Optimal Base Station Density of Dense Network: From the Viewpoint of Interference and Load
Abstract
:1. Introduction
1.1. Motivation and Related Work
1.2. Contributions
- We have considered the user association and interference problems in Poisson random networks and derived the expression of the expected link rate of the network as a function of SmBS density, which has revealed both the balance between the gain and the interference brought by densification. Based on the analytical results, we find the optimal BS density that maximizes the capacity of the network. Our work indicates that it is not always reasonable to increase the BS density.
- A method is proposed to analyze the throughput of the contention-based channel in random and irregular networks. Unlike the existing literature about analysis of the contention-based channel, which are all based on a given load, the work in this paper deals with the random load caused by the random network. We have found the junction to introduce the Poisson point process into the Markov chain and thus the contention-based load problems can also be solved in random networks. Our analytical results offer the answers on how the network densification can be load-aware in order to avoid performance degradation. Since the unlicensed bands have played an increasingly important role, the work in this paper can apply to many cases.
- Our analytical and simulation results have provided the optimal BS density for deployment of the dense network. After analyzing the effect of the base station power, density and the network load on the performance of network, the optimal deployment density of the base stations are given under different network conditions. The results can provide insights for network densification.
2. System Model
2.1. Distribution of BSs in HetNets
2.2. Channel Access Mode of the MaBS Tier
2.3. Channel Access Mode of the SmBS Tier
- the expected link rate R;
- the productive fraction of time .
3. The Expected Link Rate of the SmBS Tier
3.1. Distribution of the Distance from a User to Its Serving BS in the SmBS Tier
3.2. Probability of a User Connecting to the SmBS Tier
3.3. Interference Distribution in the SmBS Tier
3.4. The Expected Link Rate of the SmBS Tier
4. Throughput of MAC Layer in SmBS Tier
4.1. Fraction of Time for a Productive Channel.
4.2. Analysis of the Channel Load
4.3. Throughput Analysis of an SmBS Cell
4.4. The Fairness of the Tier Association
5. Numerical Results and Discussion
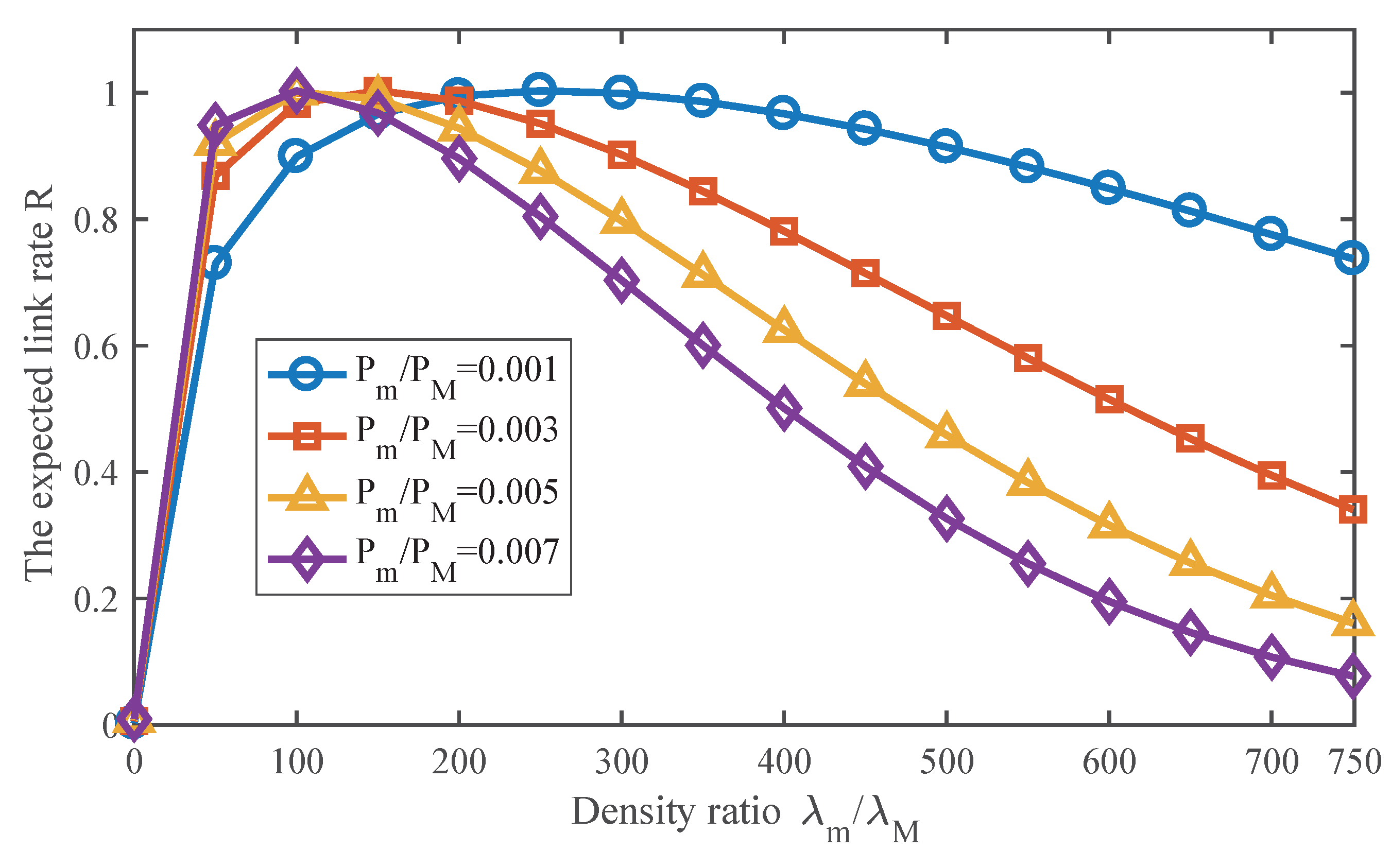
5.1. Effect of SmBS Density on the Link Rate
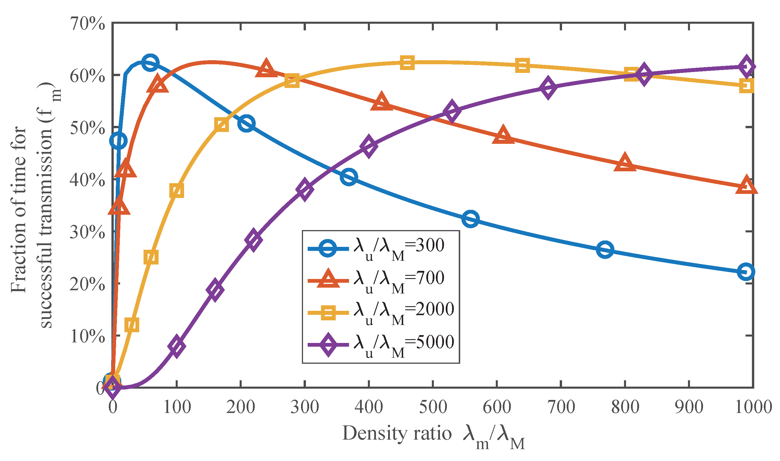
5.2. Effect of SmBS Density on the Channel Efficiency
5.3. The Areal Throughput of HetNets and the Optimal Deployment Scheme
5.4. The Throughput of an SmBS and the Optimal Deployment Scheme
6. Conclusions
Acknowledgments
Author Contributions
Conflicts of Interest
Appendix A
Appendix B
Appendix C
Appendix D
References
- Ericsson Inc. Cellular Networks for Massive IoT; Ericsson Inc.: Stockholm, Sweden, 2016. [Google Scholar]
- Qualcomm Inc. 1000x: More Small Cells; White Paper; Qualcomm Inc.: San Diego, CA, USA, 2013. [Google Scholar]
- International Telecommunication Union. IMT Vision-Framework and Overall Objectives of the Future Development of IMT for 2020 and Beyond; Technical Report; ITU-R Recommendation M.2083; International Telecommunication Union: Geneva, Switzerland, 2015. [Google Scholar]
- IMT-2020 Promotion Group. White Paper on 5G Concept; IMT-2020 Promotion Group of China: Beijing, China, 2015. [Google Scholar]
- Gotsis, A.; Stefanatos, S.; Alexiou, A. UltraDense Networks: The New Wireless Frontier for Enabling 5G Access. IEEE Veh. Technol. Mag. 2016, 11, 71–78. [Google Scholar] [CrossRef]
- Samarakoon, S.; Bennis, M.; Saad, W.; Debbah, M.; Latva-aho, M. Ultra Dense Small Cell Networks: Turning Density Into Energy Efficiency. IEEE J. Sel. Areas Commun. 2016, 34, 1267–1280. [Google Scholar] [CrossRef]
- Yunas, S.F.; Valkama, M.; Niemela, J. Spectral and Energy Efficiency of Ultra-Dense Networks under Different Deployment Strategies. IEEE Commun. Mag. 2015, 53, 90–100. [Google Scholar] [CrossRef]
- Chen, D.C.; Quek, T.Q.S.; Kountouris, M. Backhauling in Heterogeneous Cellular Networks: Modeling and Tradeoffs. IEEE Trans. Wirel. Commun. 2015, 14, 3194–3206. [Google Scholar] [CrossRef]
- Li, B.; Zhu, D.; Liang, P. Small Cell In-Band Wireless Backhaul in Massive MIMO Systems: A Cooperation of Next-Generation Techniques. IEEE Trans. Wirel. Commun. 2015, 14, 7057–7069. [Google Scholar] [CrossRef]
- Obregon, E.; Sung, K.W.; Zander, J. On the Sharing Opportunities for Ultra-Dense Networks in the Radar Bands. In Proceedings of the IEEE International Symposium on Dynamic Spectrum Access Networks (DYSPAN), McLean, VA, USA, 1–4 April 2014; pp. 215–223. [Google Scholar]
- Hajir, M.; Langar, R.; Gagnon, F. Coalitional Games for Joint Co-Tier and Cross-Tier Cooperative Spectrum Sharing in Dense Heterogeneous Networks. IEEE Access 2016, 4, 2450–2464. [Google Scholar] [CrossRef]
- Shuai, P.; En, T.; Huilin, J.; Zhiwen, P.; Nan, L.; Xiaohu, Y. An Improved Graph Coloring Based Small Cell Discovery Scheme in LTE Hyper-dense Networks. In Proceedings of the IEEE Wireless Communications and Networking Conference, New Orleans, LA, USA, 9–12 March 2015; pp. 17–22. [Google Scholar]
- Qiu, J.; Ding, G.; Wu, Q.; Qian, Z.; Tsiftsis, T.A.; Du, Z.; Sun, Y. Hierarchical Resource Allocation Framework for Hyper-Dense Small Cell Networks. IEEE Access 2016, 4, 8657–8669. [Google Scholar] [CrossRef]
- Wen, J.; Sheng, M.; Zhang, Y.; Wang, X.; Li, Y. Traffic Characteristics Based Dynamic Radio Resource Management in Heterogeneous Wireless Networks. China Commun. 2014, 11, 1–11. [Google Scholar]
- Chen, M.; Hao, Y.; Qiu, M.; Song, J.; Wu, D.; Humar, I. Mobility-Aware Caching and Computation Offloading in 5G Ultra-Dense Cellular Networks. Sensors 2016, 16, 974. [Google Scholar] [CrossRef] [PubMed]
- Hao, Y.; Chen, M.; Hu, L.; Song, J.; Volk, M.; Humar, I. Wireless Fractal Ultra-Dense Cellular Networks. Sensors 2017, 17, 841. [Google Scholar] [CrossRef] [PubMed]
- Park, J.; Kim, S.L.; Zander, J. Asymptotic Behavior of Ultra-Dense Cellular Networks and Its Economic Impact. In Proceedings of the IEEE Global Communications Conference, Austin, TX, USA, 8–12 December 2014; pp. 4941–4946. [Google Scholar]
- Yang, C.; Li, J.; Guizani, M. Cooperation for Spectral and Energy Efficiency in Ultra-Dense Small Cell Networks. IEEE Wirel. Commun. 2016, 23, 64–71. [Google Scholar] [CrossRef]
- Al-Zahrani, A.Y.; Yu, F.R.; Huang, M. A Joint Cross-Layer and Colayer Interference Management Scheme in Hyperdense Heterogeneous Networks Using Mean-Field Game Theory. IEEE Trans. Veh. Technol. 2016, 65, 1522–1535. [Google Scholar] [CrossRef]
- Soret, B.; Pedersen, K.I.; Jørgensen, N.T.; Fernández-López, V. Interference coordination for dense wireless networks. IEEE Commun. Mag. 2015, 53, 102–109. [Google Scholar] [CrossRef]
- Gao, Y.; Cheng, L.; Zhang, X.; Zhu, Y.; Zhang, Y. Enhanced Power Allocation Scheme in Ultra-Dense Small Cell Network. China Commun. 2016, 13, 21–29. [Google Scholar]
- Cho, M.J.; Ban, T.W.; Jung, B.C.; Yang, H.J. A Distributed Scheduling with Interference-Aware Power Control for Ultra-Dense Networks. In Proceedings of the IEEE International Conference on Communications, London, UK, 8–12 June 2015; pp. 1–6. [Google Scholar]
- Andrews, J.G.; Baccelli, F.; Ganti, R.K. A Tractable Approach to Coverage and Rate in Cellular Networks. IEEE Trans. Commun. 2011, 59, 3122–3134. [Google Scholar] [CrossRef]
- Jo, H.S.; Sang, Y.J.; Xia, P.; Andrews, J.G. Heterogeneous Cellular Networks with Flexible Cell Association: A Comprehensive Downlink SINR Analysis. IEEE Trans. Wirel. Commun. 2012, 11, 3484–3495. [Google Scholar] [CrossRef]
- Mukherjee, S. Distribution of Downlink SINR in Heterogeneous Cellular Networks. IEEE J. Sel. Areas Commun. 2012, 30, 575–585. [Google Scholar] [CrossRef]
- Jo, H.S.; Sang, Y.J.; Xia, P.; Andrews, J.G. Outage Probability for Heterogeneous Cellular Networks with Biased Cell Association. In Proceedings of the IEEE Global Communications Conference, Houston, TX, USA, 5–9 December 2011; pp. 1–5. [Google Scholar]
- Jeffrey, G.; Andrews, A.K.G.; Dhillon, H.S. A Primer on Cellular Network Analysis Using Stochastic Geometry. arXiv, 2016; arXiv:1604.03183. [Google Scholar]
- Rappaport, T.S. Wireless Communications: Principles and Practice; IEEE Press: Piscataway, NJ, USA, 1996. [Google Scholar]
- Wong, P.K.; Yin, D.; Lee, T.T. Analysis of Non-Persistent CSMA Protocols with Exponential Backoff Scheduling. IEEE Trans. Commun. 2011, 59, 2206–2214. [Google Scholar] [CrossRef]
- Damnjanovic, A.; Montojo, J.; Wei, Y.; Ji, T.; Luo, T.; Vajapeyam, M.; Yoo, T.; Song, O.; Malladi, D. A survey on 3GPP heterogeneous networks. IEEE Wirel. Commun. 2011, 18, 10–21. [Google Scholar] [CrossRef]
- Andrews, J.G.; Singh, S.; Ye, Q.; Lin, X.; Dhillon, H.S. An Overview of Load Balancing in HetNets: Old Myths and Open Problems. IEEE Wirel. Commun. 2014, 21, 18–25. [Google Scholar] [CrossRef]
- 3GPP. E-UTRA; Further Advancements for E-UTRA Physical Layer Aspects; Technical Report 36.814; 3GPP: Valbonne, France, 2013. [Google Scholar]
- Haenggi, M.; Ganti, R.K. Interference in Large Wireless Networks. Found. Trends Netw. 2009, 3, 127–248. [Google Scholar] [CrossRef]
- Sousa, E.S.; Silvester, J.A. Optimum transmission ranges in a direct-sequence spread-spectrum multihop packet radio network. IEEE J. Sel. Areas Commun. 1990, 8, 76–771. [Google Scholar] [CrossRef]










© 2017 by the authors. Licensee MDPI, Basel, Switzerland. This article is an open access article distributed under the terms and conditions of the Creative Commons Attribution (CC BY) license (http://creativecommons.org/licenses/by/4.0/).
Share and Cite
Feng, J.; Feng, Z. Optimal Base Station Density of Dense Network: From the Viewpoint of Interference and Load. Sensors 2017, 17, 2077. https://doi.org/10.3390/s17092077
Feng J, Feng Z. Optimal Base Station Density of Dense Network: From the Viewpoint of Interference and Load. Sensors. 2017; 17(9):2077. https://doi.org/10.3390/s17092077
Chicago/Turabian StyleFeng, Jianyuan, and Zhiyong Feng. 2017. "Optimal Base Station Density of Dense Network: From the Viewpoint of Interference and Load" Sensors 17, no. 9: 2077. https://doi.org/10.3390/s17092077
APA StyleFeng, J., & Feng, Z. (2017). Optimal Base Station Density of Dense Network: From the Viewpoint of Interference and Load. Sensors, 17(9), 2077. https://doi.org/10.3390/s17092077

