Electrospinning Hetero-Nanofibers In2O3/SnO2 of Homotype Heterojunction with High Gas Sensing Activity
Abstract
:1. Introduction
2. Experimental
2.1. Preparation and Characterization of In2O3/SnO2 Composite Hetero-Nanofibers
2.2. Sensors Fabrication and Measurements
3. Results and Discussion
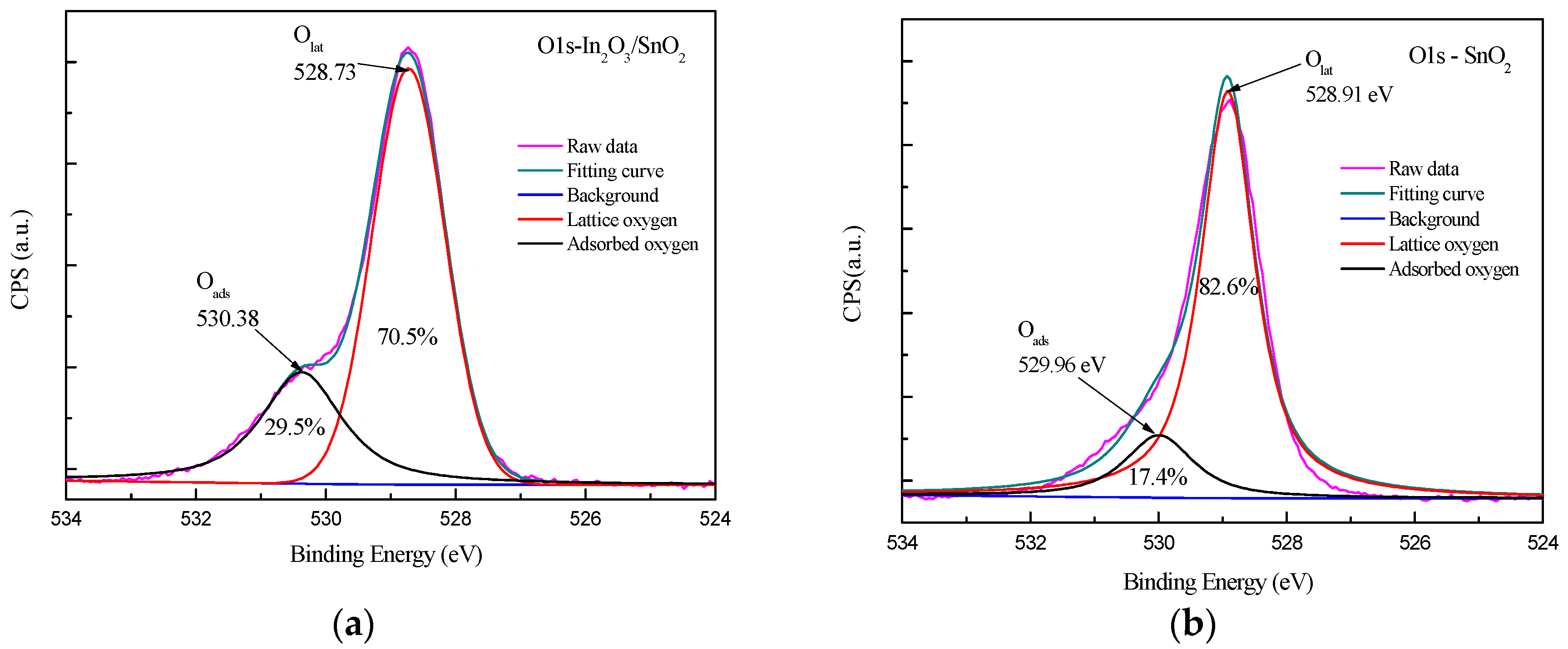
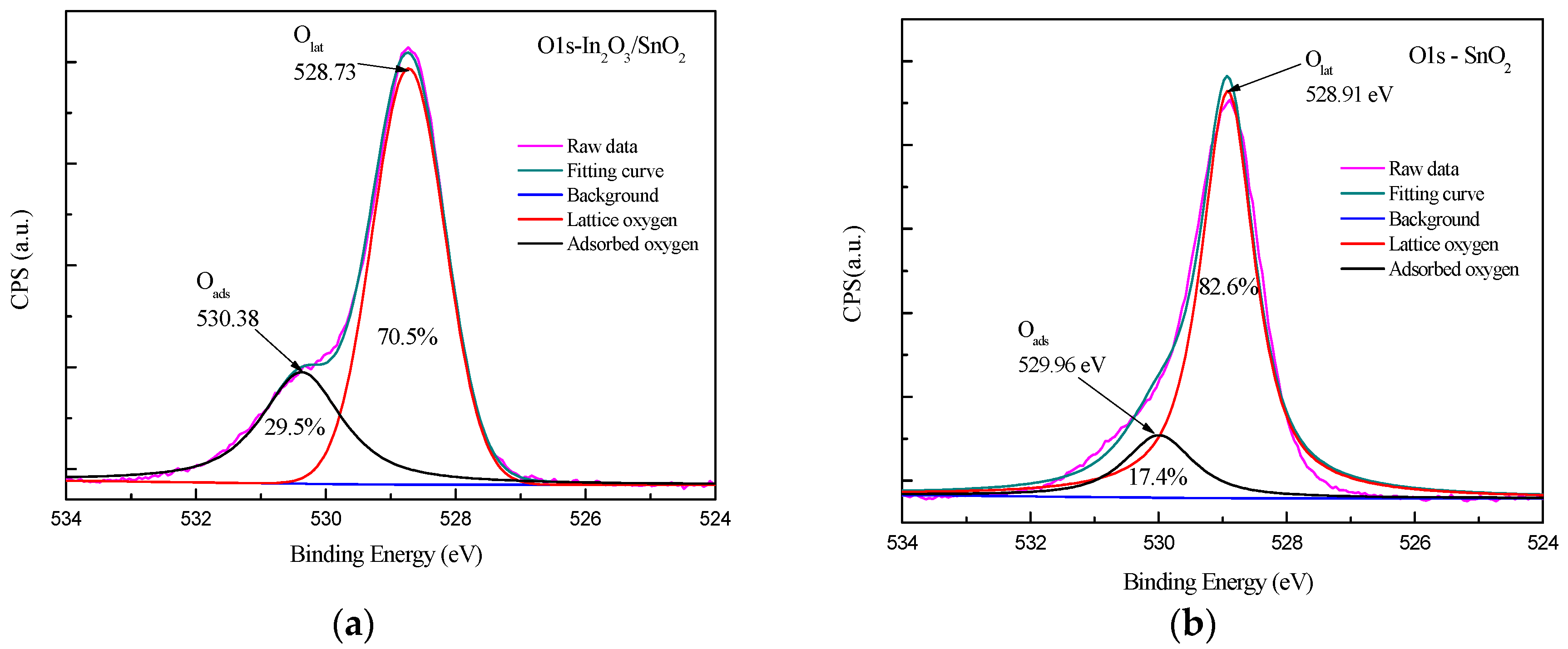
3.1. Characterization
3.2. Gas Sensing Properties
3.3. The Gas Sensing Mechanism of the In2O3/SnO2 Composite Hetero-Nanofibers Sensor
4. Conclusions
Acknowledgments
Author Contributions
Conflicts of Interest
References
- Khan, M.M.; Adil, S.F.; Al-Mayouf, A. Metal oxides as photocatalysts. J. Saudi Chem. Soc. 2015, 19, 462–464. [Google Scholar] [CrossRef]
- Phanichphant, S. Semiconductor Metal Oxides as Hydrogen Gas Sensors. Proced. Eng. 2014, 87, 795–802. [Google Scholar] [CrossRef]
- Jahnel, M.; Thomschke, M.; Fehse, K.; Vogel, U.; An, J.D.; Park, H.; Leo, K.; Im, C. Integration of near infrared and visible organic photodiodes on a complementary metal–oxide–semiconductor compatible backplane. Thin Solid Films 2015, 592 Pt A, 94–98. [Google Scholar] [CrossRef]
- Adhikari, S.; Sarkar, D. Metal oxide semiconductors for dye degradation. Mater. Res. Bull. 2015, 72, 220–228. [Google Scholar] [CrossRef]
- Wang, C.; Yin, L.; Zhang, L.; Xiang, D.; Gao, R. Metal oxide gas sensors: Sensitivity and influencing factors. Sensors 2010, 10, 2088–2106. [Google Scholar] [CrossRef] [PubMed]
- Maekawa, T.; Tamaki, J.; Miura, N.; Yamazoe, N. Sensing behavior of CuO-loaded SnO2 element for H2S detection. Chem. Lett. 1991, 20, 575–578. [Google Scholar] [CrossRef]
- Göpel, W.; Schierbaum, K.D. SnO2 sensors: Current status and future prospects. Sens. Actuators B Chem. 1995, 26, 1–12. [Google Scholar] [CrossRef]
- Tang, W.; Wang, J.; Qiao, Q.; Liu, Z.; Li, X. Mechanism for acetone sensing property of Pd-loaded SnO2 nanofibers prepared by electrospinning: Fermi-level effects. J. Mater. Sci. 2015, 50, 2605–2615. [Google Scholar] [CrossRef]
- Huang, H.; Lee, Y.C.; Chow, C.L.; Tan, O.K.; Tse, M.S.; Guo, J.; White, T. Plasma treatment of SnO2 nanocolumn arrays deposited by liquid injection plasma-enhanced chemical vapor deposition for gas sensors. Sens. Actuators B Chem. 2009, 138, 201–206. [Google Scholar] [CrossRef]
- De Lacy Costello, B.; Ewen, R.J.; Ratcliffe, N.M.; Sivanand, P. Thick film organic vapour sensors based on binary mixtures of metal oxides. Sens. Actuators B Chem. 2003, 92, 159–166. [Google Scholar] [CrossRef]
- Na, C.W.; Woo, H.-S.; Kim, I.-D.; Lee, J.-H. Selective detection of NO2 and C2H5OH using a Co3O4-decorated ZnO nanowire network sensor. Chem. Commun. 2011, 47, 5148–5150. [Google Scholar] [CrossRef] [PubMed]
- Miller, D.R.; Akbar, S.A.; Morris, P.A. Nanoscale metal oxide-based heterojunctions for gas sensing: A review. Sens. Actuators B Chem. 2014, 204, 250–272. [Google Scholar] [CrossRef]
- Zeng, W.; Liu, T.; Wang, Z. Sensitivity improvement of TiO2-doped SnO2 to volatile organic compounds. Phys. E Low Dimen. Syst. Nanostruct. 2010, 43, 633–638. [Google Scholar] [CrossRef]
- Ma, L.; Fan, H.; Tian, H.; Fang, J.; Qian, X. The n-ZnO/n-In2O3 heterojunction formed by a surface-modification and their potential barrier-control in methanal gas sensing. Sens. Actuators B Chem. 2016, 222, 508–516. [Google Scholar] [CrossRef]
- Patil, D.; Patil, L.; Patil, P. Cr2O3-activated ZnO thick film resistors for ammonia gas sensing operable at room temperature. Sens. Actuators B Chem. 2007, 126, 368–374. [Google Scholar] [CrossRef]
- Ren, F.; Gao, L.; Yuan, Y.; Zhang, Y.; Alqrni, A.; Al-Dossary, O.M.; Xu, J. Enhanced BTEX gas-sensing performance of CuO/SnO2 composite. Sens. Actuators B Chem. 2016, 223, 914–920. [Google Scholar] [CrossRef]
- Du, H.; Wang, J.; Su, M.; Yao, P.; Zheng, Y.; Yu, N. Formaldehyde gas sensor based on SnO2/In2O3 hetero-nanofibers by a modified double jets electrospinning process. Sens. Actuators B Chem. 2012, 166, 746–752. [Google Scholar] [CrossRef]
- Tharsika, T.; Haseeb, A.; Akbar, S.A.; Sabri, M.F.M.; Hoong, W.Y. Enhanced ethanol gas sensing properties of SnO2-core/ZnO-shell nanostructures. Sensors 2014, 14, 14586–14600. [Google Scholar] [CrossRef] [PubMed]
- De Lacy Costello, B.; Ewen, R.; Jones, P.; Ratcliffe, N.; Wat, R. A study of the catalytic and vapour-sensing properties of zinc oxide and tin dioxide in relation to 1-butanol and dimethyldisulphide. Sens. Actuators B Chem. 1999, 61, 199–207. [Google Scholar] [CrossRef]
- Tien, L.; Norton, D.; Gila, B.; Pearton, S.; Wang, H.-T.; Kang, B.; Ren, F. Detection of hydrogen with SnO2-coated ZnO nanorods. Appl. Surf. Sci. 2007, 253, 4748–4752. [Google Scholar] [CrossRef]
- Carney, C.M.; Yoo, S.; Akbar, S.A. TiO2–SnO2 nanostructures and their H2 sensing behavior. Sens. Actuators B Chem. 2005, 108, 29–33. [Google Scholar] [CrossRef]
- Chen, Y.; Zhu, C.; Shi, X.; Cao, M.; Jin, H. The synthesis and selective gas sensing characteristics of SnO2/α-Fe2O3 hierarchical nanostructures. Nanotechnology 2008, 19, 205603. [Google Scholar] [CrossRef] [PubMed]
- Her, Y.-C.; Chiang, C.-K.; Jean, S.-T.; Huang, S.-L. Self-catalytic growth of hierarchical In2O3 nanostructures on SnO2 nanowires and their CO sensing properties. Cryst. Eng. Comm. 2012, 14, 1296–1300. [Google Scholar] [CrossRef]
- Du, H.; Wang, J.; Sun, Y.; Yao, P.; Li, X.; Yu, N. Investigation of gas sensing properties of SnO2/In2O3 composite hetero-nanofibers treated by oxygen plasma. Sens. Actuators B Chem. 2015, 206, 753–763. [Google Scholar] [CrossRef]
- Xu, S.; Gao, J.; Wang, L.; Kan, K.; Xie, Y.; Shen, P.; Li, L.; Shi, K. Role of the heterojunctions in In2O3-composite SnO2 nanorod sensors and their remarkable gas-sensing performance for NO x at room temperature. Nanoscale 2015, 7, 14643–14651. [Google Scholar] [CrossRef] [PubMed]
- Li, P.; Fan, H.; Cai, Y. In2O3/SnO2 heterojunction microstructures: Facile room temperature solid-state synthesis and enhanced Cl2 sensing performance. Sens. Actuators B Chem. 2013, 185, 110–116. [Google Scholar] [CrossRef]
- Zheng, W.; Lu, X.; Wang, W.; Dong, B.; Zhang, H.; Wang, Z.; Xu, X.; Wang, C. A rapidly responding sensor for methanol based on electrospun In2O3–SnO2 nanofibers. J. Am. Ceram. Soc. 2010, 93, 15–17. [Google Scholar] [CrossRef]
- Chen, A.; Huang, X.; Tong, Z.; Bai, S.; Luo, R.; Liu, C.C. Preparation, characterization and gas-sensing properties of SnO2–In2O3 nanocomposite oxides. Sens. Actuators B Chem. 2006, 115, 316–321. [Google Scholar] [CrossRef]
- Pouget, J.; Jozefowicz, M.; Epstein, A.E.A.; Tang, X.; MacDiarmid, A. X-ray structure of polyaniline. Macromolecules 1991, 24, 779–789. [Google Scholar] [CrossRef]
- Patterson, A. The Scherrer formula for X-ray particle size determination. Phys. Rev. 1939, 56, 978. [Google Scholar] [CrossRef]
- Yang, Z.; Yuan, G. BET Surface Area Analysis on Microporous Materials. Mod. Sci. Instrum. 2010, 1, 97–102. [Google Scholar]
- Mu, J.; Chen, B.; Zhang, M.; Guo, Z.; Zhang, P.; Zhang, Z.; Sun, Y.; Shao, C.; Liu, Y. Enhancement of the visible-light photocatalytic activity of In2O3–TiO2 nanofiber heteroarchitectures. ACS Appl. Mater. Interfaces 2011, 4, 424–430. [Google Scholar] [CrossRef] [PubMed]
- Yang, D.J.; Kamienchick, I.; Youn, D.Y.; Rothschild, A.; Kim, I.D. Ultrasensitive and highly selective gas sensors based on electrospun SnO2 nanofibers modified by Pd loading. Adv. Funct. Mater. 2010, 20, 4258–4264. [Google Scholar] [CrossRef]
- Wang, E.Y.; Hsu, L. Determination of Electron Affinity of In2O3 from Its Heterojunction Photovoltaic Properties. J. Electrochem. Soc. 1978, 125, 1328–1331. [Google Scholar] [CrossRef]
- Brillson, L.J.; Lu, Y. ZnO Schottky barriers and Ohmic contacts. J. Appl. Phys. 2011, 109, 8. [Google Scholar] [CrossRef]
- Xu, L.; Zheng, R.; Liu, S.; Song, J.; Chen, J.; Dong, B.; Song, H. NiO@ ZnO heterostructured nanotubes: coelectrospinning fabrication, characterization, and highly enhanced gas sensing properties. Inorg. Chem. 2012, 51, 7733–7740. [Google Scholar] [CrossRef] [PubMed]
- Chenari, H.M.; Weinhardt, L.; Lastra, N.R.; Ernst, M.; Reinert, F.; Golzan, M.; Hassanzadeh, A. Structural properties and x-ray photoelectron spectroscopic study of SnO 2 nanoparticles. Mater. Lett. 2012, 85, 168–170. [Google Scholar] [CrossRef]
- Nagasawa, Y.; Choso, T.; Karasuda, T.; Shimomura, S.; Ouyang, F.; Tabata, K.; Yamaguchi, Y. Photoemission study of the interaction of a reduced thin film SnO2 with oxygen. Surf. Sci. 1999, 433, 226–229. [Google Scholar] [CrossRef]
- Wagner, C.; Biloen, P. X-ray excited Auger and photoelectron spectra of partially oxidized magnesium surfaces: The observation of abnormal chemical shifts. Surf. Sci. 1973, 35, 82–95. [Google Scholar] [CrossRef]
- Korotcenkov, G. Gas response control through structural and chemical modification of metal oxide films: state of the art and approaches. Sens. Actuators B Chem. 2005, 107, 209–232. [Google Scholar] [CrossRef]
- Brinzari, V.; Korotcenkov, G.; Golovanov, V. Factors influencing the gas sensing characteristics of tin dioxide films deposited by spray pyrolysis: understanding and possibilities of control. Thin Solid Films 2001, 391, 167–175. [Google Scholar] [CrossRef]
- Brynzari, V.; Korotchenkov, G.; Dmitriev, S. Theoretical study of semiconductor thin films gas sensors: Attempt to consistent approach. Electron Technol. 2000, 33, 225–235. [Google Scholar]
- Brynzari, V.; Korotchenkov, G.; Dmitriev, S. Simulation of thin film gas sensors kinetics. Sens. Actuators B Chem. 1999, 61, 143–153. [Google Scholar] [CrossRef]
- Lee, H.; Hwang, W. Substrate effects on the oxygen gas sensing properties of SnO2/TiO2 thin films. Appl. Surf. Sci. 2006, 253, 1889–1897. [Google Scholar] [CrossRef]
- Feneberg, M.; Lidig, C.; Lange, K.; Goldhahn, R.; Neumann, M.D.; Esser, N.; Bierwagen, O.; White, M.E.; Tsai, M.Y.; Speck, J.S. Ordinary and extraordinary dielectric functions of rutile SnO2 up to 20 eV. Appl. Phys. Lett. 2014, 104, 231106. [Google Scholar] [CrossRef]
- Xiong, C.; Balkus, K.J. Mesoporous molecular sieve derived TiO2 nanofibers doped with SnO2. J. Phys. Chem. C 2007, 111, 10359–10367. [Google Scholar] [CrossRef]
- Weis, T.; Lipperheide, R.; Wille, U.; Brehme, S. Barrier-controlled carrier transport in microcrystalline semiconducting materials: Description within a unified model. J. Appl. Phys. 2002, 92, 1411–1418. [Google Scholar] [CrossRef]
- Sze, S.M.; Ng, K.K. Physics of Semiconductor Devices, 3rd ed.; John Wiley & Sons: Hoboken, NJ, USA, October 2006. [Google Scholar]
- Vomiero, A.; Ferroni, M.; Comini, E.; Faglia, G.; Sberveglieri, G. Preparation of radial and longitudinal nanosized heterostructures of In2O3 and SnO2. Nano Lett. 2007, 7, 3553–3558. [Google Scholar] [CrossRef]
- Mandalapu, L.; Yang, Z.; Xiu, F.; Zhao, D.; Liu, J. Homojunction photodiodes based on Sb-doped p-type ZnO for ultraviolet detection. Appl. Phys. Lett. 2006, 88, 092103. [Google Scholar] [CrossRef]
- Hoffman, R.; Wager, J.; Jayaraj, M.; Tate, J. Electrical characterization of transparent p–i–n heterojunction diodes. J. Appl. Phys. 2001, 90, 5763–5767. [Google Scholar] [CrossRef]
- Muzikante, I.; Parra, V.; Dobulans, R.; Fonavs, E.; Latvels, J.; Bouvet, M. A novel gas sensor transducer based on phthalocyanine heterojunction devices. Sensors 2007, 7, 2984–2996. [Google Scholar] [CrossRef]















| Element | Weight % | Atomic % |
|---|---|---|
| O | 31.50 | 77.2 |
| In | 19.60 | 6.7 |
| Sn | 48.90 | 16.1 |
© 2017 by the authors. Licensee MDPI, Basel, Switzerland. This article is an open access article distributed under the terms and conditions of the Creative Commons Attribution (CC BY) license (http://creativecommons.org/licenses/by/4.0/).
Share and Cite
Du, H.; Yao, P.; Sun, Y.; Wang, J.; Wang, H.; Yu, N. Electrospinning Hetero-Nanofibers In2O3/SnO2 of Homotype Heterojunction with High Gas Sensing Activity. Sensors 2017, 17, 1822. https://doi.org/10.3390/s17081822
Du H, Yao P, Sun Y, Wang J, Wang H, Yu N. Electrospinning Hetero-Nanofibers In2O3/SnO2 of Homotype Heterojunction with High Gas Sensing Activity. Sensors. 2017; 17(8):1822. https://doi.org/10.3390/s17081822
Chicago/Turabian StyleDu, Haiying, PengJun Yao, Yanhui Sun, Jing Wang, Huisheng Wang, and Naisen Yu. 2017. "Electrospinning Hetero-Nanofibers In2O3/SnO2 of Homotype Heterojunction with High Gas Sensing Activity" Sensors 17, no. 8: 1822. https://doi.org/10.3390/s17081822
APA StyleDu, H., Yao, P., Sun, Y., Wang, J., Wang, H., & Yu, N. (2017). Electrospinning Hetero-Nanofibers In2O3/SnO2 of Homotype Heterojunction with High Gas Sensing Activity. Sensors, 17(8), 1822. https://doi.org/10.3390/s17081822

