An Improved Yaw Estimation Algorithm for Land Vehicles Using MARG Sensors
Abstract
1. Introduction
- (1)
- A new measurement update robust to magnetic disturbances is introduced, and its weight can be adjusted according to the vehicle status. The correlation coefficients between outputs from a MARG sensor are analyzed based on the vehicle kinematic model and Coriolis theorem, and a vehicle status marker is constructed.
- (2)
- A new two-step measurement update method is designed. The method implements measurement updates in two successive steps, and make a special processing of the magnetometer measurement update to eliminate its impact on attitude estimation.
2. Conventional Algorithm
2.1. Preliminaries
2.2. System Model
2.3. Adaptive Fusion Algorithm Based on Kalman Filter
2.4. Yaw Computation
3. Improved Algorithm
3.1. New Measurement Equation and Its Adaptive Weight
3.2. Two-Step Measurement Update Method
3.3. Complete Improved Yaw Estimation Algorithm
4. Experiments
4.1. Experimental Setup and Parameters
4.2. Experimental Results and Discussion
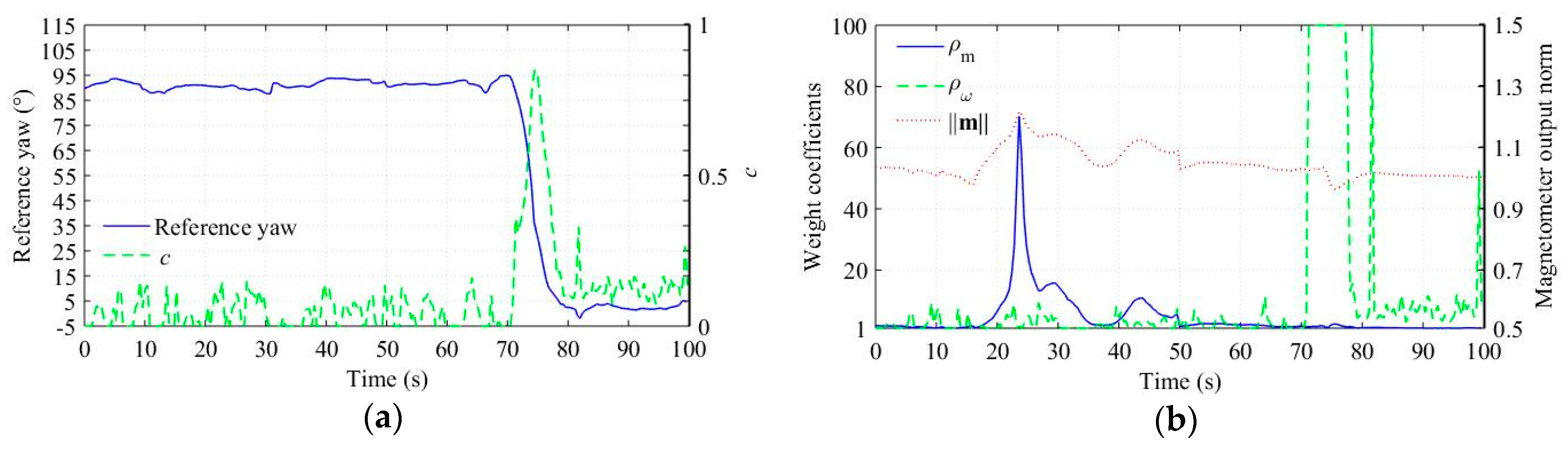
4.2.1. Vehicle Status Marker
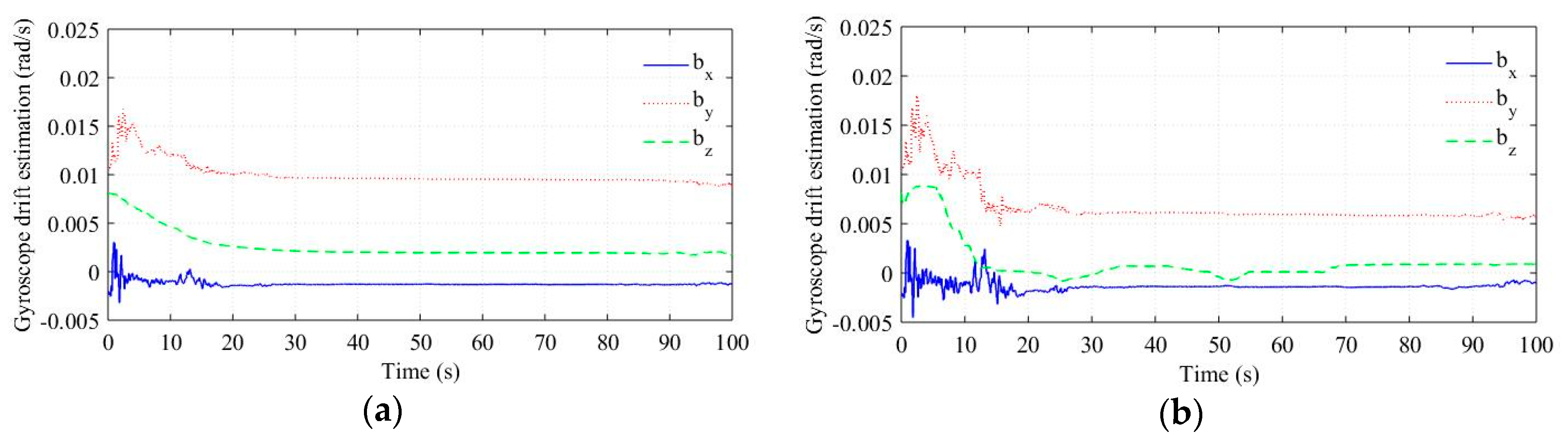
4.2.2. Gyroscope Measurement Update
4.2.3. Two-Step Measurement Update Method
4.2.4. Yaw Estimation
5. Conclusions
Author Contributions
Funding
Conflicts of Interest
References
- Vahidi, A.; Eskandarian, A. Research advances in intelligent collision avoidance and adaptive cruise control. IEEE Trans. Intell. Transp. Syst. 2003, 4, 143–153. [Google Scholar] [CrossRef]
- McCall, J.; Trivedi, M.M. Video-based lane estimation and tracking for driver assistance: Survey, system, and evaluation. IEEE Trans. Intell. Transp. Syst. 2006, 7, 20–37. [Google Scholar] [CrossRef]
- Wada, M.; Yoon, K.S.; Hashimoto, H. Development of advanced parking assistance system. IEEE Trans. Ind. Electron. 2003, 50, 4–17. [Google Scholar] [CrossRef]
- Fernandez Llorca, D.; Milanes, V.; Parra Alonso, I.; Gavilan, M.; Garcia Daza, I.; Perez, J.; Sotelo, M.Á. Autonomous pedestrian collision avoidance using a fuzzy steering controller. IEEE Trans. Intell. Transp. Syst. 2011, 12, 390–401. [Google Scholar] [CrossRef]
- Yim, S.; Jeon, K.; Yi, K. An investigation into vehicle rollover prevention by coordinated control of active anti-roll bar and electronic stability program. Int. J. Control Autom. Syst. 2012, 10, 275–287. [Google Scholar] [CrossRef]
- Masuya, K.; Sugihara, T. A nonlinear complementary filter for attitude estimation with dynamics compensation of MARG sensor. In Proceedings of the IEEE International Conference on Advanced Intelligent Mechatronics (AIM), Banff, AB, Canada, 12–15 July 2016; pp. 976–981. [Google Scholar]
- Zhang, Z.Q.; Meng, X.L.; Wu, J.K. Quaternion-Based Kalman filter with vector selection for accurate orientation tracking. IEEE Trans. Instrum. Meas. 2012, 61, 2817–2824. [Google Scholar] [CrossRef]
- Wahba, G. A least squares estimate of satellite attitude. SIAM Rev. 1965, 7, 409. [Google Scholar] [CrossRef]
- Valenti, R.G.; Dryanovski, I.; Xiao, J. A linear Kalman filter for MARG orientation estimation using the algebraic quaternion algorithm. IEEE Trans. Instrum. Meas. 2016, 65, 467–481. [Google Scholar] [CrossRef]
- Yun, X.; Bachmann, E.R.; McGhee, R.B. A simplified quaternion-based algorithm for orientation estimation from earth gravity and magnetic field measurements. IEEE Trans. Instrum. Meas. 2008, 57, 638–650. [Google Scholar] [CrossRef]
- Mahony, R.; Hamel, T.; Pflimlin, J.M. Nonlinear complementary filters on the special orthogonal group. IEEE Trans. Autom. Control 2008, 53, 1203–1218. [Google Scholar] [CrossRef]
- Yoo, T.S.; Hong, S.K.; Yoon, H.M.; Park, S. Gain-scheduled complementary filter design for a MEMS based attitude and heading reference system. Sensors 2011, 11, 3816–3830. [Google Scholar] [CrossRef] [PubMed]
- Madgwick, S.O.H.; Harrison, A.J.L.; Vaidyanathan, R. Estimation of IMU and MARG orientation using a gradient descent algorithm. In Proceedings of the IEEE International Conference on Rehabilitation Robotics, Zurich, Switzerland, 27 June–1 July 2011; pp. 1–7. [Google Scholar]
- Markley, F.L. Attitude error representations for Kalman filtering. J. Guid. Control Dynam. 2003, 26, 311–317. [Google Scholar] [CrossRef]
- Crassidis, J.; Markley, F.L. Unscented filtering for spacecraft attitude estimation. J. Guid. Control Dyn. 2003, 26, 536–542. [Google Scholar] [CrossRef]
- Choukroun, D.; Bar-Itzhack, I.Y.; Oshman, Y. Novel quaternion Kalman filter. IEEE Trans. Aerosp. Electron. Syst. 2006, 42, 174–190. [Google Scholar] [CrossRef]
- Kok, M.; Schön, T.B. Magnetometer calibration using inertial sensors. IEEE Sens. J. 2016, 14, 5679–5689. [Google Scholar] [CrossRef]
- Shi, G.; Li, X.S.; Li, X.F.; Liu, Y.X.; Kang, R.Q.; Shu, X.Y. Equivalent two-step algorithm for the calibration of three-axis magnetic sensor in heading measurement system. Chin. J. Sci. Instrum. 2017, 38, 402–407. [Google Scholar]
- Vasconcelos, J.F.; Elkaim, G.; Silvestre, C.; Oliveira, P.; Cardeira, B. Geometric approach to strapdown magnetometer calibration in sensor frame. IEEE Trans. Aerosp. Electron. Syst. 2011, 47, 1293–1306. [Google Scholar] [CrossRef]
- Magnetic Field Mapper Documentation; Xsens Technologies B.V.: Enschede, The Netherlands, 2013.
- Costanzi, R.; Fanelli, F.; Monni, N.; Ridolfi, A.; Allotta, B. An attitude estimation algorithm for mobile robots under unknown magnetic disturbances. IEEE/ASME Trans. Mechatron. 2016, 21, 1900–1911. [Google Scholar] [CrossRef]
- Wu, J.; Zhou, Z.B.; Chen, J.J. Fast complementary filter for attitude estimation using low-cost MARG sensors. IEEE Sens. J. 2016, 16, 6997–7007. [Google Scholar] [CrossRef]
- Tong, X.; Li, Z.F.; Han, G.W. Adaptive EKF based on HMM recognizer for attitude estimation using MEMS MARG sensors. IEEE Sens. J. 2018, 18, 3299–3310. [Google Scholar] [CrossRef]
- Feng, K.; Li, J.; Zhang, X.; Shen, C.; Bi, Y.; Zheng, T.; Liu, J. A new quaternion-based Kalman Filter for real-time attitude estimation using the two-step geometrically-intuitive correction algorithm. Sensors 2017, 17, 2146. [Google Scholar] [CrossRef] [PubMed]
- Sabatini, A.M. Kalman-Filter-based orientation determination using inertial/magnetic sensors: Observability analysis and performance evaluation. Sensors 2011, 11, 9182–9206. [Google Scholar] [CrossRef] [PubMed]
- Suh, Y.S. Orientation estimation using a quaternion-based indirect Kalman filter with adaptive estimation of external acceleration. IEEE Trans. Instrum. Meas. 2010, 59, 3296–3305. [Google Scholar] [CrossRef]
- Suh, Y.S.; Ro, Y.S.; Kang, H.J. Quaternion-based indirect Kalman filter discarding pitch and roll information contained in magnetic sensors. IEEE Trans. Instrum. Meas. 2012, 61, 1786–1792. [Google Scholar] [CrossRef]
- Sun, S.; Meng, X.; Ji, L.; Wu, J.; Wong, W.C. Adaptive sensor data fusion in motion capture. In Proceedings of the 13th International Conference on Information Fusion, Edinburgh, UK, 26–29 July 2010. [Google Scholar]
- Ahmed, H.; Tahir, M. Accurate attitude estimation of a moving land vehicle using low-cost MEMS IMU sensors. IEEE Trans. Intell. Transp. Syst. 2017, 18, 1723–1739. [Google Scholar] [CrossRef]
- Dissanayake, G.; Sukkarieh, S.; Nebot, E.; Durrant-Whyte, H. The aiding of a low-cost strapdown inertial measurement unit using vehicle model constraints for land vehicle applications. IEEE Trans. Robot. Autom. 2001, 17, 731–747. [Google Scholar] [CrossRef]
- MTi and MTx User Manual and Technical Documentation; Xsens Technologies B.V.: Enschede, The Netherlands, 2013.
- Jurman, D.; Jankovec, M.; Kamnik, R.; Topič, M. Calibration and data fusion solution for the miniature attitude and heading reference system. Sens. Actuator A-Phys. 2007, 138, 411–420. [Google Scholar] [CrossRef]
- Qin, Y.Y. Inertial Navigation, 2nd ed.; Science Press: Beijing, China, 2014; pp. 251–252. ISBN 978-7-03-039465-1. [Google Scholar]











| Result | b = 0.005 rad/s | b = 0.01 rad/s | b = 0.015 rad/s |
|---|---|---|---|
| bx | 6.8° | 7.6° | 7.9° |
| by | 7.1° | 8.3° | 9.1° |
| bz | 11.2° | 19.4° | 29.0° |
| Algorithm | Yaw (°) | Pitch (°) | Roll (°) |
|---|---|---|---|
| VSKF | 4.9 | 4.0 | 3.1 |
| VGCF | 5.6 | 3.5 | 3.3 |
| Conventional | 5.2 | 3.7 | 2.9 |
| Improved | 2.1 | 1.8 | 1.6 |
© 2018 by the authors. Licensee MDPI, Basel, Switzerland. This article is an open access article distributed under the terms and conditions of the Creative Commons Attribution (CC BY) license (http://creativecommons.org/licenses/by/4.0/).
Share and Cite
Shi, G.; Li, X.; Jiang, Z. An Improved Yaw Estimation Algorithm for Land Vehicles Using MARG Sensors. Sensors 2018, 18, 3251. https://doi.org/10.3390/s18103251
Shi G, Li X, Jiang Z. An Improved Yaw Estimation Algorithm for Land Vehicles Using MARG Sensors. Sensors. 2018; 18(10):3251. https://doi.org/10.3390/s18103251
Chicago/Turabian StyleShi, Gang, Xisheng Li, and Zhengfu Jiang. 2018. "An Improved Yaw Estimation Algorithm for Land Vehicles Using MARG Sensors" Sensors 18, no. 10: 3251. https://doi.org/10.3390/s18103251
APA StyleShi, G., Li, X., & Jiang, Z. (2018). An Improved Yaw Estimation Algorithm for Land Vehicles Using MARG Sensors. Sensors, 18(10), 3251. https://doi.org/10.3390/s18103251

