Innovative High-Throughput SAXS Methodologies Based on Photonic Lab-on-a-Chip Sensors: Application to Macromolecular Studies
Abstract
:1. Introduction
2. Materials and Methods
2.1. Reagents
2.2. PhLoC Design and Fabrication
2.3. Experimental Setup and PhLoC Configuration
2.4. SAXS Experiments
3. Results and Discussion
3.1. On Chip Real-Time Spectrophotometric Detection
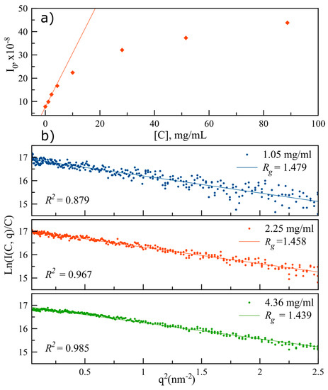
3.2. Macromolecular Interactions Characterization by SAXS
4. Conclusions
Acknowledgments
Author Contributions
Conflicts of Interest
References
- Glatter, O.; Kratky, O. A survey. In Small Angle X-ray Scattering; Academic Press: London, UK, 1982. [Google Scholar]
- Feigin, L.; Svergun, D.I.; Taylor, G.W. General principles of small-angle diffraction. In Structure Analysis by Small-Angle X-ray and Neutron Scattering; Springer: Berlin/Heidelberg, Germany, 1987; pp. 25–55. [Google Scholar]
- Chattopadhyay, S.; Erdemir, D.; Evans, J.M.; Ilavsky, J.; Amenitsch, H.; Segre, C.U.; Myerson, A.S. Saxs study of the nucleation of glycine crystals from a supersaturated solution. Cryst. Growth Des. 2005, 5, 523–527. [Google Scholar] [CrossRef]
- Pontoni, D.; Narayanan, T.; Rennie, A. Nucleation and growth kinetics of colloidal silica. In Trends in Colloid and Interface Science XVI; Springer: Berlin/Heidelberg, Germany, 2004; pp. 227–230. [Google Scholar]
- Fischer, H.; Oliveira Neto, M.D.; Napolitano, H.; Polikarpov, I.; Craievich, A. Determination of the molecular weight of proteins in solution from a single small-angle X-ray scattering measurement on a relative scale. J. Appl. Crystallogr. 2010, 43, 101–109. [Google Scholar] [CrossRef]
- Mertens, H.D.; Svergun, D.I. Structural characterization of proteins and complexes using small-angle X-ray solution scattering. J. Struct. Biol. 2010, 172, 128–141. [Google Scholar] [CrossRef] [PubMed]
- Durchschlag, H.; Zipper, P.; Wilfing, R.; Purr, G. Detection of small conformational changes of proteins by small-angle scattering. J. Appl. Crystallogr. 1991, 24, 822–831. [Google Scholar] [CrossRef]
- Khvostichenko, D.S.; Kondrashkina, E.; Perry, S.L.; Pawate, A.S.; Brister, K.; Kenis, P.J. An X-ray transparent microfluidic platform for screening of the phase behavior of lipidic mesophases. Analyst 2013, 138, 5384–5395. [Google Scholar] [CrossRef] [PubMed]
- Brennich, M.E.; Nolting, J.-F.; Dammann, C.; Nöding, B.; Bauch, S.; Herrmann, H.; Pfohl, T.; Köster, S. Dynamics of intermediate filament assembly followed in micro-flow by small angle X-ray scattering. Lab Chip 2011, 11, 708–716. [Google Scholar] [CrossRef] [PubMed]
- Polte, J.; Erler, R.; Thunemann, A.F.; Sokolov, S.; Ahner, T.T.; Rademann, K.; Emmerling, F.; Kraehnert, R. Nucleation and growth of gold nanoparticles studied via in situ small angle X-ray scattering at millisecond time resolution. ACS Nano 2010, 4, 1076–1082. [Google Scholar] [CrossRef] [PubMed]
- Pham, N.V.; Radajewski, D.; Round, A.R.; Brennich, M.; Pernot, P.; Biscans, B.; Bonnete, F.; Teychene, S. Coupling high throughput microfluidics and small-angle X-ray scattering to study protein crystallization from solution. Anal. Chem. 2017, 89, 2282–2287. [Google Scholar] [CrossRef] [PubMed]
- Stehle, R.; Goerigk, G.; Wallacher, D.; Ballauff, M.; Seiffert, S. Small-angle X-ray scattering in droplet-based microfluidics. Lab Chip 2013, 13, 1529–1537. [Google Scholar] [CrossRef] [PubMed]
- Saldanha, O.; Graceffa, R.; Hémonnot, C.Y.; Ranke, C.; Brehm, G.; Liebi, M.; Marmiroli, B.; Weinhausen, B.; Burghammer, M.; Köster, S. Rapid acquisition of X-ray scattering data from droplet-encapsulated protein systems. ChemPhysChem 2017. [Google Scholar] [CrossRef] [PubMed]
- Guo, M.T.; Rotem, A.; Heyman, J.A.; Weitz, D.A. Droplet microfluidics for high-throughput biological assays. Lab Chip 2012, 12, 2146–2155. [Google Scholar] [CrossRef] [PubMed]
- Hoshino, K.; Huang, Y.-Y.; Lane, N.; Huebschman, M.; Uhr, J.W.; Frenkel, E.P.; Zhang, X. Microchip-based immunomagnetic detection of circulating tumor cells. Lab Chip 2011, 11, 3449–3457. [Google Scholar] [CrossRef] [PubMed]
- Kimmel, D.W.; LeBlanc, G.; Meschievitz, M.E.; Cliffel, D.E. Electrochemical sensors and biosensors. Anal. Chem. 2011, 84, 685–707. [Google Scholar] [CrossRef] [PubMed]
- Balslev, S.; Jorgensen, A.; Bilenberg, B.; Mogensen, K.B.; Snakenborg, D.; Geschke, O.; Kutter, J.P.; Kristensen, A. Lab-on-a-chip with integrated optical transducers. Lab Chip 2006, 6, 213–217. [Google Scholar] [CrossRef] [PubMed]
- Rodríguez-Ruiz, I.; Ackermann, T.N.; Muñoz-Berbel, X.; Llobera, A. Photonic lab-on-a-chip: Integration of optical spectroscopy in microfluidic systems. Anal. Chem. 2016, 88, 6630–6637. [Google Scholar] [CrossRef] [PubMed]
- Psaltis, D.; Quake, S.R.; Yang, C. Developing optofluidic technology through the fusion of microfluidics and optics. Nature 2006, 442, 381–386. [Google Scholar] [CrossRef] [PubMed]
- Monat, C.; Domachuk, P.; Eggleton, B. Integrated optofluidics: A new river of light. Nat. Photonics 2007, 1, 106–114. [Google Scholar] [CrossRef]
- Muñoz-Berbel, X.; Rodríguez-Rodríguez, R.; Vigués, N.; Demming, S.; Mas, J.; Büttgenbach, S.; Verpoorte, E.; Ortiz, P.; Llobera, A. Monolithically integrated biophotonic lab-on-a-chip for cell culture and simultaneous ph monitoring. Lab Chip 2013, 13, 4239–4247. [Google Scholar] [CrossRef] [PubMed]
- Nitkowski, A.; Baeumner, A.; Lipson, M. On-chip spectrophotometry for bioanalysis using microring resonators. Biomed. Opt. Express 2011, 2, 271–277. [Google Scholar] [CrossRef] [PubMed]
- Ibarlucea, B.; Fernandez-Rosas, E.; Vila-Planas, J.; Demming, S.; Nogues, C.; Plaza, J.A.; Büttgenbach, S.; Llobera, A. Cell screening using disposable photonic lab on a chip systems. Anal. Chem. 2010, 82, 4246–4251. [Google Scholar] [CrossRef] [PubMed]
- Vila-Planas, J.; Fernandez-Rosas, E.; Ibarlucea, B.; Demming, S.; Nogues, C.; Plaza, J.A.; Dominguez, C.; Buttgenbach, S.; Llobera, A. Cell analysis using a multiple internal reflection photonic lab-on-a-chip. Nat. Protoc. 2011, 6, 1642–1655. [Google Scholar] [CrossRef] [PubMed]
- Ndukaife, J.C. Discrete Opto-Fluidic Chemical Spectrophotometry System (Docss) for Online Batch-Sampling of Heavy Metals and Fabrication of Dithizone Based Evanescent Wave Optical Fiber Sensor. Master’s Thesis, Purdue University, West Lafayette, IN, USA, 2012. [Google Scholar]
- Ibarlucea, B.; Diez-Gil, C.; Ratera, I.; Veciana, J.; Caballero, A.; Zapata, F.; Tarraga, A.; Molina, P.; Demming, S.; Buttgenbach, S.; et al. PDMS based photonic lab-on-a-chip for the selective optical detection of heavy metal ions. Analyst 2013, 138, 839–844. [Google Scholar] [CrossRef] [PubMed]
- Cocovi-Solberg, D.J.; Miró, M.; Cerdà, V.; Pokrzywnicka, M.; Tymecki, Ł.; Koncki, R. Towards the development of a miniaturized fiberless optofluidic biosensor for glucose. Talanta 2012, 96, 113–120. [Google Scholar] [CrossRef] [PubMed]
- Rodríguez-Ruiz, I.; Masvidal-Codina, E.; Ackermann, T.N.; Llobera, A. Photonic lab-on-chip (phloc) for enzyme-catalyzed reactions in continuous flow. Microfluid. Nanofluid. 2014, 18, 1277–1286. [Google Scholar] [CrossRef]
- Rodríguez-Ruiz, I.; Conejero-Muriel, M.; Ackermann, T.N.; Gavira, J.A.; Llobera, A. A multiple path photonic lab on a chip for parallel protein concentration measurements. Lab Chip 2015, 15, 1133–1139. [Google Scholar] [CrossRef] [PubMed]
- Vitry, Y.; Teychené, S.; Charton, S.; Lamadie, F.; Biscans, B. Investigation of a microfluidic approach to study very high nucleation rates involved in precipitation processes. Chem. Eng. Sci. 2015, 133, 54–61. [Google Scholar] [CrossRef]
- Hellé, G.; Mariet, C.; Cote, G. Liquid-liquid extraction of uranium (vi) with aliquat ® 336 from hcl media in microfluidic devices: Combination of micro-unit operations and online icp-ms determination. Talanta 2015, 139, 123–131. [Google Scholar] [CrossRef] [PubMed]
- Michez, A.; Boch, J.; Dhombres, S.; Saigné, F.; Touboul, A.D.; Vaillé, J.-R.; Dusseau, L.; Lorfèvre, E.; Ecoffet, R. Modeling dose effects in electronics devices: Dose and temperature dependence of power mosfet. Microelectron. Reliab. 2013, 53, 1306–1310. [Google Scholar] [CrossRef]
- Parmar, A.S.; Gottschall, P.E.; Muschol, M. Pre-assembled clusters distort crystal nucleation kinetics in supersaturated lysozyme solutions. Biophys. Chem. 2007, 129, 224–234. [Google Scholar] [CrossRef] [PubMed]
- Rodríguez-Ruiz, I.; Teychené, S.; Pham, N.V.; Radajewski, D.; Lamadie, F.; Llobera, A.; Charton, S. Broadcasting photonic lab on a chip concept through a low cost manufacturing approach. Talanta 2017, 170, 180–184. [Google Scholar] [CrossRef] [PubMed]
- Haubert, K.; Drier, T.; Beebe, D. Pdms bonding by means of a portable, low-cost corona system. Lab Chip 2006, 6, 1548–1549. [Google Scholar] [CrossRef] [PubMed]
- Pernot, P.; Round, A.; Barrett, R.; De Maria Antolinos, A.; Gobbo, A.; Gordon, E.; Huet, J.; Kieffer, J.; Lentini, M.; Mattenet, M. Upgraded ESRF BM29 beamline for SAXS on macromolecules in solution. J. Synchrotron. Radiat. 2013, 20, 660–664. [Google Scholar] [CrossRef] [PubMed]
- Bras, W.; Koizumi, S.; Terrill, N.J. Beyond simple small-angle X-ray scattering: Developments in online complementary techniques and sample environments. IUCrJ 2014, 1, 478–491. [Google Scholar] [CrossRef] [PubMed]
- Svergun, D.I.; Koch, M.H. Small-angle scattering studies of biological macromolecules in solution. Rep. Prog. Phys. 2003, 66, 1735. [Google Scholar] [CrossRef]
- Bonneté, F.; Finet, S.; Tardieu, A. Second virial coefficient: Variations with lysozyme crystallization conditions. J. Cryst. Growth 1999, 196, 403–414. [Google Scholar] [CrossRef]
- Luzzati, V.; Tardieu, A. Recent developments in solution X-ray scattering. Annu. Rev. Biophys. Bioeng. 1980, 9, 1–29. [Google Scholar] [CrossRef] [PubMed]
- Fournet, G.; Guinier, A. Small Angle Scattering of X-rays; Walker, C.B.; Yudowitch, K.L., Translators; John Wiley & Sons: New York, NY, USA, 1955; pp. 7–78. [Google Scholar]
- Mylonas, E.; Svergun, D.I. Accuracy of molecular mass determination of proteins in solution by small-angle X-ray scattering. Appl. Crystallogr. 2007, 40, s245–s249. [Google Scholar] [CrossRef]
- Hao, Q.; Liu, Q.; Hong, X. Using molecular envelope information derived from SAXS and EM for cystallographic phasing. Microsc. Microanal. 2008, 14, 128–129. [Google Scholar] [CrossRef]
- Svergun, D.; Barberato, C.; Koch, M.H. Crysol—A program to evaluate X-ray solution scattering of biological macromolecules from atomic coordinates. J. Appl. Crystallogr. 1995, 28, 768–773. [Google Scholar] [CrossRef]
- Franke, D.; Svergun, D.I. DAMMIF, a program for rapid ab-initio shape determination in small-angle scattering. J. Appl. Crystallogr. 2009, 42, 342–346. [Google Scholar] [CrossRef] [PubMed]
- Volkov, V.V.; Svergun, D.I. Uniqueness of ab initio shape determination in small-angle scattering. J. Appl. Crystallogr. 2003, 36, 860–864. [Google Scholar] [CrossRef]





© 2017 by the authors. Licensee MDPI, Basel, Switzerland. This article is an open access article distributed under the terms and conditions of the Creative Commons Attribution (CC BY) license (http://creativecommons.org/licenses/by/4.0/).
Share and Cite
Rodríguez-Ruiz, I.; Radajewski, D.; Charton, S.; Phamvan, N.; Brennich, M.; Pernot, P.; Bonneté, F.; Teychené, S. Innovative High-Throughput SAXS Methodologies Based on Photonic Lab-on-a-Chip Sensors: Application to Macromolecular Studies. Sensors 2017, 17, 1266. https://doi.org/10.3390/s17061266
Rodríguez-Ruiz I, Radajewski D, Charton S, Phamvan N, Brennich M, Pernot P, Bonneté F, Teychené S. Innovative High-Throughput SAXS Methodologies Based on Photonic Lab-on-a-Chip Sensors: Application to Macromolecular Studies. Sensors. 2017; 17(6):1266. https://doi.org/10.3390/s17061266
Chicago/Turabian StyleRodríguez-Ruiz, Isaac, Dimitri Radajewski, Sophie Charton, Nhat Phamvan, Martha Brennich, Petra Pernot, Françoise Bonneté, and Sébastien Teychené. 2017. "Innovative High-Throughput SAXS Methodologies Based on Photonic Lab-on-a-Chip Sensors: Application to Macromolecular Studies" Sensors 17, no. 6: 1266. https://doi.org/10.3390/s17061266
APA StyleRodríguez-Ruiz, I., Radajewski, D., Charton, S., Phamvan, N., Brennich, M., Pernot, P., Bonneté, F., & Teychené, S. (2017). Innovative High-Throughput SAXS Methodologies Based on Photonic Lab-on-a-Chip Sensors: Application to Macromolecular Studies. Sensors, 17(6), 1266. https://doi.org/10.3390/s17061266

