Widely Linear Adaptive Instantaneous Frequency Estimation in Vector Hydrophones
Abstract
1. Introduction
2. Background
2.1. Widely Linear Modelling and Basic Characteristics
2.2. Second Order Noncircular and Circular Signals
3. Frequency Estimation Based on ACLMS in Vector Hydrophone
3.1. Deduction of Three Solutions to Frequency Estimation Based on ACLMS
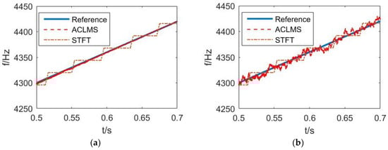
3.2. Results of Simulations and Experiments
3.2.1. Results of Simulations
3.2.2. Results of Experiments
4. Conclusions
Author Contributions
Funding
Conflicts of Interest
Appendix A
Appendix B
References
- Zhao, Y.Q.; Zou, Z.G.; Wu, L.W. Frequency Detection Algorithm for Frequency Diversity Signal Based on STFT. In Proceedings of the Frequency Detection Algorithm for Frequency Diversity Signal Based on STFT, Qinhuangdao, China, 18–20 September 2015. [Google Scholar] [CrossRef]
- Xia, Y.; Mandic, P. Widely Linear Adaptive Frequency Estimation of Unbalanced Three-Phase Power Systems. IEEE Trans. Instrum. Meas. 2012, 61, 74–82. [Google Scholar] [CrossRef]
- Xia, Y.; Douglas, S.C.; Mandic, D.P. Widely linear adaptive frequency estimation in three-phase power systems under unbalanced voltage sag conditions. In Proceedings of the International Joint Conference on Neural Networks, San Jose, CA, USA, 31 July–5 August 2011; pp. 1700–1755. [Google Scholar] [CrossRef]
- Xia, Y.; Mandic, D.P. A widely linear least mean phase algorithm for adaptive frequency estimation of unbalanced power systems. Int. J. Electr. Power Energy Syst. 2014, 54, 367–375. [Google Scholar] [CrossRef]
- Paleologu, C.; Benesty, J.; Ciochina, S. Widely linear general Kalman filter for stereophonic acoustic echo cacellation. Signal. Process. 2012, 94, 570–575. [Google Scholar] [CrossRef]
- Anand, A.; Kar, A.; Swamy, M.N.S. An improved CLMS algorithm for feedback cancellation in hearing aids. Appl. Acoust. 2013, 129, 417–426. [Google Scholar] [CrossRef]
- Huang, L.; Zhang, J.; Zhang, L.; Ye, Z. Widely linear minimum dispersion beamforming for sub-Gaussian noncircular signals. Signal. Process. 2016, 122, 123–128. [Google Scholar] [CrossRef]
- Xu, D.; Gong, C.; Cao, S.; Xu, X.; Ye, Z. Robust widely linear beamforming based on spatial spectrum of noncircularity coefficient. Signal. Process. 2014, 104, 167–173. [Google Scholar] [CrossRef]
- Ao, Y.; Xu, K.; Wan, J.; Chen, Y. A modified uni-vector-hydrophone ESPRIT algorithm for multisource joint DOA-frequency estimation. In Proceedings of the IEEE International Conference on Computer and Communications (ICCC), Chengdu, China, 13–16 December 2017; pp. 1381–1385. [Google Scholar] [CrossRef]
- Zhang, W.D.; Guan, L.G.; Zhang, G.J.; Xue, C.Y.; Zhang, K.R.; Wang, J.P. Research of DOA Estimation Based on Single MEMS Vector Hydrophone. Sensors 2009, 9, 6823–6834. [Google Scholar] [CrossRef] [PubMed]
- Zou, N.; Swee, C.C.; Chew, B.A.L. Vector Hydrophone Array Development and its Associated DOA Estimation Algorithms. In Proceedings of the OCEANS 2006, Singapore, 16–19 May 2007. [Google Scholar] [CrossRef]
- Tao, J.W.; Chang, W.X.; Cui, W. Vector Field Smoothing for DOA Estimation of Coherent Underwater Acoustic Signals in Presence of a Reflecting Boundary. IEEE Sens. J. 2007, 7, 1152–1158. [Google Scholar] [CrossRef]
- Gunes, A.; Guldogan, M.B. Joint underwater target detection and tracking with the Bernoulli filter using an acoustic vector sensor. Digit. Signal Process. 2016, 40, 246–258. [Google Scholar] [CrossRef]
- He, J.; Liu, Z. Efficient underwater two-dimensional coherent source localization with linear vector-hydrophone array. Signal Process. 2009, 89, 1715–1722. [Google Scholar] [CrossRef]
- Zhao, A.B.; Song, X.J.; Hui, J. Research on source depth classification using multiple vector hydrophones. In Proceedings of the OCEANS 2014, Taipei, Taiwan, 7–10 April 2014. [Google Scholar] [CrossRef]
- Chen, Y.; Ma, S.Q.; Fu, L.F. Passive localization techniques of a vector hydrophone based on time-reversal method. In Proceedings of the IEEE/OES Acoustics in Underwater Geosciences Symposium, Rio de Janeiro, Brazil, 24–26 July 2013. [Google Scholar] [CrossRef]
- Picinbono, B.; Chevalier, P. Widely linear estimation with complex data. IEEE Trans. Signal Process. 1995, 43, 2030–2033. [Google Scholar] [CrossRef]
- Navarro-Moreno, J.; Moreno-Kayser, J.; Fernandez-Alcala, R.M.; Ruiz-Molina, J.C. Widely Linear Estimation Algorithms for Second-Order Stationary Signals. IEEE Trans. Signal Process. 2017, 12, 4930–4934. [Google Scholar] [CrossRef]
- Jelfs, B.; Mandic, D.P.; Douglas, S.C. An adaptive approach for the identification of improper complex signals. Signal. Process. 2011, 92, 335–344. [Google Scholar] [CrossRef]
- Xia, Y.; Douglas, S.C.; Mandic, D.P. Performance analysis of the deficient length augmented CLMS algorithm for second order noncircular complex signals. Signal. Process. 2018, 144, 214–225. [Google Scholar] [CrossRef]
- Mandic, D.P.; Xia, Y.; Douglas, S.C. Steady state analysis of the CLMS and augmented CLMS algorithms for noncircular complex signals. In Proceedings of the 2010 Conference Record of the Forty Fourth Asilomar Conference on Signals, Systems and Computers, Pacific Grove, CA, USA, 7–10 November 2010. [Google Scholar] [CrossRef]












| SNR | STFT | ACLMS |
|---|---|---|
| 57dB | 6.9148 | 1.9920 |
| 37dB | 6.9148 | 5.8826 |
© 2018 by the authors. Licensee MDPI, Basel, Switzerland. This article is an open access article distributed under the terms and conditions of the Creative Commons Attribution (CC BY) license (http://creativecommons.org/licenses/by/4.0/).
Share and Cite
Peng, P.; An, L. Widely Linear Adaptive Instantaneous Frequency Estimation in Vector Hydrophones. Sensors 2018, 18, 3348. https://doi.org/10.3390/s18103348
Peng P, An L. Widely Linear Adaptive Instantaneous Frequency Estimation in Vector Hydrophones. Sensors. 2018; 18(10):3348. https://doi.org/10.3390/s18103348
Chicago/Turabian StylePeng, Panpan, and Liang An. 2018. "Widely Linear Adaptive Instantaneous Frequency Estimation in Vector Hydrophones" Sensors 18, no. 10: 3348. https://doi.org/10.3390/s18103348
APA StylePeng, P., & An, L. (2018). Widely Linear Adaptive Instantaneous Frequency Estimation in Vector Hydrophones. Sensors, 18(10), 3348. https://doi.org/10.3390/s18103348
