Evaluation of Apple Maturity with Two Types of Dielectric Probes
Abstract
:1. Introduction
2. Materials and Methods
2.1. Apples and Reference Liquids
2.2. Simulations and Measurement Method
2.3. Calibration of the Dielectric Probes
2.4. Fitting Data to Multi-Pole Relaxation Model
3. Results and Discussion
3.1. Dielectric Permittivity Spectra of Apples
3.2. Multipole Model Fitting Comparison
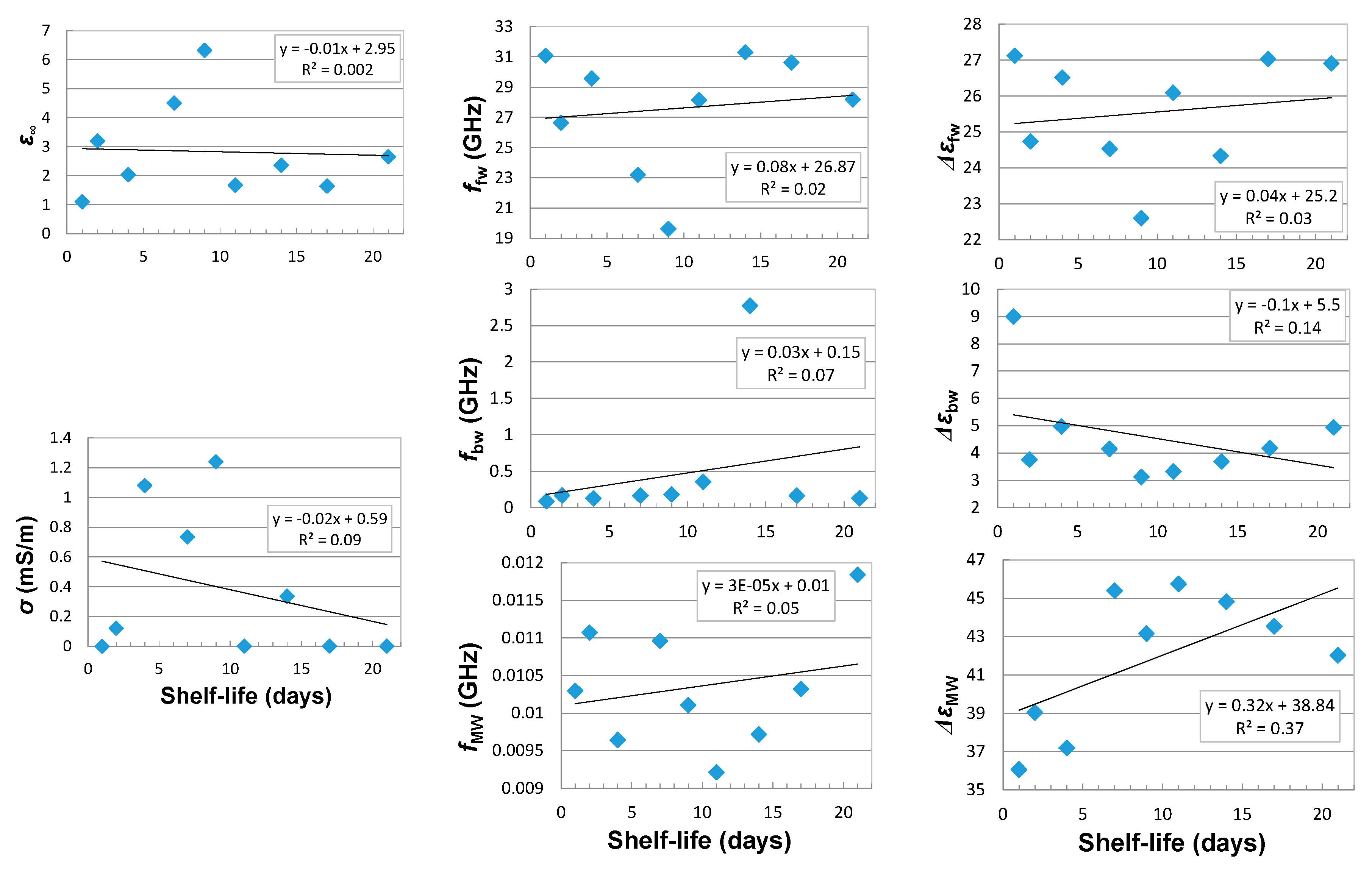
3.3. Relations between Quality and Multipole Relaxation Model Fitting Parameters
4. Conclusions
Acknowledgments
Author Contributions
Conflicts of Interest
Abbreviations
| OE | Open-ended |
| OE-A | Open-ended with antenna |
| D | Debye |
| CC | Cole-Cole |
| SSC | Soluble solid content |
| AE | Acoustic events |
| STD | Standard deviation |
| FEM | Finite Element Method |
| RMSE | Root-Mean-Square Error |
| VNA | Vector Network Analyzer |
| OWL | Open-Water-Liquid calibration |
| OWS | Open-Water-Short calibration |
| fw | Free water |
| bw | Bound water |
| MW | Maxwell-Wagner |
References
- Khaled, D.E.; Castellano, N.N.; Gazquez, J.A.; Salvador, R.G.; Manzano-Agugliaro, F. Cleaner quality control system using bioimpedance methods: A review for fruits and vegetables. J. Clean. Prod. 2017, 140, 1749–1762. [Google Scholar] [CrossRef]
- Khaled, D.E.; Novas, N.; Gazquez, J.A.; Garcia, R.M.; Manzano-Agugliaro, F. Fruit and vegetable quality assessment via dielectric sensing. Sensors 2015, 15, 15363–15397. [Google Scholar] [CrossRef] [PubMed]
- Sosa-Morales, M.E.; Valerio-Junco, L.; López-Malo, A.; García, H.S. Dielectric properties of foods: Reported data in the 21st Century and their potential applications. LWT Food Sci. Technol. 2010, 43, 1169–1179. [Google Scholar] [CrossRef]
- Skierucha, W.; Wilczek, A.; Szypłowska, A. Dielectric spectroscopy in agrophysics. Int. Agrophys. 2012, 26, 187–197. [Google Scholar] [CrossRef]
- Trabelsi, S.; Nelson, S.O. Microwave Sensing of Quality Attributes of Agricultural and Food Products. IEEE Instrum. Meas. Mag. 2016, 19, 36–41. [Google Scholar] [CrossRef]
- Skierucha, W.; Wilczek, A.; Szypłowska, A.; Kafarski, M.; Lewandowski, A.; Pieczywek, P. Apple Broadband Dielectric Response. In Proceedings of the 11th International Conference on Electromagnetic Wave Interaction with Water and Moist Substances, ISEMA 2016, Florence, Italy, 23–27 May 2016; pp. 351–358. [Google Scholar]
- Nelson, S.O. Dielectric spectroscopy in agriculture. J. Non-Cryst. Solids 2005, 351, 2940–2944. [Google Scholar] [CrossRef]
- El Khaled, D.; Castellano, N.; Gázquez, J.; Perea-Moreno, A.-J.; Manzano-Agugliaro, F. Dielectric Spectroscopy in Biomaterials: Agrophysics. Materials 2016, 9, 310. [Google Scholar] [CrossRef] [PubMed]
- Szypłowska, A.; Nakonieczna, A.; Wilczek, A.; Paszkowski, B.; Solecki, G.; Skierucha, W. Application of a Coaxial-Like Sensor for Impedance Spectroscopy Measurements of Selected Low-Conductivity Liquids. Sensors 2013, 13, 13301–13317. [Google Scholar] [CrossRef] [PubMed]
- Paszkowski, B.; Wilczek, A.; Szypłowska, A.; Nakonieczna, A.; Skierucha, W. A low-frequency sensor for determination of honey electrical properties in varying temperature conditions. J. Food Eng. 2014, 138, 17–22. [Google Scholar] [CrossRef]
- Kraszewski, A. Microwave Aquametry: An Effective Tool for Nondestructive Moisture Sensing. Subsurf. Sens. Technol. Appl. 2001, 2, 347–362. [Google Scholar] [CrossRef]
- Skic, A.; Szymańska-Chargot, M.; Kruk, B.; Chylińska, M.; Pieczywek, P.M.; Kurenda, A.; Zdunek, A.; Rutkowski, K.P. Determination of the Optimum Harvest Window for Apples Using the Non-Destructive Biospeckle Method. Sensors 2016, 16, 661. [Google Scholar] [CrossRef] [PubMed]
- Bhosale, A.A.; Sundaram, K.K. Firmness prediction of the apple using capacitance measurement. Procedia Technol. 2014, 12, 163–167. [Google Scholar] [CrossRef]
- Guo, W.; Nelson, S.O.; Trabelsi, S.; Kays, S.J. 10–1800-MHz dielectric properties of fresh apples during storage. J. Food Eng. 2007, 83, 562–569. [Google Scholar] [CrossRef]
- Castro-Giráldez, M.; Fito, P.J.; Chenoll, C. Development of a dielectric spectroscopy technique for the determination of apple (Granny Smith) maturity. Innov. Food Sci. Emerg. Technol. 2010, 11, 749–754. [Google Scholar] [CrossRef]
- Guo, W.; Zhu, X.; Nelson, S.O.; Yue, R.; Liu, H.; Liu, Y. Maturity effects on dielectric properties of apples from 10 to 4500 MHz. LWT Food Sci. Technol. 2011, 44, 224–230. [Google Scholar] [CrossRef]
- Guo, W.; Zhu, X.; Yue, R.; Liu, H.; Liu, Y. Dielectric properties of Fuji apples from 10 to 4500 MHz during storage. J. Food Process. Preserv. 2011, 35, 884–890. [Google Scholar] [CrossRef]
- Zdunek, A.; Konopacka, D.; Jesionkowska, K. Crispness and crunchiness judgment of apples based on contact acoustic emission. J. Texture Stud. 2010, 41, 75–91. [Google Scholar] [CrossRef]
- Wagner, N.; Schwing, M.; Scheuermann, A. Numerical 3-D FEM and Experimental Analysis of the Open-Ended Coaxial Line Technique for Microwave Dielectric Spectroscopy on Soil. IEEE Trans. Geosci. Remote Sens. 2014, 52, 880–893. [Google Scholar] [CrossRef]
- Olmi, R.; Bini, M.; Ignesti, A.; Riminesi, C. Non-destructive permittivity measurement of solid materials. Meas. Sci. Technol. 2000, 11, 1623–1629. [Google Scholar] [CrossRef]
- Bao, J.Z.; Swicord, M.L.; Davis, C.C. Microwave dielectric characterization of binary mixtures of water, methanol, and ethanol. J. Chem. Phys. 1996, 104, 4441–4450. [Google Scholar] [CrossRef]
- Bobowski, J.S.; Johnson, T. Permittivity measurements of biological samples by an open-ended coaxial line. Prog. Electromagn. Res. 2012, 40, 159–183. [Google Scholar] [CrossRef]
- Gustavsen, B.; Semlyen, A. Rational approximation of frequency domain responses by vector fitting. IEEE Trans. Power Deliv. 1994, 14, 1052–1061. [Google Scholar] [CrossRef]
- Gabriel, C. Dielectric properties of biological materials. In Bioengineering and Biological Aspects of Electromagnetic Fields, 3rd ed.; Barnes, F.S., Greenebaum, B., Eds.; CRC Press: Boca Raton, FL, USA, 2006; pp. 51–100. ISBN 0849395399. [Google Scholar]









| Purity | εs (-) | ε∞ (-) | τ (ps) | α (-) | |
|---|---|---|---|---|---|
| Water | Electrical conductivity <2 μS/cm | 80.18 | 5.54 | 9.57 | 0.00 |
| Ethanol | Min. 99.7% | 25.16 | 4.54 | 193.98 | 0.14 |
| Methanol | Min 99.8% | 33.65 | 5.65 | 56.36 | 0.00 |
| 3-Pole Model | RMSE | 2-Pole Model | RMSE | ||
|---|---|---|---|---|---|
| OE | OE-A | OE | OE-A | ||
| D-D-D | 0.3489 | 0.1654 | D-D | 0.8876 | 0.2984 |
| CC-D-D | 0.1143 | 0.3241 | CC-D | 0.4047 | 0.2071 |
| D-CC-D | 0.1810 | 0.8363 | D-CC | 0.3733 | 0.1808 |
| D-D-CC | 0.1835 | 0.6360 | CC-CC | 0.1281 | 0.1796 |
| CC-CC-D | 0.0967 | 0.1942 | |||
| CC-D-CC | 0.0955 | 0.2271 | |||
| D-CC-CC | 0.1295 | 0.2642 | |||
| CC-CC-CC | 0.0951 | 0.1894 | |||
© 2018 by the authors. Licensee MDPI, Basel, Switzerland. This article is an open access article distributed under the terms and conditions of the Creative Commons Attribution (CC BY) license (http://creativecommons.org/licenses/by/4.0/).
Share and Cite
Kafarski, M.; Wilczek, A.; Szypłowska, A.; Lewandowski, A.; Pieczywek, P.; Janik, G.; Skierucha, W. Evaluation of Apple Maturity with Two Types of Dielectric Probes. Sensors 2018, 18, 121. https://doi.org/10.3390/s18010121
Kafarski M, Wilczek A, Szypłowska A, Lewandowski A, Pieczywek P, Janik G, Skierucha W. Evaluation of Apple Maturity with Two Types of Dielectric Probes. Sensors. 2018; 18(1):121. https://doi.org/10.3390/s18010121
Chicago/Turabian StyleKafarski, Marcin, Andrzej Wilczek, Agnieszka Szypłowska, Arkadiusz Lewandowski, Piotr Pieczywek, Grzegorz Janik, and Wojciech Skierucha. 2018. "Evaluation of Apple Maturity with Two Types of Dielectric Probes" Sensors 18, no. 1: 121. https://doi.org/10.3390/s18010121
APA StyleKafarski, M., Wilczek, A., Szypłowska, A., Lewandowski, A., Pieczywek, P., Janik, G., & Skierucha, W. (2018). Evaluation of Apple Maturity with Two Types of Dielectric Probes. Sensors, 18(1), 121. https://doi.org/10.3390/s18010121

