Magnetic Flux Leakage Sensing and Artificial Neural Network Pattern Recognition-Based Automated Damage Detection and Quantification for Wire Rope Non-Destructive Evaluation
Abstract
:1. Introduction
2. Theoretical Background
2.1. Magnetic Flux Leakage-Based Damage Detection Technique
2.2. Signal Processing for Improving Signal Quality
2.3. Establishing Threshold Levels Using the GEV Distribution for Damage Detection
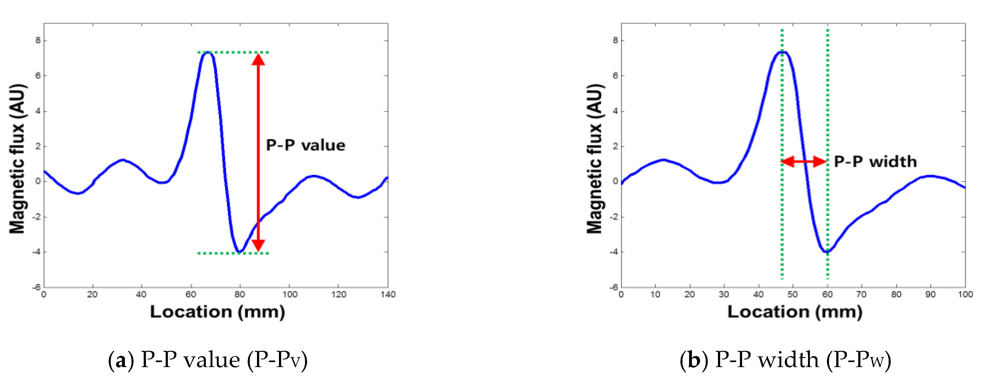
2.4. Damage Quantification Using MFL Signal Based Damage Indexes
2.5. ANN Based Pattern Recognition for Damage Quantification
3. Experimental Study
3.1. Experimental Setup & Procedure
3.2. MFL Based Damage Detection Results
3.3. Quantitative MFL Signal Analysis Using Damage Indexes
3.3.1. Analysis and Quantification of the Leakage Flux Signal with Increasing Damage Depth
3.3.2. Analysis and Quantification of the Leakage Flux Signal with Increasing Damage Width
3.4. ANN Based Wire Rope Damage Size Estimation
3.4.1. Procedure of ANN Based Damage Size Estimation
3.4.2. Depth Estimation of Wire Rope Damage Using the ANN
3.4.3. Width Estimation of Wire Rope Damage Using the ANN
5. Conclusions
- (1)
- Magnetic flux leakage was detected at locations with actual damage by using a Hall sensor located near the damage.
- (2)
- The MFL signals at the damaged areas became more apparent via the enveloping process based on the Hilbert transform.
- (3)
- Envelopes of the MFL signal exceeded the thresholds based on the GEV distribution around areas with actual damage.
- (4)
- Damage indexes were extracted to quantify the MFL signals; these damage indexes can classify the damage size according to increases in damage size.
- (5)
- Four types of damage indexes based on the relationship between the envelope signal and the threshold were proposed. These damage indexes can improve the accuracy of quantification of the damage size.
- (6)
- Two-step ANN based pattern recognition was applied to estimate the depth and width of the damage. The ANN classifier was trained using multi-dimensional damage indexes extracted from the MFL signals; the trained ANN classifier can successfully estimate the size of damage with little error.
Acknowledgments
Author Contributions
Conflicts of Interest
References
- Weischedel, H.R. The inspection of wire ropes in service: A critical review. Mater. Eval. 1985, 43, 1592–1605. [Google Scholar]
- Egen, R.A. Nondestructive testing of wire rope. In Proceedings of the 9th Annual Offshore Technology, Houston, TX, USA, 2–5 May 1977; pp. 375–382. [Google Scholar]
- Kim, J.; Kim, J.-W.; Lee, C.; Park, S. Development of embedded EM sensors for estimating tensile forces of PSC girder bridges. Sensors 2017, 17, 1989. [Google Scholar] [CrossRef] [PubMed]
- Wang, M.L.; Wang, G.; Zhao, Y. Sensing Issues in Civil Structural Health Monitoring; Springer: Dordrecht, The Netherlands, 2005. [Google Scholar]
- Lenz, J.; Edelstein, A.S. Magnetic sensors and their applications. IEEE Sens. J. 2006, 6, 631–649. [Google Scholar] [CrossRef]
- Mukhopadhyay, S.; Srivastava, G.P. Characterisation of metal loss defects from magnetic flux leakage signals with discrete wavelet transform. NDT&E Int. 2000, 33, 57–65. [Google Scholar] [CrossRef]
- Zhang, J.; Tan, X. Quantitative inspection of remanence of broken wire rope based on compressed sensing. Sensors 2016, 16, 1366. [Google Scholar] [CrossRef] [PubMed]
- Mandal, K.; Atherton, D.L. A study of magnetic flux-leakage signals. J. Appl. Phys. 1998, 31, 3211–3217. [Google Scholar] [CrossRef]
- Kim, J.-W.; Park, S. MFL based local damage detection and quantification for steel wire rope NDE. J. Intell. Mater. Syst. Struct. 2017. [Google Scholar] [CrossRef]
- Lenz, J.E. A review of magnetic sensors. Proc. IEEE 1990, 78, 973–989. [Google Scholar] [CrossRef]
- Park, S.; Kim, J.-W.; Lee, C.; Lee, J.J. Magnetic flux leakage sensing-based steel cable NDE technique. Shock Vib. 2014, 2014, 929341. [Google Scholar] [CrossRef]
- Shi, Y.; Zhang, C.; Li, R.; Cai, M.; Jia, G. Theory and application of magnetic flux leakage pipeline detection. Sensors 2015, 15, 31036–31055. [Google Scholar] [CrossRef] [PubMed]
- Kang, D.H.; Kim, J.-W.; Park, S.-Y.; Park, S. Non-contact Local Fault Detection of Railroad Track using MFL Technology. J. KOSHAM 2014, 14, 275–282. [Google Scholar] [CrossRef]
- Ramsden, E. Hall-Effect Sensors: Theory and Applications; NEWNES: Oxford, UK, 2006. [Google Scholar]
- Feldman, M. Time-varying decomposition and analysis based on the Hilbert transform. J. Sound Vib. 2006, 295, 518–530. [Google Scholar] [CrossRef]
- Coles, S. An Introduction to Statistical Modeling of Extreme Values; Springer: Berlin, Germany, 2001. [Google Scholar]
- Li, L.M.; Zhang, J.J. Characterizing the Surface Crack Size by Magnetic Flux Leakage Testing. In Nondestructive Characterization of Materials VIII; Springer: Boston, MA, USA, 1998. [Google Scholar]
- Wilson, J.W.; Kaba, M.; Tian, G.Y. New techniques for the quantification of defects through pulsed magnetic flux leakage. In Proceedings of the 17th World Conference on Non-destructive Testing, Shanghai, China, 25–28 October 2008; pp. 25–28. [Google Scholar]
- Wikipedia, the Free Encyclopedia. Full Width at Half Maximum. Available online: https://en.wikipedia.org/wiki/Full_width_at_half_maximum (accessed on 28 July 2017).
- Schalkoff, R. Pattern Recognition: Statistical, Structural and Neural Approaches; John Wiley & Sons: New York, NY, USA, 1992. [Google Scholar]
- Worden, K.; Tomlinson, G.R. Classifying Linear and Non-linear Systems using Neural Networks. In Proceedings of the 17th International Seminar on Modal Analysis, Leuven, Belgium, 23–25 September 1992; pp. 903–922. [Google Scholar]
- Hagan, M.T. Neural Network Design, 1st ed.; PWS Pub.: Boston, MA, USA, 1996. [Google Scholar]
























| No. | Direction | Specification of the Damage | |||||||
|---|---|---|---|---|---|---|---|---|---|
| Wire #1 | Upper | Damage #1-2 | Damage #1-4 | Damage #1-6 | Damage #1-8 | ||||
| Location | 150 mm | Location | 350 mm | Location | 550 mm | Location | 750 mm | ||
| Depth | 0.5 mm | Depth | 0.5 mm | Depth | 0.5 mm | Depth | 0.5 mm | ||
| Width | 1 mm | Width | 3 mm | Width | 6 mm | Width | 9 mm | ||
![]() | ![]() | ![]() | ![]() | ||||||
| Under | Damage #1-1 | Damage #1-3 | Damage #1-5 | Damage #1-7 | |||||
| Location | 50 mm | Location | 250 mm | Location | 450 mm | Location | 650 mm | ||
| Depth | 0.5 mm | Depth | 0.5 mm | Depth | 0.5 mm | Depth | 0.5 mm | ||
| Width | 0.5 mm | Width | 2 mm | Width | 4 mm | Width | 8 mm | ||
![]() | ![]() | ![]() | ![]() | ||||||
| Wire #2 | Upper | Damage #2-2 | Damage #2-4 | Damage #2-6 | Damage #2-8 | ||||
| Location | 150 mm | Location | 350 mm | Location | 550 mm | Location | 750 mm | ||
| Depth | 1 mm | Depth | 1 mm | Depth | 1 mm | Depth | 1 mm | ||
| Width | 1 mm | Width | 3 mm | Width | 6 mm | Width | 9 mm | ||
![]() | ![]() | ![]() | ![]() | ||||||
| Under | Damage #2-1 | Damage #2-3 | Damage #2-5 | Damage #2-7 | |||||
| Location | 50 mm | Location | 250 mm | Location | 450 mm | Location | 650 mm | ||
| Depth | 1 mm | Depth | 1 mm | Depth | 1 mm | Depth | 1 mm | ||
| Width | 0.5 mm | Width | 2 mm | Width | 4 mm | Width | 8 mm | ||
![]() | ![]() | ![]() | ![]() | ||||||
| No. | Direction | Specification of the Damage | |||||||
|---|---|---|---|---|---|---|---|---|---|
| Wire #3 | Upper | Damage #3-2 | Damage #3-4 | Damage #3-6 | Damage #3-8 | ||||
| Location | 150 mm | Location | 350 mm | Location | 550 mm | Location | 750 mm | ||
| Depth | 1.5 mm | Depth | 1.5 mm | Depth | 1.5 mm | Depth | 1.5 mm | ||
| Width | 1 mm | Width | 3 mm | Width | 6 mm | Width | 9 mm | ||
![]() | ![]() | ![]() | ![]() | ||||||
| Under | Damage #3-1 | Damage #3-3 | Damage #3-5 | Damage #3-7 | |||||
| Location | 50 mm | Location | 250 mm | Location | 450 mm | Location | 650 mm | ||
| Depth | 1.5 mm | Depth | 1.5 mm | Depth | 1.5 mm | Depth | 1.5 mm | ||
| Width | 0.5 mm | Width | 2 mm | Width | 4 mm | Width | 8 mm | ||
![]() | ![]() | ![]() | ![]() | ||||||
| Wire #4 | Upper | Damage #4-2 | Damage #4-4 | Damage #4-6 | Damage #4-8 | ||||
| Location | 150 mm | Location | 350 mm | Location | 550 mm | Location | 750 mm | ||
| Depth | 2 mm | Depth | 2 mm | Depth | 2 mm | Depth | 2 mm | ||
| Width | 1 mm | Width | 3 mm | Width | 6 mm | Width | 9 mm | ||
![]() | ![]() | ![]() | ![]() | ||||||
| Under | Damage #4-1 | Damage #4-3 | Damage #4-5 | Damage #4-7 | |||||
| Location | 50 mm | Location | 250 mm | Location | 450 mm | Location | 650 mm | ||
| Depth | 2 mm | Depth | 2 mm | Depth | 2 mm | Depth | 2 mm | ||
| Width | 0.5 mm | Width | 2 mm | Width | 4 mm | Width | 8 mm | ||
![]() | ![]() | ![]() | ![]() | ||||||
© 2018 by the authors. Licensee MDPI, Basel, Switzerland. This article is an open access article distributed under the terms and conditions of the Creative Commons Attribution (CC BY) license (http://creativecommons.org/licenses/by/4.0/).
Share and Cite
Kim, J.-W.; Park, S. Magnetic Flux Leakage Sensing and Artificial Neural Network Pattern Recognition-Based Automated Damage Detection and Quantification for Wire Rope Non-Destructive Evaluation. Sensors 2018, 18, 109. https://doi.org/10.3390/s18010109
Kim J-W, Park S. Magnetic Flux Leakage Sensing and Artificial Neural Network Pattern Recognition-Based Automated Damage Detection and Quantification for Wire Rope Non-Destructive Evaluation. Sensors. 2018; 18(1):109. https://doi.org/10.3390/s18010109
Chicago/Turabian StyleKim, Ju-Won, and Seunghee Park. 2018. "Magnetic Flux Leakage Sensing and Artificial Neural Network Pattern Recognition-Based Automated Damage Detection and Quantification for Wire Rope Non-Destructive Evaluation" Sensors 18, no. 1: 109. https://doi.org/10.3390/s18010109
APA StyleKim, J.-W., & Park, S. (2018). Magnetic Flux Leakage Sensing and Artificial Neural Network Pattern Recognition-Based Automated Damage Detection and Quantification for Wire Rope Non-Destructive Evaluation. Sensors, 18(1), 109. https://doi.org/10.3390/s18010109

































