A Probabilistically Weakly Secure Network Coding Scheme in Multipath Routing for WSNs
Abstract
:1. Introduction
2. Network Model
2.1. Adversary Model
2.2. Calculation of Number of Paths
| Algorithm 1 approximated algorithm of Calculating H |
|
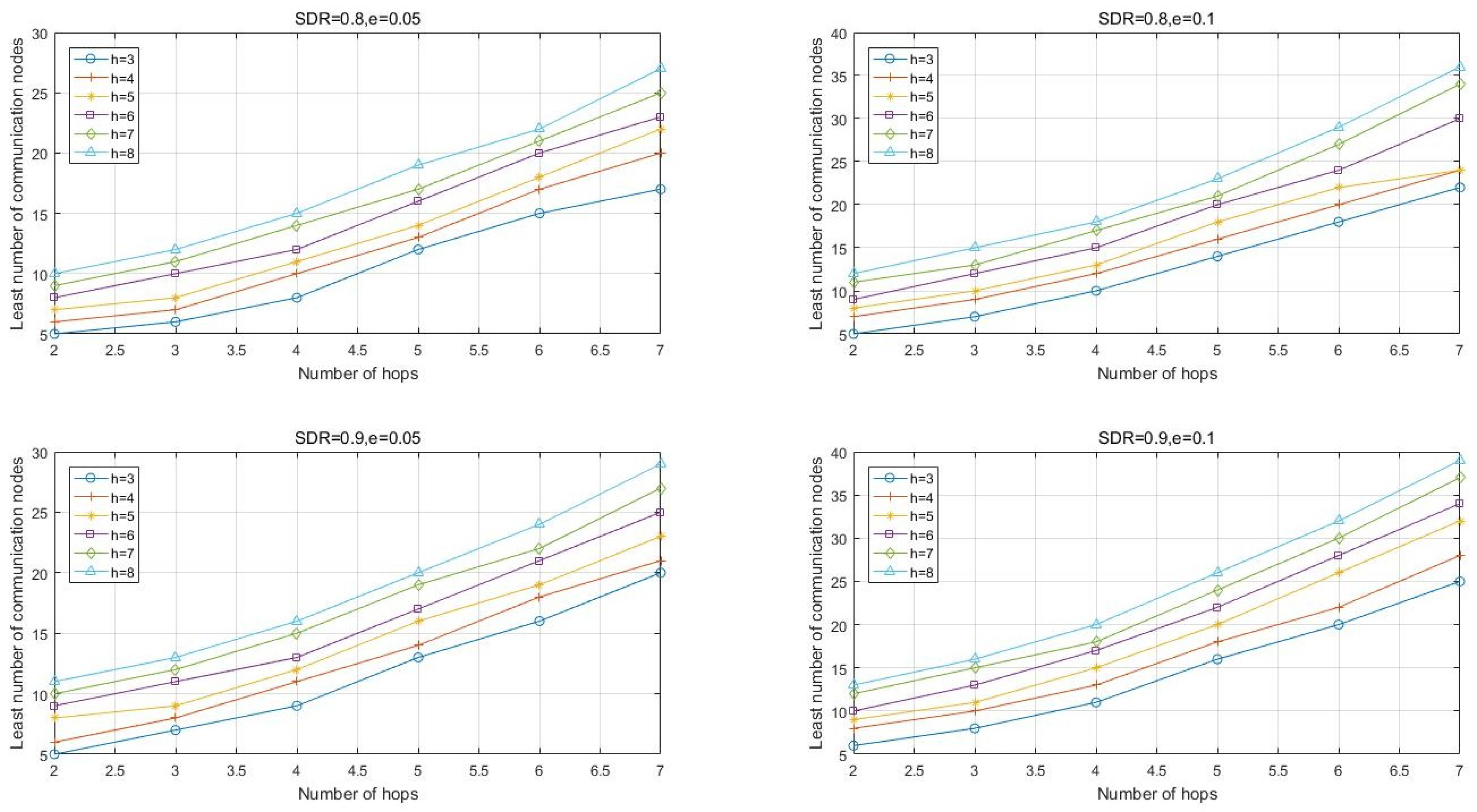
2.3. Least Number of Communication Nodes
| Algorithm 2 The algorithm to calculate the least number of communication nodes |
|
3. Weakly Secure Network Coding
4. Security Analysis
5. Power Consumption Analysis
6. Simulations Results
6.1. Simulations of Security
6.2. Simulations of Energy Consumption
7. Conclusions
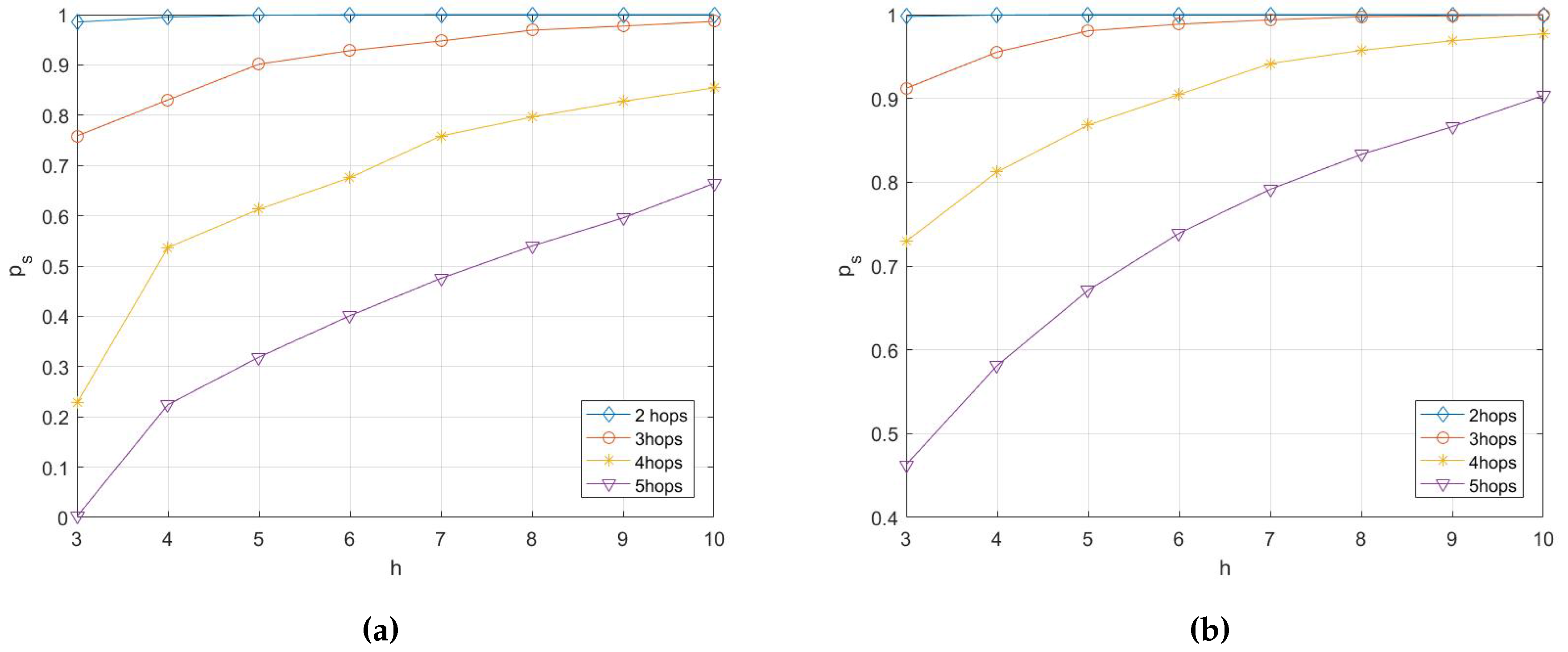
- As the number of hops of each path in the network increases, the probability of transmission being secure decreases rapidly, especially under the condition of low communication capacity. For example, when the the capacity is and , with k being 2, 3, 4, and 5, the probability of transmission being secure is 0.9851, 0.7586, 0.2277, and 0.0020 correspondingly. Toward this end, if the desired probability of transmission being secure is , the number of hops should be limited with . To do this, it is necessary to deploy nodes with larger communication distance,especially when the nodes are deployed in a rather vast area.
- When the number of hops , with the increase of multicast capacity h, the probability of transmission being secure increases and approaches 1 gradually. When , with the increase of multicast capacity h, the probability of transmission being secure almost keeps unchanged and satisfies .
- When the number of hops , the overhearing ability, which can be reflected by the figure of , has a relatively significant impact on the probability of transmission being secure. However, when , the probability of transmission being secure almost keeps unchanged and is approximately equal to 1.
- Compared with the multipath routing scheme without network coding, the network coding based scheme in this article has a better energy efficiency. According to the simulation results, when 1000 packets are transmitted and the multicast capacity is , the power consumption of network coding based multipath routing scheme is less than the scheme without network coding.
Acknowledgments
Author Contributions
Conflicts of Interest
References
- Shaikh, R. A.; Lee, S.; Song, Y. J.; Zhung, Y. Securing distributed wireless sensor networks: Issues and guidelines. In Proceedings of the IEEE International Conference on Sensor Networks, Ubiquitous, and Trustworthy Computing, Taichung, Taiwan, 5–7 June 2006; pp. 226–231. [Google Scholar]
- Gaware, A.; Dhonde, S.B. A survey on security attacks in wireless seneor networks. In Proceedings of the International conference on Computing for Sustainable Global Development, New Delhi, India, 16–18 March 2016; pp. 536–539. [Google Scholar]
- Abd El Dayem, Sanaa. S.; Rizk, M.R.M. Security for wireless seneor network. In Proceedings of the International Conference on Information Communication and Management, Hertfordshire, UK, 29–31 October 2016; pp. 173–177. [Google Scholar]
- Sharma, S. Wireless sensor network and security. In Proceedings of the International Conference on Computing for Sustainable Global Development, New Delhi, India, 16–18 March 2016; pp. 3301–3304. [Google Scholar]
- Praveena, A.; Smys, S. Efficient cryptographic approach for data security in wireless sensor networks using MES V-U. In Proceedings of the International Conference on Intelligent Systems and Control, Coimbatore, TN, India, 7–8 January 2016; pp. 1–6. [Google Scholar]
- Zhang, M.; Liu, Y. A New Approach to security Analysis of Wireless Sensor Networks for Smart Home Systems. In Proceedings of the International Conference on Intelligent Networking and Collaborative Systems, Ostrava, Czech Republic, 7–9 September 2016; pp. 318–323. [Google Scholar]
- Perrig, A.; Szewczyk, R.; Wen, V.; Culler, D.; Tygar, J.D. SPINS: Security Protocols for Sensor Networks. ACM Wirel. Netw. 2002, 8, 521–534. [Google Scholar] [CrossRef]
- Eschenauer, L; Gligor, V.D. A Key-Management Scheme for Distributed Sensor Networks. In Proceedings of the 9th ACM Conference on Computer and Communications Security, Washington, DC, USA, 18–22 November 2002; pp. 41–47. [Google Scholar]
- Cai, N.; Yeung, R.W. Secure Network Coding. In Proceedings of the IEEE International Symposium on Information Theory, Lausanne, Switzerland, 30 June–5 July 2002. [Google Scholar]
- Shannon, C.E. Communication theory of secrecy system. Bell Syst. Technol. J. 1949, 28, 656–715. [Google Scholar] [CrossRef]
- Ozarow, L.H.; Wyner, A.D. Wire-tap channel II. AT&T Bell Labs Technol. J. 1984, 63, 2135–2157. [Google Scholar]
- Blakley, G.R. Safeguarding cryptographic keys. In Proceedings of the International Workshop on Managing Requirements Knowledge, New York, NY, USA, 4–7 June 1979; pp. 313–317. [Google Scholar]
- Shamir, A. How to share a secret. Commun. ACM 1979, 22, 612–613. [Google Scholar] [CrossRef]
- Bhattad, K.; Narayanan, K.R. Weakly secure network coding. In Proceedings of the 1st Workshop on Network Coding, Theory and Applications, Riva del Garda, Italy, 7 April 2005. [Google Scholar]
- Yang, Y.; Zhong, C.; Sun, Y.; Yang, J. Network coding based reliable disjoint and braided multipath routing for sensor networks. J. Netw. Comput. Appl. 2010, 33, 422–432. [Google Scholar] [CrossRef]
- Li, S.-S.; Zhu, P.-D.; Liao, X.-K.; Cheng, W.-F.; Peng, S.-L. Energy efficient multipath routing using network coding for sensor networks. Proceeding of the ADHOC-NOW’06, Ottawa, ON, Canada, 17–19 August 2006; pp. 114–127. [Google Scholar]
- Wei, Y.; Yu, Z.; Guan, Y. Efficient Weakly-Secure Network Coding Schemes against Wiretapping Attacks. In Proceedings of the IEEE International Symposium on Network Coding, Toronto, ON, Canada, 9–11 June 2010; pp. 1–6. [Google Scholar]
- Laksov, D.; Thorup, A. Counting matrices with coordinates in finite fields and of fixed rank. Math. Scand. 1994, 74, 19–33. [Google Scholar] [CrossRef]
- Estrin, D. Wireless sensor networks tutorial part IV: Sensor network protocols. In Proceedings of the 8th Annual International Conferece on Mobile Computing and Networking, Altlanta, GA, USA, 23–28 September 2002; pp. 23–28. [Google Scholar]
- Wang, L.; Yang, Y.; Zhao, W. Network coding-based multipath routing for energy efficiency in wireless sensor networks. EURASIP J. Wirel. Commun. Netw. 2012, 2012, 115. [Google Scholar] [CrossRef]











© 2017 by the authors. Licensee MDPI, Basel, Switzerland. This article is an open access article distributed under the terms and conditions of the Creative Commons Attribution (CC BY) license (http://creativecommons.org/licenses/by/4.0/).
Share and Cite
Liu, X.; Huang, J.; Gao, X. A Probabilistically Weakly Secure Network Coding Scheme in Multipath Routing for WSNs. Sensors 2017, 17, 1133. https://doi.org/10.3390/s17051133
Liu X, Huang J, Gao X. A Probabilistically Weakly Secure Network Coding Scheme in Multipath Routing for WSNs. Sensors. 2017; 17(5):1133. https://doi.org/10.3390/s17051133
Chicago/Turabian StyleLiu, Xiang, Jie Huang, and Xiang Gao. 2017. "A Probabilistically Weakly Secure Network Coding Scheme in Multipath Routing for WSNs" Sensors 17, no. 5: 1133. https://doi.org/10.3390/s17051133
APA StyleLiu, X., Huang, J., & Gao, X. (2017). A Probabilistically Weakly Secure Network Coding Scheme in Multipath Routing for WSNs. Sensors, 17(5), 1133. https://doi.org/10.3390/s17051133

