Investigation of Azimuth Multichannel Reconstruction for Moving Targets in High Resolution Wide Swath SAR
Abstract
:1. Introduction
2. Signal Model and Properties
2.1. Signal Mode
2.2. Conventional Multichannel Reconstruction for Moving Targets
3. Azimuth Multichannel Imaging for Moving Targets
3.1. Azimuth Multichannel Reconstruction
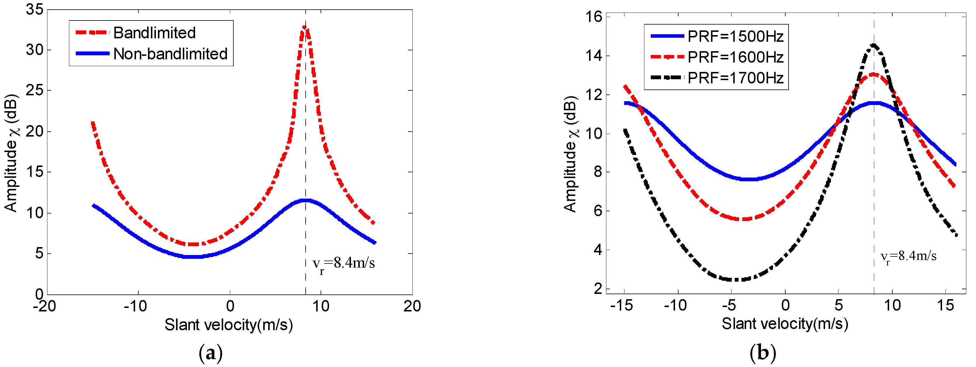
3.2. Slant-Range Velocity Estimation
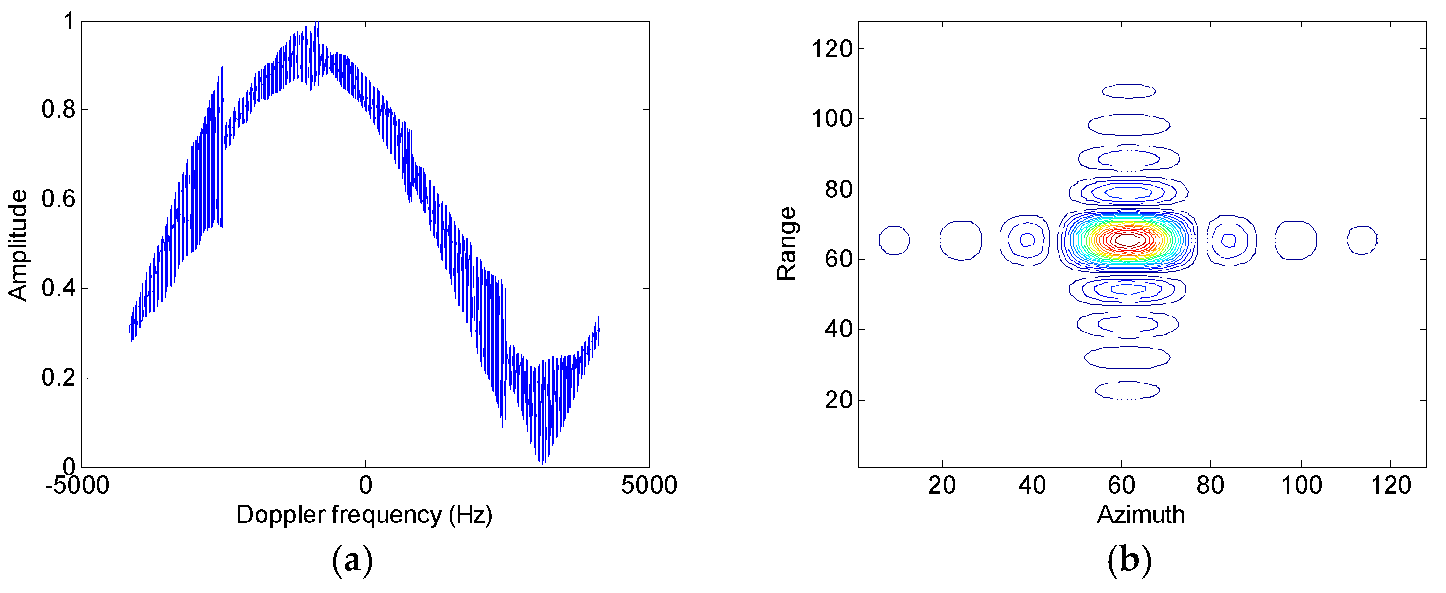
4. Simulation Experiments
5. Conclusions
Acknowledgments
Author Contributions
Conflicts of Interest
References
- Currie, A.; Brown, M. Wide-swath SAR. In Proceedings of the IEEE Radar and Signal Processing, Brighton, UK, 12–13 October 1992; pp. 122–135. [Google Scholar]
- Gebert, N.; Almeida, F.; Krieger, G. Airborne demonstration of multichannel SAR imaging. IEEE Geosci. Remote Sens. Lett. 2011, 8, 963–967. [Google Scholar] [CrossRef]
- Gebert, N. Multi-Channel Azimuth Processing for High-Resolution Wide-Swath SAR Imaging. Ph.D. Thesis, University Fridericiana Karlsruhe (TH), Wessling, Germany, June 2009. [Google Scholar]
- Li, Z.; Wang, H.; Bao, Z.; Liao, G. Generation of wide-swath and high-resolution SAR images from multichannel small spaceborne SAR system. IEEE Geosci. Remote Sens. Lett. 2005, 2, 82–86. [Google Scholar] [CrossRef]
- Zhou, F.; Wu, R.; Xing, M.; Bao, Z. Approach for single channel SAR ground moving target imaging and motion parameter estimation. IET Radar Sonar Navig. 2007, 1, 59–66. [Google Scholar] [CrossRef]
- Zhu, S.; Liao, G.; Qu, Y.; Zhou, Z.; Liu, X. Ground moving targets imaging algorithm for synthetic aperture radar. IEEE Trans. Geosci. Remote Sens. 2011, 49, 462–477. [Google Scholar] [CrossRef]
- Zhu, S.; Liao, G.; Qu, Y.; Liu, X.; Zhou, Z. A new slant-range velocity ambiguity resolving approach of fast moving targets for SAR system. IEEE Trans. Geosci. Remote Sens. 2010, 48, 432–451. [Google Scholar]
- Sun, G.; Xing, M.; Xia, X.; Wu, Y.; Bao, Z. Robust ground moving-target imaging using deramp-keystone processing. IEEE Trans. Geosci. Remote Sens. 2013, 51, 966–982. [Google Scholar] [CrossRef]
- Shu, Y.; Liao, G.; Yang, Z. Design considerations of PRF for optimizing GMTI performance in azimuth multichannel SAR systems with HRWS imaging capability. IEEE Trans. Geosci. Remote Sens. 2014, 52, 2048–2063. [Google Scholar]
- Baumgartner, S.V.; Krieger, G. Simultaneous High-Resolution Wide-Swath SAR Imaging and Ground Moving Target Indication: Processing Approaches and System Concepts. IEEE J. Sel. Top. Appl. Earth Obs. Remote Sens. 2015, 8, 5015–5029. [Google Scholar] [CrossRef]
- Baumgartner, S.V.; Krieger, G. Experimental Verification of High-Resolution Wide-Swath Moving Target Indication. In Proceedings of the European Conference on Synthetic Aperture Radar (EUSAR), Hamburg, Germany, 6–9 June 2016. [Google Scholar]















| Simulation Parameter | Value |
|---|---|
| Carrier frequency | 9.6 GHz |
| Equivalent transmit antenna length | 3 m |
| The whole receive antenna length | 10 m |
| Number of channels in azimuth | 5 |
| Transmitted pulse duration | 4 μs |
| Transmitted pulse bandwidth | 100 MHz |
| Sampling frequency | 120 MHz |
| Operated system PRF | 1600 Hz |
| Effective sensor velocity | 7500 m/s |
| Slant range of swath center | 600 km |
© 2017 by the authors. Licensee MDPI, Basel, Switzerland. This article is an open access article distributed under the terms and conditions of the Creative Commons Attribution (CC BY) license (http://creativecommons.org/licenses/by/4.0/).
Share and Cite
Tan, W.; Xu, W.; Huang, P.; Huang, Z.; Qi, Y.; Han, K. Investigation of Azimuth Multichannel Reconstruction for Moving Targets in High Resolution Wide Swath SAR. Sensors 2017, 17, 1270. https://doi.org/10.3390/s17061270
Tan W, Xu W, Huang P, Huang Z, Qi Y, Han K. Investigation of Azimuth Multichannel Reconstruction for Moving Targets in High Resolution Wide Swath SAR. Sensors. 2017; 17(6):1270. https://doi.org/10.3390/s17061270
Chicago/Turabian StyleTan, Weixian, Wei Xu, Pingping Huang, Zengshu Huang, Yaolong Qi, and Kuoye Han. 2017. "Investigation of Azimuth Multichannel Reconstruction for Moving Targets in High Resolution Wide Swath SAR" Sensors 17, no. 6: 1270. https://doi.org/10.3390/s17061270
APA StyleTan, W., Xu, W., Huang, P., Huang, Z., Qi, Y., & Han, K. (2017). Investigation of Azimuth Multichannel Reconstruction for Moving Targets in High Resolution Wide Swath SAR. Sensors, 17(6), 1270. https://doi.org/10.3390/s17061270

