-lite#WeatherLuminosity | 3 | 3 | |
| Noise | m3-lite#SoundPressureLevel | 2 | 3 | |
| Door Status | m3-lite#DoorStatus | 2 | 3 | |
| Radiation | m3-lite#IonisingRadiation | 1 | 3 | |
| MARINE | Sea Water PH | m3-lite#PH | 3 | 4 |
| Sea Water Temperature | m3-lite#WaterTemperature | 3 | 4 | |
| Sea Water Conductivity | m3-lite#Conductivity | 2 | 4 | |
| Sea Water Oxidation Reduction | m3-lite#Voltage | 2 | 4 | |
| Atmospheric Pressure | m3-lite#AtmosphericPressure | 2 | 6 | |
| Air Temperature | m3-lite#AirTemperature | 2 | 6 | |
| Relative Humidity | m3-lite#Humidity | 2 | 6 | |
| Water NO3 Ion | m3-lite#ChemicalAgentWaterConcentrationNO3Ion | 1 | 4 | |
| IEEE 802.15.4 Signal Level | m3-lite#Power | 1 | 6 | |
| IEEE 802.11 Signal Level | m3-lite#Power | 1 | 6 | |
| LoRa Device RSSI | m3-lite#Power | 1 | 6 | |
| RealDC | Electric Voltage | m3-lite#Voltage | 486 | 4 |
| Electric Current | m3-lite#ElectricCurrent | 243 | 4 | |
| Active Power Consumption | m3-lite#ActivePower | 81 | 4 | |
| Reactive Power | m3-lite#ReactivePower | 81 | 4 | |
| Electric Frequency | m3-lite#Frequency | 81 | 4 | |
| Air Temperature | m3-lite#AirTemperature | 33 | 3 | |
| Cooling Water Temperature | m3-lite#WaterTemperature | 32 | 3 | |
| Atmospheric Pressure | m3-lite#AtmosphericPressure | 1 | 4 | |
| Dew Point | m3-lite#DewPointTemperature | 1 | 4 | |
| Relative Humidity | m3-lite#RelativeHumidity | 1 | 4 | |
| Rainfall | m3-lite#Rainfall | 1 | 4 | |
| Wind Chill | m3-lite#WindChill | 1 | 4 | |
| Wind Speed | m3-lite# WindSpeed | 1 | 4 | |
| Wind Direction | m3-lite# WindDirection | 1 | 4 | |
| Tera4Agri | Soil Humidity | m3-lite#SoilHumidity | 9 | 2 |
| Soil Temperature | m3-lite#SoilTemperature | 1 | 2 | |
| Air Temperature | m3-lite#AirTemperature | 1 | 2 | |
| Dew Point | m3-lite#DewPoint | 1 | 2 | |
| Leaf Weatness | m3-lite#LeafWetness | 1 | 2 | |
| Rainfall | m3-lite#Precipitation | 1 | 2 | |
| Relative Humidity | m3-lite#RelativeHumidity | 1 | 2 | |
| Solar Radiation | m3-lite#SolarRadiation | 1 | 2 | |
| Wind Speed | m3-lite#WindSpeed | 1 | 2 | |
| Wind Direction | m3-lite#WindDirection | 1 | 2 | |
| FINE | Board Temperature | m3-lite#BoardTemperature | 20 | 6 |
| Board Voltage | m3-lite#Voltage | 20 | 6 | |
| Device Uptime | m3-lite#DeviceUptime | 20 | 6 | |
| IEEE 802.15.4 Signal Level | m3-lite#Power | 20 | 6 | |
| Air Temperature | m3-lite#AirTemperature | 17 | 6 | |
| Relative Humidity | m3-lite#RelativeHumidity | 17 | 6 | |
| Air Dust | m3-lite#ChemicalAgentAtmosphericConcentrationAirParticles | 12 | 6 | |
| Illuminance | m3-lite#Illuminance | 11 | 6 | |
| Noise | m3-lite#SoundPressureLevelAmbient | 10 | 6 | |
| Electric Current | m3-lite#ElectricCurrent | 7 | 6 | |
| Electric Voltage | m3-lite#Voltage | 2 | 6 | |
| NO | m3-lite#ChemicalAgentAtmosphericConcentrationNO | 2 | 6 | |
| NO2 | m3-lite#ChemicalAgentAtmosphericConcentrationNO2 | 2 | 6 | |
| CO2 | m3-lite#CO2 | 2 | 6 | |
| O3 | m3-lite#ChemicalAgentAtmosphericConcentrationO3 | 2 | 6 | |
| SO2 | m3-lite#ChemicalAgentAtmosphericConcentrationSO2 | 2 | 6 | |
| VOC | m3-lite#ChemicalAgentAtmosphericConcentrationVOC | 2 | 6 | |
| Grasse Smart Territory | Lora Device SNR | m3-lite#SNR | 7 | 10 |
| Lora Device RSSI | m3-lite#RSSI | 7 | 10 | |
| ADREAM | Electric Voltage | m3-lite#Voltage | 145 | 8 |
| Building Temperature | m3-lite#Temperature | 54 | 3 | |
| Air Temperature | m3-lite#AirTemperature | 36 | 2 | |
| Electric Power | m3-lite#Energy | 10 | 10 |
References
- Thomke, S.H. Experimentation Matters: Unlocking the Potential of New Technologies for Innovation; Harvard Business School Press: Boston, MA, USA, 2003; ISBN 9781578517503. [Google Scholar]
- Rachedi, A.; Rehmani, M.H.; Cherkaoui, S.; Rodrigues, J.J.P.C. IEEE Access Special Section Editorial: The Plethora of Research in Internet of Things (IoT). IEEE Access 2016, 4, 9575–9579. [Google Scholar] [CrossRef]
- Almeida, A.; Fiore, A.; Mainetti, L.; Mulero, R.; Patrono, L.; Rametta, P. An IoT-Aware Architecture for Collecting and Managing Data Related to Elderly Behavior. Wirel. Commun. Mob. Comput. 2017, 2017, 5051915. [Google Scholar] [CrossRef]
- Zheng, K.; Zhao, S.; Yang, Z.; Xiong, X.; Xiang, W. Design and Implementation of LPWA-Based Air Quality Monitoring System. IEEE Access 2016, 4, 3238–3245. [Google Scholar] [CrossRef]
- Tsai, K.-L.; Leu, F.-Y.; You, I. Residence Energy Control System Based on Wireless Smart Socket and IoT. IEEE Access 2016, 4, 2885–2894. [Google Scholar] [CrossRef]
- Wan, J.; Yi, M.; Li, D.; Zhang, C.; Wang, S.; Zhou, K. Mobile Services for Customization Manufacturing Systems: An Example of Industry 4.0. IEEE Access 2016, 4, 8977–8986. [Google Scholar] [CrossRef]
- Al-Fuqaha, A.; Guizani, M.; Mohammadi, M.; Aledhari, M.; Ayyash, M. Internet of Things: A Survey on Enabling Technologies, Protocols, and Applications. IEEE Commun. Surv. Tutor. 2015, 17, 2347–2376. [Google Scholar] [CrossRef]
- Jara, A.J.; Genoud, D.; Bocchi, Y. Big data for smart cities with KNIME a real experience in the SmartSantander testbed. Softw. Pract. Exp. 2015, 45, 1145–1160. [Google Scholar] [CrossRef]
- Treboux, J.; Jara, A.J.; Dufour, L.; Genoud, D. A predictive data-driven model for traffic-jams forecasting in smart santader city-scale testbed. In Proceedings of the 2015 IEEE Wireless Communications and Networking Conference Workshops (WCNCW), New Orleans, LA, USA, 9–12 March 2015; pp. 64–68. [Google Scholar]
- Sanchez, L.; Muñoz, L.; Galache, J.A.; Sotres, P.; Santana, J.R.; Gutierrez, V.; Ramdhany, R.; Gluhak, A.; Krco, S.; Theodoridis, E. SmartSantander: IoT experimentation over a smart city testbed. Comput. Netw. 2014, 61, 217–238. [Google Scholar] [CrossRef]
- Adjih, C.; Baccelli, E.; Fleury, E.; Harter, G.; Mitton, N.; Noel, T.; Pissard-Gibollet, R.; Saint-Marcel, F.; Schreiner, G.; Vandaele, J.; Watteyne, T. FIT IoT-LAB: A large scale open experimental IoT testbed. In Proceedings of the IEEE 2nd World Forum on Internet of Things (WF-IoT), Milan, Italy, 14–16 December 2015; pp. 459–464. [Google Scholar]
- Latre, S.; Leroux, P.; Coenen, T.; Braem, B.; Ballon, P.; Demeester, P. City of things: An integrated and multi-technology testbed for IoT smart city experiments. In Proceedings of the 2016 IEEE International Smart Cities Conference (ISC2), Trento, Italy, 12–15 September 2016; pp. 1–8. [Google Scholar]
- Gluhak, A.; Krco, S.; Nati, M.; Pfisterer, D.; Mitton, N.; Razafindralambo, T. A survey on facilities for experimental internet of things research. IEEE Commun. Mag. 2011, 49, 58–67. [Google Scholar] [CrossRef]
- Tonneau, A.-S.; Mitton, N.; Vandaele, J. A Survey on (mobile) Wireless Sensor Network Experimentation Testbeds. In Proceedings of the IEEE International Conference on Distributed Computing in Sensor Systems, Marina Del Rey, CA, USA, 26–28 May 2014; pp. 263–268. [Google Scholar]
- FIESTA-IoT Project. Available online: http://fiesta-iot.eu/ (accessed on 10 May 2018).
- Lanza, J.; Sánchez, L.; Santana, J.R.; Agarwal, R.; Kefalakis, N.; Grace, P.; Elsaleh, T.; Zhao, M.; Tragos, E.; Nguyen, H.; et al. Experimentation as a Service over Semantically Interoperable Internet of Things Testbeds. IEEE Access 2018, 6. [Google Scholar] [CrossRef]
- Coulson, G.; Anwander, M.; Wagenknecht, G.; Fekete, S.P.; Kröller, A.; Baumgartner, T.; Porter, B.; Chatzigiannakis, I.; Koninis, C.; Fischer, S.; et al. Flexible experimentation in wireless sensor networks. Commun. ACM 2012, 55, 82. [Google Scholar] [CrossRef]
- Vandenberghe, W.; Vermeulen, B.; Demeester, P.; Willner, A.; Papavassiliou, S.; Gavras, A.; Sioutis, M.; Quereilhac, A.; Al-Hazmi, Y.; Lobillo, F.; et al. Architecture for the heterogeneous federation of future internet experimentation facilities. In Proceedings of the Future Network and Mobile Summit, Lisboa, Portugal, 3–5 July 2013; pp. 1–11. [Google Scholar]
- Kavoussanakis, K.; Hume, A.; Martrat, J.; Ragusa, C.; Gienger, M.; Campowsky, K.; Van Seghbroeck, G.; Vázquez, C.; Velayos, C.; Gittler, F.; et al. Bonfire: The clouds and services testbed. In Proceedings of the 2013 IEEE 5th International Conference on Cloud Computing Technology and Science (CloudCom), Bristol, UK, 2–5 December 2013; pp. 321–326. [Google Scholar]
- Berman, M.; Chase, J.S.; Landweber, L.; Nakao, A.; Ott, M.; Raychaudhuri, D.; Ricci, R.; Seskar, I. GENI: A federated testbed for innovative network experiments. Comput. Netw. 2014, 61, 5–23. [Google Scholar] [CrossRef]
- Misra, A.; Balan, R.K. LiveLabs. ACM SIGMOBILE Mob. Comput. Commun. Rev. 2013, 17, 47–59. [Google Scholar] [CrossRef]
- Cardone, G.; Cirri, A.; Corradi, A.; Foschini, L. The participact mobile crowd sensing living lab: The testbed for smart cities. IEEE Commun. Mag. 2014, 52, 78–85. [Google Scholar] [CrossRef]
- Banerjee, P.; Friedrich, R.; Bash, C.; Goldsack, P.; Huberman, B.; Manley, J.; Patel, C.; Ranganathan, P.; Veitch, A. Everything as a service: Powering the new information economy. Computer 2011, 44, 36–43. [Google Scholar] [CrossRef]
- Alay, Ö.; Lutu, A.; Peón-Quirós, M.; Mancuso, V.; Hirsch, T.; Evensen, K.; Hansen, A.; Alfredsson, S.; Karlsson, J.; Brunstrom, A.; et al. Experience: An open platform for experimentation with commercial mobile broadband networks. In Proceedings of the 23rd Annual International Conference on Mobile Computing and Networking, Snowbird, UT, USA, 16–20 October 2017; pp. 70–78. [Google Scholar]
- Boniface, M.; Crowle, S.; Phillips, S.; Rosati, J.; Trossen, D.; Carrozzo, G. Experimentation-as-a-Service methodology for building urban-scale media ecosystems. In Proceedings of the European Conference on Networks and Communications, Oulu, Finland, 13–15 June 2017. [Google Scholar]
- Perera, C.; Zaslavsky, A.; Christen, P.; Georgakopoulos, D. Sensing as a service model for smart cities supported by Internet of Things. Trans. Emerg. Telecommun. Technol. 2014, 25, 81–93. [Google Scholar] [CrossRef]
- Nati, M.; Gluhak, A.; Domaszewicz, J.; Lalis, S.; Moessner, K. Lessons from smartcampus: external experimenting with user-centric internet-of-things testbed. Wirel. Pers. Commun. 2017, 93, 709–723. [Google Scholar] [CrossRef]
- Santana, J.R.; Galache, J.A.; Akiyama, T.; Gurgen, L.; Matsuoka, M.; Maggio, M.; Murata, S. Festival: Towards an intercontinental federation approach. In Proceedings of the International Conference on Mobile Networks and Management, Santander, Spain, 16–18 September 2015; pp. 269–280. [Google Scholar]
- Gutiérrez, V.; Theodoridis, E.; Mylonas, G.; Shi, F.; Adeel, U.; Diez, L.; Amaxilatis, D.; Choque, J.; Camprodom, G.; McCann, J.; et al. Co-creating the cities of the future. Sensors 2016, 16, 1971. [Google Scholar] [CrossRef] [PubMed]
- Willner, A.; Giatili, M.; Grosso, P.; Papagianni, C.; Morsey, M.; Baldin, I. Using Semantic Web Technologies to Query and Manage Information within Federated Cyber-Infrastructures. Data 2017, 2, 21. [Google Scholar] [CrossRef]
- Avgeris, M.; Kalatzis, N.; Dechouniotis, D.; Roussaki, I.; Papavassiliou, S. Semantic Resource Management of Federated IoT Testbeds. In Proceedings of the 16th International Conference on Ad-Hoc Networks and Wireless, Messina, Italy, 20–22 September 2017; pp. 25–38. [Google Scholar]
- Jabbar, S.; Ullah, F.; Khalid, S.; Khan, M.; Han, K. Semantic Interoperability in Heterogeneous IoT Infrastructure for Healthcare. Wirel. Commun. Mob. Comput. 2017, 2017, 1–10. [Google Scholar] [CrossRef]
- Tachmazidis, I.; Batsakis, S.; Davies, J.; Duke, A.; Vallati, M.; Antoniou, G.; Clarke, S.S. A Hypercat-enabled semantic Internet of Things data hub. In Proceedings of the 16th European Semantic Web Conference, Portorož, Slovenia, 28 May–1 June 2017; Volume 10250 LNCS, pp. 125–137. [Google Scholar]
- D’elia, A.; Viola, F.; Azzoni, P. Enabling Interoperability in the Internet of Things: A OSGi Semantic Information Broker Implementation. Int. J. Semant. Web Inf. Syst. 2017, 13, 147–167. [Google Scholar] [CrossRef]
- Palavalli, A.; Karri, D.; Pasupuleti, S. Semantic Internet of Things. In Proceedings of the IEEE Tenth International Conference on Semantic Computing (ICSC), Laguna Hills, CA, USA, 4–6 Februry 2016; pp. 91–95. [Google Scholar]
- Kovacs, E.; Bauer, M.; Kim, J.; Yun, J.; Le Gall, F.; Zhao, M. Standards-Based Worldwide Semantic Interoperability for IoT. IEEE Commun. Mag. 2016, 54, 40–46. [Google Scholar] [CrossRef]
- Agarwal, R.; Fernandez, D.G.; Elsaleh, T.; Gyrard, A.; Lanza, J.; Sanchez, L.; Georgantas, N.; Issarny, V. Unified IoT ontology to enable interoperability and federation of testbeds. In Proceedings of the IEEE 3rd World Forum on Internet of Things (WF-IoT), Reston, VA, USA, 12–14 December 2016; pp. 70–75. [Google Scholar]
- Schomm, F.; Stahl, F.; Vossen, G. Marketplaces for data. ACM SIGMOD Rec. 2013, 42, 15. [Google Scholar] [CrossRef]
- Gubbi, J.; Buyya, R.; Marusic, S.; Palaniswami, M. Internet of Things (IoT): A vision, architectural elements, and future directions. Future Gener. Comput. Syst. 2013, 29, 1645–1660. [Google Scholar] [CrossRef]
- Misura, K.; Zagar, M. Data marketplace for Internet of Things. In Proceedings of the 2016 International Conference on Smart Systems and Technologies (SST), Osijek, Croatia, 12–14 October 2016; pp. 255–260. [Google Scholar]
- Ma, Y.; Rao, J.; Hu, W.; Meng, X.; Han, X.; Zhang, Y.; Chai, Y.; Liu, C. An efficient index for massive IOT data in cloud environment. In Proceedings of the 21st ACM International Conference on Information and Knowledge Management—CIKM ’12, Maui, HI, USA, 29 October–2 November 2012; ACM Press: New York, NY, USA, 2012; p. 2129. [Google Scholar]
- Li, T.; Liu, Y.; Tian, Y.; Shen, S.; Mao, W. A Storage Solution for Massive IoT Data Based on NoSQL. In Proceedings of the 2012 IEEE International Conference on Green Computing and Communications, Besancon, France, 20–23 November 2012; IEEE: New York, NY, USA, 2012; pp. 50–57. [Google Scholar]
- Broring, A.; Schmid, S.; Schindhelm, C.-K.; Khelil, A.; Kabisch, S.; Kramer, D.; Le Phuoc, D.; Mitic, J.; Anicic, D.; Teniente, E. Enabling IoT Ecosystems through Platform Interoperability. IEEE Softw. 2017, 34, 54–61. [Google Scholar] [CrossRef]
- Carrez, F.; Elsaleh, T.; Gomez, D.; Sanchez, L.; Lanza, J.; Grace, P. A Reference Architecture for federating IoT infrastructures supporting semantic interoperability. In Proceedings of the 2017 European Conference on Networks and Communications (EuCNC), Oulu, Finland, 12–15 June 2017; IEEE: New York, NY, USA, 2017; pp. 1–6. [Google Scholar]
- Ramparany, F.; Marquez, F.G.; Soriano, J.; Elsaleh, T. Handling smart environment devices, data and services at the semantic level with the FI-WARE core platform. In Proceedings of the 2014 IEEE International Conference on Big Data (Big Data), Washington, DC, USA, 27–30 October 2014; IEEE: New York, NY, USA, 2014; pp. 14–20. [Google Scholar]
- Botts, M.; Percivall, G.; Reed, C.; Davidson, J. OGC® Sensor Web Enablement: Overview and High Level Architecture. In GeoSensor Networks; Nittel, S., Labrinidis, A., Stefanidis, A., Eds.; Springer: Berlin/Heidelberg, Germany, 2008; pp. 175–190. [Google Scholar]
- Web of Things at W3C. Available online: https://www.w3.org/WoT/ (accessed on 10 May 2018).
- Paganelli, F.; Turchi, S.; Giuli, D. A Web of Things Framework for RESTful Applications and Its Experimentation in a Smart City. IEEE Syst. J. 2016, 10, 1412–1423. [Google Scholar] [CrossRef]
- Keppmann, F.L.; Maleshkova, M.; Harth, A. Semantic Technologies for Realising Decentralised Applications for the Web of Things. In Proceedings of the 2016 21st International Conference on Engineering of Complex Computer Systems (ICECCS), Dubai, United Arab Emirates, 6–8 November 2016; IEEE: New York, NY, USA, 2016; pp. 71–80. [Google Scholar]
- Nagib, A.M.; Hamza, H.S. SIGHTED: A Framework for Semantic Integration of Heterogeneous Sensor Data on the Internet of Things. Procedia Comput. Sci. 2016, 83, 529–536. [Google Scholar] [CrossRef]
- Wu, Z.; Xu, Y.; Zhang, C.; Yang, Y.; Ji, Y. Towards Semantic Web of Things: From Manual to Semi-automatic Semantic Annotation on Web of Things. In Proceedings of the 2016 International Conference on Big Data Computing and Communications, Shenyang, China, 39–31 July 2016; pp. 295–308. [Google Scholar]
- Chien, S.; Cichy, B.; Davies, A.; Tran, D.; Rabideau, G.; Castano, R.; Sherwood, R.; Mandl, D.; Frye, S.; Shulman, S.; et al. An autonomous earth-observing sensorweb. IEEE Intell. Syst. 2005, 20, 16–24. [Google Scholar] [CrossRef]
- Di, L.; Moe, K.; van Zyl, T.L. Earth observation sensor web: An overview. IEEE J. Sel. Top. Appl. Earth Obs. Remote Sens. 2010, 3, 415–417. [Google Scholar] [CrossRef]
- Chien, S.; Tran, D.; Doubleday, J.; Davies, A.; Kedar, S.; Webb, F.; Rabideau, G.; Mandl, D.; Frye, S.; Song, W.; et al. A multi-agent space, in-situ Volcano SensorWeb. In Proceedings of the International Symposium on Space Artificial Intelligence, Robotics, and Automation for Space (i-SAIRAS 2010), Sapporo, Japan, 30 August–1 September 2010. [Google Scholar]
- Compton, M.; Barnaghi, P.; Bermudez, L.; García-Castro, R.; Corcho, O.; Cox, S.; Graybeal, J.; Hauswirth, M.; Henson, C.; Herzog, A.; et al. The SSN ontology of the W3C semantic sensor network incubator group. Web Semant. Sci. Serv. Agents World Wide Web 2012, 17, 25–32. [Google Scholar] [CrossRef]
- Semantic Sensor Network Ontology. Available online: https://www.w3.org/TR/vocab-ssn/ (accessed on 10 May 2018).
- Bassi, A.; Bauer, M.; Fiedler, M.; Kramp, T.; Van Kranenburg, R.; Lange, S.; Meissner, S. Enabling Things to Talk; Bassi, A., Bauer, M., Fiedler, M., Kramp, T., van Kranenburg, R., Lange, S., Meissner, S., Eds.; Springer: Berlin/Heidelberg, Germany, 2013; ISBN 978-3-642-40402-3. [Google Scholar]
- TS-0012 oneM2M Base Ontology. 2016. Available online: https://www.etsi.org/deliver/etsi_ts/118100_118199/118112/02.00.00_60/ts_118112v020000p.pdf (accessed on 9 October 2018).
- Daniele, L.; den Hartog, F.; Roes, J. Created in Close Interaction with the Industry: The Smart Appliances REFerence (SAREF) Ontology; Springer: Cham, Switzerland, 2015; pp. 100–112. [Google Scholar]
- Bajaj, G.; Agarwal, R.; Singh, P.; Georgantas, N.; Issarny, V. A Study of Existing Ontologies in the IoT-Domain. arXiv, 2017; arXiv:1707.00112. [Google Scholar]
- Bermudez-Edo, M.; Elsaleh, T.; Barnaghi, P.; Taylor, K. IoT-Lite: A Lightweight Semantic Model for the Internet of Things. In Proceedings of the Intl IEEE Conferences on Ubiquitous Intelligence & Computing, Advanced and Trusted Computing, Scalable Computing and Communications, Cloud and Big Data Computing, Internet of People, and Smart World Congress, Toulouse, France, 18–21 July 2016; IEEE: New York, NY, USA, 2016; pp. 90–97. [Google Scholar]
- De, S.; Barnaghi, P.; Bauer, M.; Meissner, S. Service modelling for the Internet of Things. In Proceedings of the Federated Conference on Computer Science and Information Systems, Szczecin, Poland, 18–21 September 2011; pp. 949–955. [Google Scholar]
- Observation Description from Semantic Sensor Network (SSN) Ontology. Available online: https://www.w3.org/TR/vocab-ssn/#SOSAObservation (accessed on 24 May 2018).
- Time Ontology in OWL. Available online: https://www.w3.org/TR/owl-time/ (accessed on 25 May 2018).
- M3-Lite Taxonomy Documentation. Available online: http://ontology.fiesta-iot.eu/ontologyDocs/m3-lite.html (accessed on 24 May 2018).
- Basic Geo (WGS84 Lat/Long) Vocabulary. Available online: https://www.w3.org/2003/01/geo/ (accessed on 25 May 2018).
- DOLCE Ultra-Lite Ontology. Available online: http://www.loa.istc.cnr.it/ontologies/DUL.owl (accessed on 25 May 2018).
- FIESTA-IoT Ontology Documentation. Available online: http://ontology.fiesta-iot.eu/ontologyDocs/fiesta-iot.html (accessed on 24 May 2018).
- Cox, S. Observations and measurements. Open Geospat. Consort. Best Pract. Doc. Open Geospat. Consort. 2006, 21. Available online: https://www.seegrid.csiro.au/wiki/pub/Xmml/PublicationsPresentations/OM_SWE_dulles.pdf (accessed on 24 May 2018).
- FIWARE Data Models. Available online: https://www.fiware.org/developers/data-models/ (accessed on 24 May 2018).
- Lanza, J.; Sanchez, L.; Gomez, D.; Elsaleh, T.; Steinke, R.; Cirillo, F. A Proof-of-Concept for Semantically Interoperable Federation of IoT Experimentation Facilities. Sensors 2016, 16, 1006. [Google Scholar] [CrossRef] [PubMed]
- Lanza, J.; Sotres, P.; Sánchez, L.; Galache, J.A.; Santana, J.R.; Gutiérrez, V.; Muñoz, L. Managing Large Amounts of Data Generated by a Smart City Internet of Things Deployment. Int. J. Semant. Web Inf. Syst. 2016, 12, 22–42. [Google Scholar] [CrossRef]
- Nati, M.; Gluhak, A.; Abangar, H.; Headley, W. Smartcampus: A user-centric testbed for internet of things experimentation. In Proceedings of the 2013 16th International Symposium on Wireless Personal Multimedia Communications (WPMC), Atlantic City, NJ, USA, 24–27 June 2013; pp. 1–6. [Google Scholar]
- Issarny, V.; Mallet, V.; Nguyen, K.; Raverdy, P.-G.; Rebhi, F.; Ventura, R. Dos and Don’ts in Mobile Phone Sensing Middleware. In Proceedings of the 17th International Middleware Conference on—Middleware ’16, Trento, Italy, 12–16 December 2016; ACM Press: New York, NY, USA, 2016; pp. 1–13. [Google Scholar]
- Pechlivanidou, K.; Katsalis, K.; Igoumenos, I.; Katsaros, D.; Korakis, T.; Tassiulas, L. NITOS testbed: A cloud based wireless experimentation facility. In Proceedings of the 2014 26th International Teletraffic Congress (ITC), Karlskrona, Sweden, 9–11 September 2014; IEEE: New York, NY, USA, 2014; pp. 1–6. [Google Scholar]
- Seydoux, N.; Drira, K.; Hernandez, N.; Monteil, T. IoT-O, a Core-Domain IoT Ontology to Represent Connected Devices Networks; Springer: Cham, Switzerland, 2016; pp. 561–576. [Google Scholar]
- FIESTA-IoT Testbeds. Available online: http://fiesta-iot.eu/index.php/fiesta-testbeds/ (accessed on 25 May 2018).
- Moldovan, G.; Tragos, E.Z.; Fragkiadakis, A.; Pohls, H.C.; Calvo, D. An IoT Middleware for Enhanced Security and Privacy: The RERUM Approach. In Proceedings of the 2016 8th IFIP International Conference on New Technologies, Mobility and Security (NTMS), Larnaca, Cyprus, 21–23 November 2016; IEEE: New York, NY, USA, 2016; pp. 1–5. [Google Scholar]
- Barnaghi, P.; Wang, W.; Henson, C.; Taylor, K. Semantics for the Internet of Things: Early progress and back to the future. Int. J. Semant. Web Inf. Syst. 2012, 8, 1–21. [Google Scholar] [CrossRef]
- Serrano, M.; Gyrard, A. A Review of Tools for IoT Semantics and Data Streaming Analytics. Build. Blocks IoT Anal. 2016, 6, 139–163. [Google Scholar]
- Euzenat, J.; Polleres, A.; Scharffe, F. Processing Ontology Alignments with SPARQL. In Proceedings of the 2008 International Conference on Complex, Intelligent and Software Intensive Systems, Barcelona, Spain, 4–7 March 2008; IEEE: New York, NY, USA, 2008; pp. 913–917. [Google Scholar]
- FIESTA-IoT Platform Portal. Available online: https://platform.fiesta-iot.eu (accessed on 25 May 2018).












| Testbed | Short Description | Deployed Devices |
|---|---|---|
| SmartSantander [72] | Large-scale Smart City deployment. | Thousands of fixed and mobile sensors (environment, parking, transportation, etc.). |
| SmartICS [73] | Smart Environment based on an indoor deployment of sensor nodes. | Hundreds of indoor environment sensors. |
| SoundCity [74] | Crowdsensing testbed using mobile phones | Variable number of phone-based sensors measuring noise pollution and proximity. |
| CABIN * | Indoor and outdoor environment. Smart building deployment with outdoor sensors. | Hundreds of indoor environmental sensors with tens of outdoor parking sensors. |
| NITOS [75] | Heterogeneous Lora and Wireless Sensor Network. | 20 LoRa and 60 Zigbee indoor environmental and presence sensors. |
| MARINE ** | Seawater and Air quality monitoring testbed. | 4 floating seawater quality monitoring buoys and 5 fixed air quality monitoring stations (17 different sensor types). |
| RealDC | Live data center testbed for monitoring DC operations. | 100 sensors for power consumption and weather station producing over 2000 observations. |
| Tera4Agri | Outdoor testbed for Smart Agriculture. | More than 10 sensors for environmental, soil and tree monitoring. |
| FINE | Smart City, smart building and home automation testbed. | 40 outdoor environmental monitoring and 6 indoor automation sensors and actuators. |
| Grasse Smart Territory | Smart City testbed open to local developer community who bring their own sensors | 5 sensor boxes with each containing multi environmental sensors. |
| ADREAM | Large-scale smart building testbed | 6500 sensors for lighting, electricity, HVAC, solar panels, etc. |
| Application Domain | Testbeds |
|---|---|
| Smart City | SmartSantander, SoundCity, CABIN, FINE, Grasse Territory |
| Smart Agriculture | Tera4Agri |
| Smart Buildings | SmartICS, CABIN, NITOS, FINE, ADREAM |
| Smart Energy | SmartICS, RealDC, ADREAM |
| Smart Sea | MARINE |
© 2018 by the authors. Licensee MDPI, Basel, Switzerland. This article is an open access article distributed under the terms and conditions of the Creative Commons Attribution (CC BY) license (http://creativecommons.org/licenses/by/4.0/).
Share and Cite
Sánchez, L.; Lanza, J.; Santana, J.R.; Agarwal, R.; Raverdy, P.G.; Elsaleh, T.; Fathy, Y.; Jeong, S.; Dadoukis, A.; Korakis, T.; et al. Federation of Internet of Things Testbeds for the Realization of a Semantically-Enabled Multi-Domain Data Marketplace. Sensors 2018, 18, 3375. https://doi.org/10.3390/s18103375
Sánchez L, Lanza J, Santana JR, Agarwal R, Raverdy PG, Elsaleh T, Fathy Y, Jeong S, Dadoukis A, Korakis T, et al. Federation of Internet of Things Testbeds for the Realization of a Semantically-Enabled Multi-Domain Data Marketplace. Sensors. 2018; 18(10):3375. https://doi.org/10.3390/s18103375
Chicago/Turabian StyleSánchez, Luis, Jorge Lanza, Juan Ramón Santana, Rachit Agarwal, Pierre Guillaume Raverdy, Tarek Elsaleh, Yasmin Fathy, SeungMyeong Jeong, Aris Dadoukis, Thanasis Korakis, and et al. 2018. "Federation of Internet of Things Testbeds for the Realization of a Semantically-Enabled Multi-Domain Data Marketplace" Sensors 18, no. 10: 3375. https://doi.org/10.3390/s18103375
APA StyleSánchez, L., Lanza, J., Santana, J. R., Agarwal, R., Raverdy, P. G., Elsaleh, T., Fathy, Y., Jeong, S., Dadoukis, A., Korakis, T., Keranidis, S., O’Brien, P., Horgan, J., Sacchetti, A., Mastandrea, G., Fragkiadakis, A., Charalampidis, P., Seydoux, N., Ecrepont, C., & Zhao, M. (2018). Federation of Internet of Things Testbeds for the Realization of a Semantically-Enabled Multi-Domain Data Marketplace. Sensors, 18(10), 3375. https://doi.org/10.3390/s18103375

